Simulation of Dynamic Crack Propagation in Superconducting Nb3Sn at Extreme Low Temperature
-
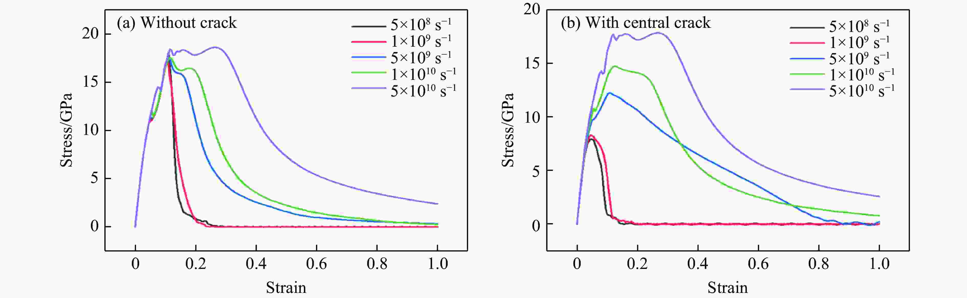
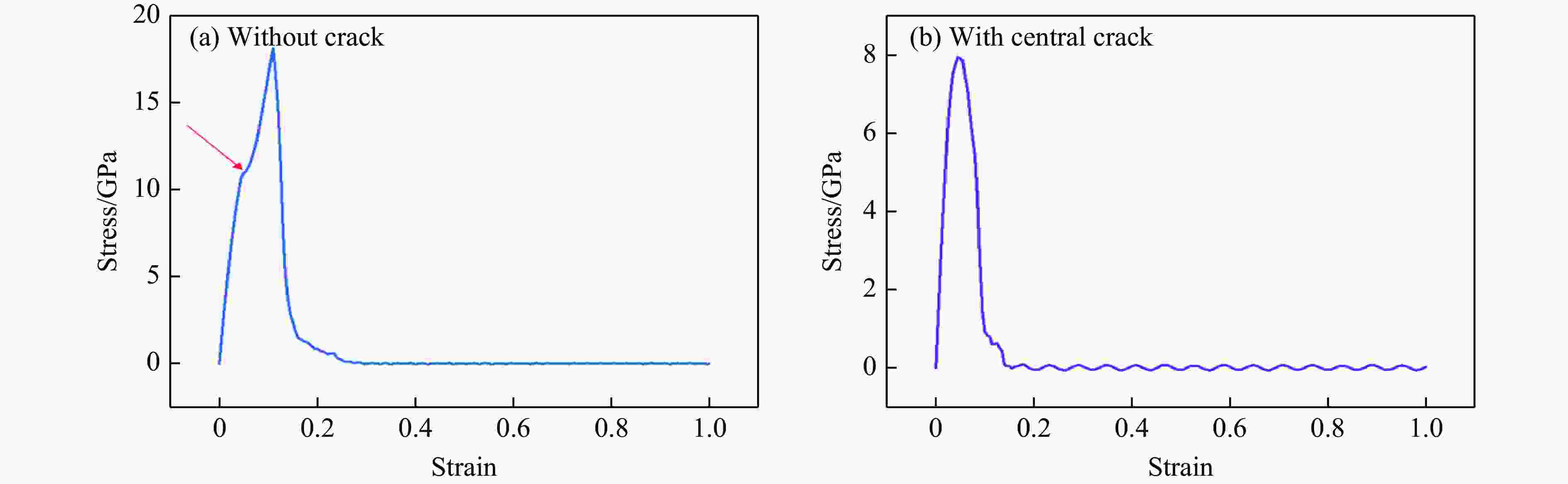
摘要: 研究Nb3Sn超导体的损伤断裂行为对于揭示超导临界性能弱化背后的力学机制具有重要的意义。采用分子动力学模拟方法,研究了极低温下不含裂纹和含中心裂纹的Nb3Sn单晶在力学拉伸变形作用下的断裂机制和裂纹扩展行为,同时分析了应变率效应对Nb3Sn单晶断裂机制与裂纹扩展行为的影响。结果表明:不含裂纹的Nb3Sn单晶在结构受力后出现滑移,滑移带上位错塞积导致应力集中,应力集中使原子键断裂从而萌生裂纹致使Nb3Sn单晶断裂;而含中心裂纹的Nb3Sn单晶则由于裂纹尖端应力集中使得原子键断裂形成微裂纹,裂纹扩展致使Nb3Sn单晶断裂。Nb3Sn单晶在不同的应变率下表现出不同的断裂机制,在低应变率下表现为脆性断裂,而在高应变率下表现为韧性断裂。Abstract: The study on damage and fracture in superconducting Nb3Sn is an indispensible part of understanding the origin of strain sensitivity in Nb3Sn. In this paper, by using molecular dynamic simulations, the fracture and crack propagation behavior of single crystal Nb3Sn with ideal lattice and with central crack at extreme low temperature are studied, respectively. The strain rate effects on the crack initiation and growth in both Nb3Sn sample cases are also carefully analyzed. The results show that for stressed Nb3Sn single crystal with ideal lattice, it slips with the dislocations plugging emerging on the slip band, which contributes to stress concentration and atomic bond breaking, resulting in the failure of Nb3Sn. While for Nb3Sn single crystal with central crack, the atomic bonds break due to the stress concentration concurring at the crack tip, microcracks form and propagate to induce the Nb3Sn fracture. The analysis on the damage fracture and failure mechanism of single crystal Nb3Sn at different strain rates reveals that it shows brittle fracture at low strain rate and ductile fracture at high strain rate.
-
Key words:
- Nb3Sn single crystal /
- molecular dynamic simulation /
- crack propagation /
- fracture
-
表 1 Nb3Sn单晶的弹性常数和晶格常数
Table 1. Elastic constants and lattice constant of Nb3Sn single crystal
Method C11/GPa C12/GPa C44/GPa a/Å This work 284.10 95.84 53.76 5.21 First principle 284.32 107.70 67.07 5.32 -
[1] 王秋良. 高磁场超导磁体科学 [M]. 北京: 科学出版社, 2008: 24–37.WANG Q L. High-field superconducting magnets science [M]. Beijing: Science Press, 2008: 24–37. [2] 周又和, 王省哲. ITER超导磁体设计与制备中的若干关键力学问题 [J]. 中国科学(物理学 力学 天文学), 2013, 43(12): 1558–1569. doi: 10.1360/132013-166ZHOU Y H, WANG X Z. Review on some key issues related to design and fabrication of superconducting magnets in ITER [J]. Scientia Sinica (Physica, Mechanica & Astronomica), 2013, 43(12): 1558–1569. doi: 10.1360/132013-166 [3] 梁明, 张平祥, 卢亚锋, 等. 磁体用Nb3Sn超导体研究进展 [J]. 材料导报, 2006, 20(12): 1–4. doi: 10.3321/j.issn:1005-023X.2006.12.001LIANG M, ZHANG P X, LU Y F, et al. Advances in Nb3Sn superconductor for magnet application [J]. Materials Review, 2006, 20(12): 1–4. doi: 10.3321/j.issn:1005-023X.2006.12.001 [4] DEVRED A, BACKBIER I, BESSETTE D, et al. Challenges and status of ITER conductor production [J]. Superconductor Science and Technology, 2014, 27(4): 044001. doi: 10.1088/0953-2048/27/4/044001 [5] SANABRIA C, LEE P J, STARCH W, et al. Evidence that filament fracture occurs in an ITER toroidal field conductor after cyclic Lorentz force loading in SULTAN [J]. Superconductor Science and Technology, 2012, 25(7): 075007. doi: 10.1088/0953-2048/25/7/075007 [6] SHETH M K, LEE P J, MCRAE D M, et al. Study of filament cracking under uniaxial repeated loading for ITER TF strands [J]. IEEE Transactions on Applied Superconductivity, 2012, 22(3): 4802504. doi: 10.1109/TASC.2011.2174554 [7] LU J, HAN K, GODDARD R E, et al. The IC irreversible strain of some ITER high JC Nb3Sn wires [J]. IEEE Transactions on Applied Superconductivity, 2009, 19(3): 2637–2640. doi: 10.1109/TASC.2009.2019597 [8] NIJHUIS A, MIYOSHI Y, JEWELL M C, et al. Systematic study on filament fracture distribution in ITER Nb3Sn strands [J]. IEEE Transactions on Applied Superconductivity, 2009, 19(3): 2628–2632. doi: 10.1109/TASC.2009.2018082 [9] CHEGGOUR N, LEE P J, GOODRICH L F, et al. Influence of the heat-treatment conditions, microchemistry, and microstructure on the irreversible strain limit of a selection of Ti-doped internal-tin Nb3Sn ITER wires [J]. Superconductor Science and Technology, 2014, 27(10): 105004. doi: 10.1088/0953-2048/27/10/105004 [10] DYLLA M T, SCHULTZ S E, JEWELL M C, et al. Fracture strength distribution of individual Nb3Sn filaments [J]. IEEE Transactions on Applied Superconductivity, 2016, 26(8): 6001907. doi: 10.1109/TASC.2016.2602819 [11] ZHAI Y H, BIRD M D. Florida electro-mechanical cable model of Nb3Sn CICCs for high-field magnet design [J]. Superconductor Science and Technology, 2008, 21(11): 115010. doi: 10.1088/0953-2048/21/11/115010 [12] WANG X, GAO Y W. Tensile behavior analysis of the Nb3Sn superconducting strand with damage of the filaments [J]. IEEE Transactions on Applied Superconductivity, 2016, 26(4): 6000304. doi: 10.1109/TASC.2015.2509601 [13] PAPADIMITRIOU I, UTTON C, TSAKIROPOULOS P. Ab initio investigation of the intermetallics in the Nb-Sn binary system [J]. Acta Materialia, 2015, 86: 23–33. doi: 10.1016/j.actamat.2014.12.017 [14] SUNDARESWARI M, RAMASUBRAMANIAN S, RAJAGOPALAN M. Elastic and thermodynamical properties of A15 Nb3X (X = Al, Ga, In, Sn and Sb) compounds-first principles DFT study [J]. Solid State Communications, 2010, 150(41/42): 2057–2060. doi: 10.1016/j.ssc.2010.08.004 [15] ZHANG R, GAO P F, WANG X Z, et al. First-principles study on elastic and superconducting properties of Nb3Sn and Nb3Al under hydrostatic pressure [J]. AIP Advances, 2015, 5(10): 1–9. doi: 10.1063/1.4935099 [16] DE MARZI G, MORICI L, MUZZI L, et al. Strain sensitivity and superconducting properties of Nb3Sn from first principles calculations [J]. Journal of Physics: Condensed Matter, 2013, 25(13): 135702. doi: 10.1088/0953-8984/25/13/135702 [17] REN Z, GAMPERLE L, FETE A, et al. Evolution of T2 resistivity and superconductivity in Nb3Sn under pressure [J]. Physical Review B, 2017, 95(18): 184503. doi: 10.1103/PhysRevB.95.184503 [18] 严六明, 朱素华. 分子动力学模拟的理论与实践 [M]. 北京: 科学出版社, 2013: 1−6.YAN L M, ZHU S H. Theory and practice of molecular dynamics simulation [M]. Beijing: Science Press, 2013: 1−6. [19] CHUDINOV V G, GOGOLIN V P, GOSHCHITSKII B N, et al. Simulation of collision cascades in intermetallic Nb3Sn compounds [J]. Physica Status Solidi (A), 1981, 67(1): 61–67. doi: 10.1002/pssa.2210670103 [20] 陈伟. 第Ⅰ类超导体中的平衡磁结构及其动力学研究 [D]. 南京: 南京大学, 2016: 1−20.CHEN W. Equilibrium intermediate-state patterns and dynamics in a type-Ⅰ superconducting slab [D]. Nanjing: Nanjing University, 2016: 1−20. [21] HALL D L. New insights into the limitations on the efficiency and achievable gradients in Nb3Sn SRF cavities [D]. New York: Cornell University, 2017: 1−60. [22] ZHANG Y Q, JIANG S Y. Molecular dynamics simulation of crack propagation in nanoscale polycrystal nickel based on different strain rates [J]. Metals, 2017, 7(10): 432. doi: 10.3390/met7100432 [23] LI L, CHEN H T, FANG Q H, et al. Effects of temperature and strain rate on plastic deformation mechanisms of nanocrystalline high-entropy alloys [J]. Intermetallics, 2020, 120: 106741. doi: 10.1016/j.intermet.2020.106741 [24] WU W P, YAO Z Z. Influence of a strain rate and temperature on the crack tip stress and microstructure evolution of monocrystalline nickel: a molecular dynamics simulation [J]. Strength of Materials, 2014, 46(2): 164–171. doi: 10.1007/s11223-014-9531-0 [25] ZHANG Y, ASHCRAFT R, MENDELEV M I, et al. Experimental and molecular dynamics simulation study of structure of liquid and amorphous Ni62Nb38 alloy [J]. The Journal of Chemical Physics, 2016, 145(20): 204505. doi: 10.1063/1.4968212 [26] KO W S, KIM D H, KWON Y J, et al. Atomistic simulations of pure tin based on a new modified embedded-atom method interatomic potential [J]. Metals, 2018, 8(11): 900. doi: 10.3390/met8110900 [27] 石震天, 杨绪佳, 王豪阳, 等. 高压下Nb3Sn单晶的超导相转变 [J]. 高压物理学报, 2021, 35(2): 021102. doi: 10.11858/gywlxb.20200615SHI Z T, YANG X J, WANG H Y, et al. Superconducting transition of Nb3Sn single crystal under high-pressure [J]. Chinese Journal of High Pressure Physics, 2021, 35(2): 021102. doi: 10.11858/gywlxb.20200615 [28] DARKINS R, SUSHKO M L, LIU J, et al. Stress in titania nanoparticles: an atomistic study [J]. Physical Chemistry Chemical Physics, 2014, 16(20): 9441–9447. doi: 10.1039/C3CP54357A [29] 钟群鹏, 赵子华. 断口学 [M]. 北京: 高等教育出版社, 2006: 54–77, 176−241.ZHONG Q P, ZHAO Z H. Fractography [M]. Beijing: Higher Education Press, 2006: 54−77, 176−241. [30] 上海交通大学《金属断口分析》编写组. 金属断口分析 [M]. 北京: 国防工业出版社, 1979: 4−26. [31] WEST A W, RAWLINGS R D. The microstructure and mechanical properties of Nb3Sn filamentary superconducting composites [J]. Journal of Materials Science, 1979, 14(5): 1179–1186. doi: 10.1007/BF00561303 [32] TAKEUCHI T, TSUCHIYA K, SAEDA M, et al. Electron backscatter diffraction analysis on Nb3Sn and Nb3Al multifilaments [J]. IEEE Transactions on Applied Superconductivity, 2011, 21(3): 2541–2545. doi: 10.1109/TASC.2010.2083625 [33] GODEKE A. Performance boundaries in Nb3Sn superconductors [D]. Enschede: University of Twente, 2005: 1−30. -

下载: