Effects of Typical Structural Parameters on Underwater Explosion Resistance of Girders
-
摘要: 为了提升舰船抗水下爆炸冲击防护设计水平,首先需要揭示舰船典型结构参数变化对其损伤特性的影响规律。以某型舰船为参考,保留主要结构特征参数,设计了接近真实尺度的梯形横截面船体梁。利用Geers-Hunter理论公式得到各计算工况下的水下爆炸载荷,基于ABAQUS有限元数值模拟方法,对比分析了船体梁长度、外板板厚、型深、型宽等参数变化对船体梁抗水下爆炸冲击的结构响应特性的影响。提出了一种可以表征各典型结构参数对船体梁整体结构强度影响规律的无因次结构强度因子。结果表明:气泡脉动频率与结构固有频率耦合将导致中垂变形;船体梁长度增加使得结构抗弯能力减弱,在水下爆炸响应中的初始中拱变形缓慢增加,最大中垂变形显著增加;船体梁外板板厚、型深、型宽的增加会导致结构在响应期间的初始中拱变形和最大中垂变形减小;初始中拱变形受结构参数变化影响的敏感程度低于最大中垂变形。提出的无因次结构强度因子可以较好地表征船体梁结构整体强度。Abstract: In order to improve the design level of anti-explosion capability of protective structure of ships, it is necessary to reveal the influence of changes in typical structural parameters of ships on their damage characteristics. The trapezoidal cross-section girder, of which the size and structural characteristics are close to those of a typical military ship the real ship is designed. The underwater explosion load of each calculation condition is obtained by using Geers-Hunter theoretical formula. Based on ABAQUS finite element numerical analysis method, the structural response characteristics of the girders with different parameters such as length, outer plate thickness, depth and width subjected to underwater explosion were compared and analyzed. A dimensionless structural strength factor that can characterize the influence of each typical structural parameter on the overall structural strength of the girder is proposed. The results show that the coupling between bubble pulsation and structure natural frequency leads to sagging deformation when the pulse duration of bubble is close to the natural frequency of the girder. The increase in the length causes the reduction in bending resistance of the structure. The initial hogging deformation increases slowly and the maximum sagging deformation increases significantly; the increase in the outer plate thickness, depth and width lead to the decrease in the initial hogging deformation and maximum sagging deformation of the structure during the response. The initial hogging deformation is less sensitive to the change of structural parameters than the maximum sagging deformation. The dimensionless structural strength factor proposed in the paper can characterize the overall strength of the girder structure.
-
Key words:
- underwater explosion /
- girder /
- structural parameter /
- response characteristics
-
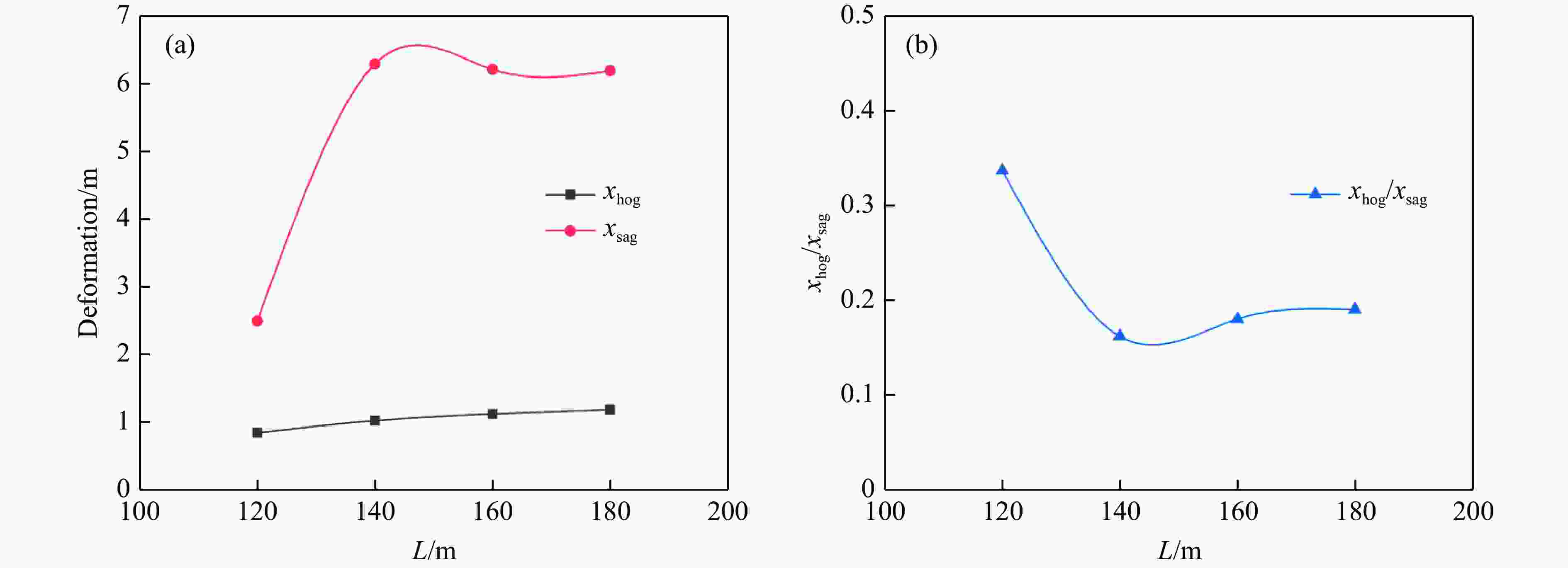
表 1 具有不同长度的船体梁的响应情况
Table 1. Overall damage modes of girders with different lengths
Case L/m Fs/Hz $\zeta $ $ {x}{_{\text{hog}}} $/m $ {x}{_{\text{sag}}} $/m Damage mode A-1 120 1.59 1.87 0.84 2.49 Hogging A-2 140 1.19 1.40 1.02 6.29 Sagging A-3 160 0.92 1.08 1.12 6.21 Sagging A-4 180 0.73 0.86 1.18 6.19 Sagging 表 2 不同外板板厚船体梁的响应情况
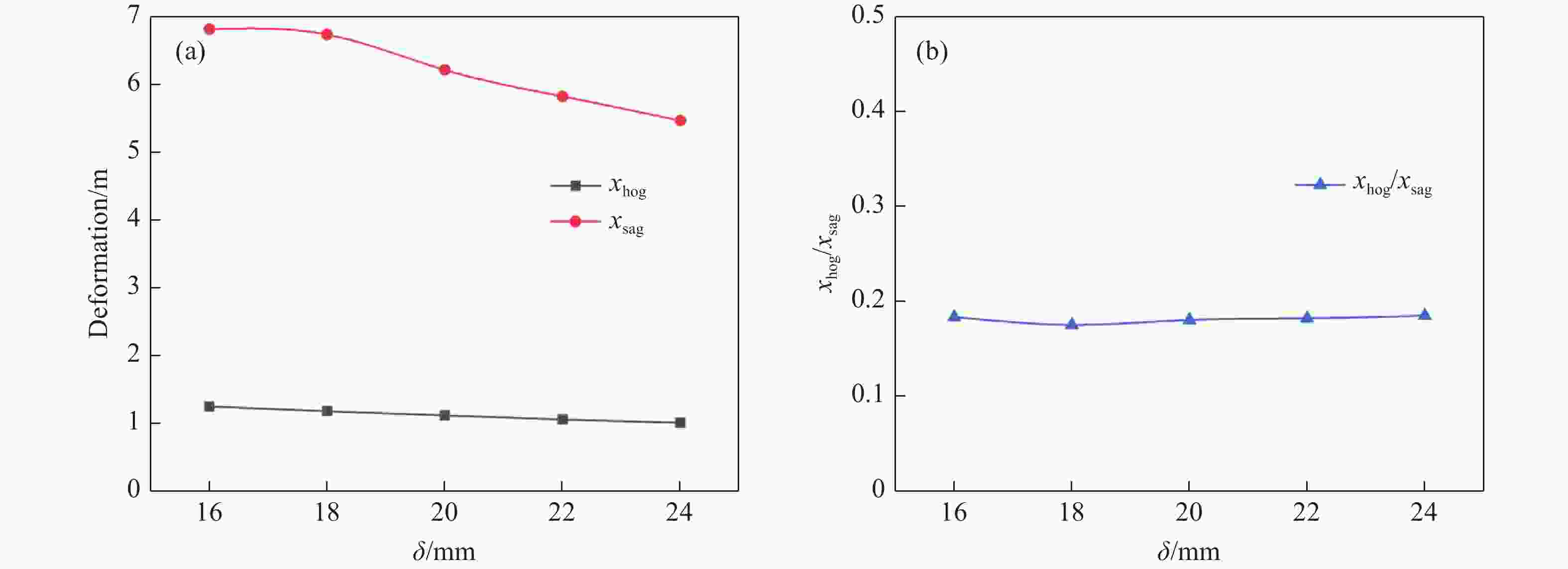
Table 2. Overall damage modes of girders with different thicknesses
Case $\delta $/mm Fs/Hz $\zeta $ $ {x}{_{\text{hog}}} $/m $ {x}{_{\text{sa}\text{g}}} $/m Damage mode B-1 16 0.84 0.99 1.25 6.81 Sagging B-2 18 0.88 1.04 1.18 6.73 Sagging B-3 20 0.92 1.08 1.12 6.21 Sagging B-4 22 0.95 1.12 1.06 5.82 Sagging B-5 24 0.98 1.15 1.01 5.46 Sagging 表 3 不同型深船体梁的响应情况
Table 3. Overall damage modes of girders with different depths
Case D/m Fs/Hz $\zeta $ $ {x}{_{\text{hog}}} $/m $ {x}{_{\text{sag}}} $/m Damage mode C-1 8 0.75 0.91 1.47 8.54 Sagging C-2 9 0.83 1.00 1.26 8.34 Sagging C-3 10 0.92 1.08 1.12 6.21 Sagging C-4 11 1.00 1.16 1.00 6.19 Sagging C-5 12 1.08 1.22 0.88 5.43 Sagging 表 4 具有不同型宽的船体梁的响应情况
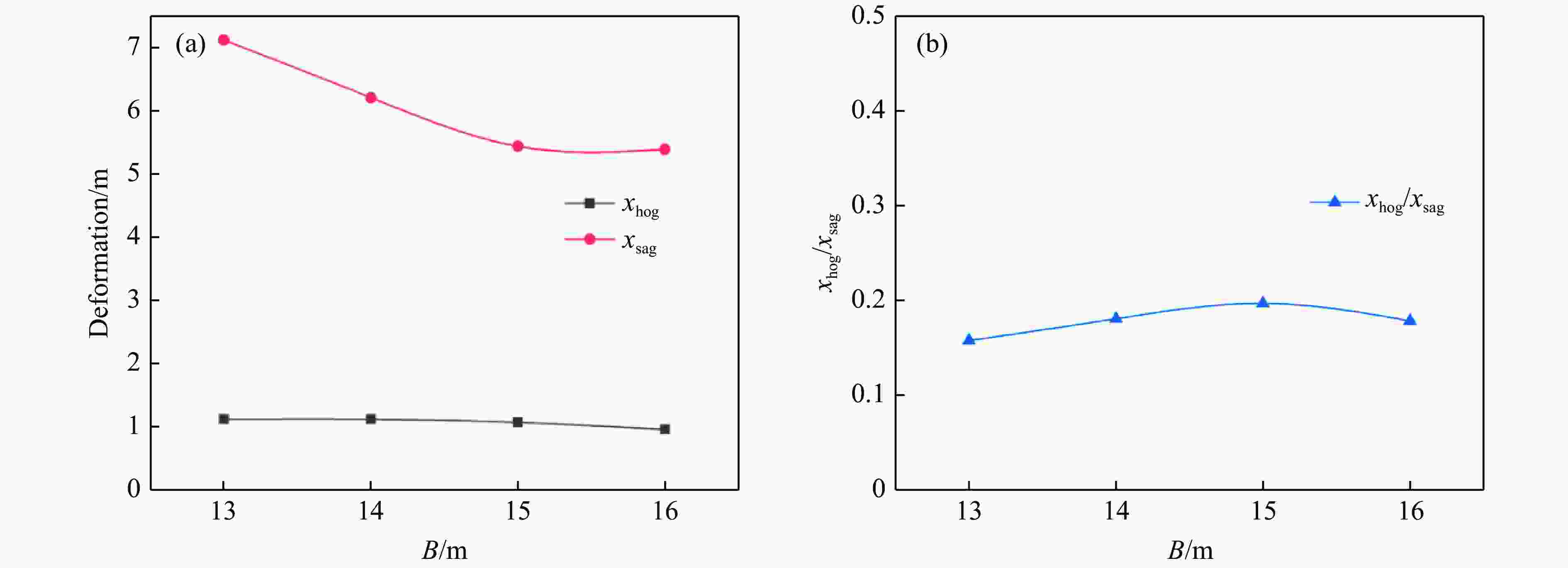
Table 4. Overall damage modes of girders with different widths
Case B/m Fs/Hz $\zeta $ ${x}{_{\text{ho}\text{g} }}$/m ${x}{_{\text{sag} } }$/m Damage mode D-1 13 0.94 1.11 1.21 7.12 Sagging D-2 14 0.92 1.08 1.12 6.21 Sagging D-3 15 0.88 1.03 1.07 5.44 Sagging D-4 16 0.84 0.94 0.96 5.39 Sagging 表 5 各工况下的频率耦合比及变形
Table 5. Coupling frequency ratios and deformations of calculation cases
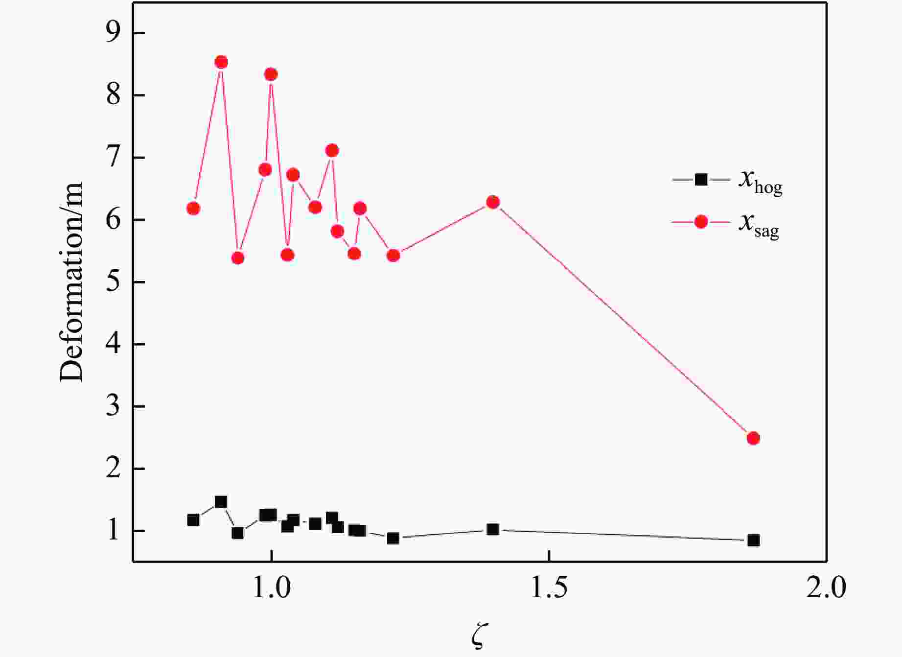
$\zeta $ ${x}{_{\text{hog} } }$/m ${x}{_{\text{sa}\text{g} } }$/m Remark $\zeta $ ${x}{_{\text{hog} } }$/m ${x}{_{\text{sa}\text{g} } }$/m Remark 0.86 1.18 6.19 1.11 1.21 7.12 0.91 1.47 8.54 1.12 1.06 5.82 0.94 0.96 5.39 1.15 1.01 5.46 0.99 1.25 6.81 1.16 1.00 6.19 1.00 1.26 8.34 1.22 0.88 5.43 1.03 1.07 5.44 1.40 1.02 6.29 1.04 1.18 6.73 1.87 0.84 2.49 Hogging damage 1.08 1.12 6.21 Basic model -
[1] 刘丽滨, 李海涛, 刁爱民, 等. 水下爆炸下有限尺度平板的载荷特性及结构响应试验研究 [J]. 高压物理学报, 2018, 32(5): 055101.LIU L B, LI H T, DIAO A M, et al. Experimental investigation on load characteristics and structure response of finite-size plate subjected to underwater explosion [J]. Chinese Journal of High Pressure Physics, 2018, 32(5): 055101. [2] 刘文思, 吴林杰, 侯代文, 等. 鱼雷近场爆炸对舰船不同结构的局部毁伤研究 [J]. 兵器装备工程学报, 2019, 40(10): 12–15. doi: 10.11809/bqzbgcxb2019.10.003LIU W S, WU L J, HOU D W, et al. Study on local damage of different structures of ships by torpedo near field explosion [J]. Journal of Ordnance Equipment Engineering, 2019, 40(10): 12–15. doi: 10.11809/bqzbgcxb2019.10.003 [3] 贺铭, 张阿漫, 刘云龙. 近场水下爆炸气泡与双层破口结构的相互作用 [J]. 爆炸与冲击, 2020, 40(11): 111402.HE M, ZHANG A M, LIU Y L. Interaction of the underwater explosion bubbles and nearby double-layer structures with circular holes [J]. Explosion and Shock Waves, 2020, 40(11): 111402. [4] 李海涛, 张振华, 牟金磊, 等. 水下爆炸作用下弹塑性船体梁整体运动模型及损伤特性 [J]. 工程力学, 2019, 36(1): 238–247. doi: 10.6052/j.issn.1000-4750.2017.10.0779LI H T, ZHANG Z H, MU J L, et al. Hydro-elastic-plastic dynamic response of a ship hull girder subjected to underwater explosion: a simplified theoretical model [J]. Engineering Mechanics, 2019, 36(1): 238–247. doi: 10.6052/j.issn.1000-4750.2017.10.0779 [5] HE Z H, CHEN Z H, JIANG Y B, et al. Effect of the standoff distance on hull structure damage subjected to near-field underwater explosion [J]. Marine Structure, 2020, 74: 102839. [6] 刘文思, 陆越, 周庆飞, 等. 鱼雷近场爆炸复杂载荷对舰船毁伤模式 [J]. 兵工学报, 2021, 42(4): 842–890. doi: 10.3969/j.issn.1000-1093.2021.04.018LIU W S, LU Y, ZHOU Q F, et al. Complex load of torpedo near-field explosion and its damage mode to ships [J]. Acta Armamentarii, 2021, 42(4): 842–890. doi: 10.3969/j.issn.1000-1093.2021.04.018 [7] 张效慈. 水下爆炸试验模型律的若干问题 [J]. 船舶力学, 2009, 13(5): 783–787. doi: 10.3969/j.issn.1007-7294.2009.05.016ZHANG X C. Some problems for model law of underwater explosion tests [J]. Journal of Ship Mechanics, 2009, 13(5): 783–787. doi: 10.3969/j.issn.1007-7294.2009.05.016 [8] 张振华, 汪玉, 张立军, 等. 船体梁在水下近距爆炸作用下反直观动力行为的相似分析 [J]. 应用数学和力学, 2011, 32(12): 1391–1404. doi: 10.3879/j.issn.1000-0887.2011.12.001ZHANG Z H, WANG Y, ZHANG L J, et al. Similarity research of anomalous dynamic response of ship girder subjected to near field underwater explosion [J]. Applied Mathematics and Mechanics, 2011, 32(12): 1391–1404. doi: 10.3879/j.issn.1000-0887.2011.12.001 [9] WANG H, ZHU X, CHENG Y S, et al. Experimental and numerical investigation of ship structure subjected to close-in underwater shock wave and following gas bubble pulse [J]. Marine Structures, 2014, 39: 90–117. doi: 10.1016/j.marstruc.2014.07.003 [10] 曾令玉, 蔡尚, 王诗平. 水下爆炸气泡对舰船冲击环境的影响 [J]. 中国舰船研究, 2018, 13(3): 66–71.ZENG L Y, CAI S, WANG S P. Effects of underwater explosion bubble on shock environment of warship [J]. Chinese Journal of Ship Research, 2018, 13(3): 66–71. [11] 姚熊亮, 郭君, 曹宇, 等. 在水下爆炸冲击波作用下的新型冲击因子 [J]. 中国造船, 2008, 49(2): 52–60. doi: 10.3969/j.issn.1000-4882.2008.02.007YAO X L, GUO J, CAO Y, et al. A new impulsive factors on the underwater shock load [J]. Shipbuilding of China, 2008, 49(2): 52–60. doi: 10.3969/j.issn.1000-4882.2008.02.007 [12] 郭建军, 赵玉麟, 张皓, 等. 舰船水下爆炸冲击动弯矩工程化预报 [J]. 舰船科学技术, 2019, 41(1): 20–25. doi: 10.3404/j.issn.1672-7649.2019.01.004GUO J J, ZHAO Y L, ZHANG H, et al. Engineering forecast method of shock vibration bending moment of ships subjected to explosion load [J]. Ship Science and Technology, 2019, 41(1): 20–25. doi: 10.3404/j.issn.1672-7649.2019.01.004 [13] HUNTER K S. Global-shape-function models of an underwater explosion bubble [D]. Colorado: University of Colorado, 2001. [14] GEERS T L, HUNTER K S. An integrated wave-effects model for an underwater explosion bubble [J]. The Journal of the Acoustical Society of America, 2002, 111(4): 1584–1601. [15] 李营, 汪玉, 吴卫国, 等. 船用907A钢的动态力学性能和本构关系 [J]. 哈尔滨工程大学学报, 2015, 36(1): 127–129.LI Y, WANG Y, WU W G, et al. Dynamic mechanical behavior and constitutive relation of the ship-built steel 907A [J]. Journal of Harbin Engineering University, 2015, 36(1): 127–129. [16] 朱锡, 牟金磊, 洪江波, 等. 水下爆炸气泡脉动特性的试验研究 [J]. 哈尔滨工程大学学报, 2007, 28(4): 365–368. doi: 10.3969/j.issn.1006-7043.2007.04.001ZHU X, MU J L, HONG J B, et al. Experimental study of characters of bubble impulsion induced by underwater explosions [J]. Journal of Harbin Engineering University, 2007, 28(4): 365–368. doi: 10.3969/j.issn.1006-7043.2007.04.001 -

下载: