Design and Crashworthiness Study Based on Horsetail Bionic Thin-Walled Structure
-
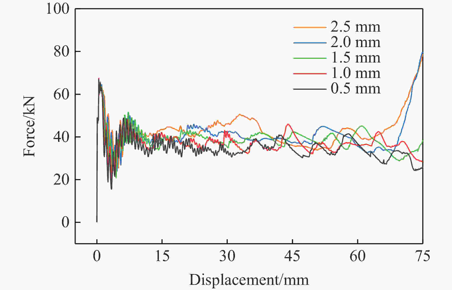
摘要: 基于马尾草茎秆的结构特征,设计了一种新型马尾草仿生薄壁管。利用有限元软件ABAQUS,分析了双圆管和马尾草仿生薄壁管在轴向压缩下的耐撞性能和能量吸收特性。结果表明:在质量相同的情况下,仿生薄壁管的比吸能提高了34.74%,压缩力效率提高了37.50%,马尾草仿生薄壁管的比吸能随壁厚的增加而单调递增;对于肋数不同、质量相同的仿生薄壁管,肋数为4的结构耐撞性最好;在肋厚不变(比吸能损失较小)的前提下,调节肋角可以降低薄壁结构的初始峰值力。为了进一步提高薄壁管的能量吸收能力,以内半径、肋角和肋厚为设计变量,进行了多目标优化。采用响应面法和遗传算法(NSGA-Ⅱ),使比吸能最大化的同时初始峰值载荷最小化。与最初设计的仿生薄壁管相比,优化后薄壁管的比吸能提高了13.42%。Abstract: Bionic design structures have received wide attention for their excellent mechanical properties and potential applications in engineering fields. In the bionic context, a new horsetail bionic thin-walled structure is designed and its energy absorption characteristics under axial compression are investigated. The results show that the specific energy absorption (SEA) of the bionic thin-walled tube is increased by 34.74% and the compression force efficiency is increased by 37.50%; the specific energy absorption of the bionic thin-walled structure increases monotonically with the wall thickness; the impact resistance of the thin-walled structure is the best when the number of ribs is 4 for a certain mass; the SEA is almost not lost when the rib thickness is constant. The initial peak force of the thin-walled structure can be reduced by adjusting the rib angle with constant rib thickness. To further improve the energy absorption capacity of the thin-walled structure, a multi-objective optimization was performed using the internal radius, rib angle and rib thickness as design variables. The response surface methodology (RSM) and genetic algorithm (NSGA-Ⅱ) were used to maximize the SEA while minimizing the peak crushing force. The SEA of the optimized thin-walled structure was improved by 13.42% compared to the initially designed thin-walled structure.
-
Key words:
- bionic /
- thin-walled structure /
- energy absorption /
- multi-objective optimization /
- Pareto front
-
表 1 铝6063T5的材料参数
Table 1. Material parameters of Al 6063T5
$\,\rho$/(g·cm−3) ${\sigma }$Y/MPa $ {\sigma }_{\mathrm{u}} $/MPa E/GPa μ 2.70 179.67 241.83 68.50 0.33 表 2 薄壁结构的耐撞性比较
Table 2. Comparison of crashworthiness of thin-walled structures
Structure t/mm m/g PCF/kN EA/J SEA/(J·g−1) MCF/kN CFE Tube-1 1.13 95.84 68.55 2066.35 21.56 27.55 0.40 Tube-2 1.00 95.84 67.41 2784.67 29.05 37.13 0.55 表 3 优化结果与有限元模拟结果比较
Table 3. Comparison of the optimal results and finite element simulation
Test
point$ \theta $/(°) r/mm tL/mm PCF SEA FEM/kN RSM/kN Error/% FEM/(J·g−1) RSM/(J·g−1) Error/% Opt1 84.35 12.25 1.20 71.89 72.81 1.28 30.47 31.49 3.35 Opt2 10.10 14.68 1.20 78.49 78.60 0.14 32.95 32.29 −2.00 -
[1] XIE S C, JING K K, ZHOU H, et al. Mechanical properties of Nomex honeycomb sandwich panels under dynamic impact [J]. Composite Structures, 2020, 235: 111814. doi: 10.1016/j.compstruct.2019.111814 [2] XU X, ZHANG Y, CHEN X B, et al. Crushing behaviors of hierarchical sandwich-walled columns [J]. International Journal of Mechanical Sciences, 2019, 161/162: 105021. doi: 10.1016/j.ijmecsci.2019.105021 [3] ZAHRAN M S, XUE P, ESA M S, et al. A novel tailor-made technique for enhancing the crashworthiness by multi-stage tubular square tubes [J]. Thin-Walled Structures, 2018, 122: 64–82. doi: 10.1016/j.tws.2017.09.031 [4] XU X, ZHANG Y, WANG J, et al. Crashworthiness design of novel hierarchical hexagonal columns [J]. Composite Structures, 2018, 194: 36–48. doi: 10.1016/j.compstruct.2018.03.099 [5] PIRMOHAMMAD S, ESMAEILI-MARZDASHTI S. Multi-objective crashworthiness optimization of square and octagonal bitubal structures including different hole shapes [J]. Thin-Walled Structures, 2019, 139: 126–138. doi: 10.1016/j.tws.2019.03.004 [6] 谭丽辉, 徐涛, 崔晓梅, 等. 带有圆弧形凹槽金属薄壁圆管抗撞性优化设计 [J]. 爆炸与冲击, 2014, 34(5): 547–553. doi: 10.11883/1001-1455(2014)05-0547-07TAN L H, XU T, CUI X M, et al. Design optimization for crashworthiness of metal thin-walled cylinders with circular arc indentations [J]. Explosion and Shock Waves, 2014, 34(5): 547–553. doi: 10.11883/1001-1455(2014)05-0547-07 [7] ROSSI A, FAWAZ Z, BEHDINAN K. Numerical simulation of the axial collapse of thin-walled polygonal section tubes [J]. Thin-Walled Structures, 2005, 43(10): 1646–1661. doi: 10.1016/j.tws.2005.03.001 [8] YAMASHITA M, GOTOH M, SAWAIRI Y. Axial crush of hollow cylindrical structures with various polygonal cross-sections: numerical simulation and experiment [J]. Journal of Materials Processing Technology, 2003, 140(1/2/3): 59–64. doi: 10.1016/S0924-0136(03)00821-5 [9] ÁDÁNY S, VISY D. Global buckling of thin-walled simply supported columns: numerical studies [J]. Thin-Walled Structures, 2012, 54: 82–93. doi: 10.1016/j.tws.2012.02.001 [10] TANG Z L, LIU S T, ZHANG Z H. Energy absorption properties of non-convex multi-corner thin-walled columns [J]. Thin-Walled Structures, 2012, 51: 112–120. doi: 10.1016/j.tws.2011.10.005 [11] 何强, 王勇辉, 史肖娜, 等. 引入Sierpinski层级特性的新型薄壁多胞管轴向冲击吸能特性 [J]. 爆炸与冲击, 2020, 40(12): 123101. doi: 10.11883/bzycj.2020-0055HE Q, WANG Y H, SHI X N, et al. Energy absorption of new thin-walled, multi-cellular, tubular structures with Sierpinski hierarchical characteristics under axial impact [J]. Explosion and Shock Waves, 2020, 40(12): 123101. doi: 10.11883/bzycj.2020-0055 [12] KASHANI M H, ALAVIJEH H S, AKBARSHAHI H, et al. Bitubular square tubes with different arrangements under quasi-static axial compression loading [J]. Materials & Design, 2013, 51: 1095–1103. doi: 10.1016/j.matdes.2013.04.084 [13] LIU W Y, LIN Z Q, WANG N L, et al. Dynamic performances of thin-walled tubes with star-shaped cross section under axial impact [J]. Thin-Walled Structures, 2016, 100: 25–37. doi: 10.1016/j.tws.2015.11.016 [14] ZHANG X, ZHANG H. Energy absorption of multi-cell stub columns under axial compression [J]. Thin-Walled Structures, 2013, 68: 156–163. doi: 10.1016/j.tws.2013.03.014 [15] SHARIFI S, SHAKERI M, FAKHARI H E, et al. Experimental investigation of bitubal circular energy absorbers under quasi-static axial load [J]. Thin-Walled Structures, 2015, 89: 42–53. doi: 10.1016/j.tws.2014.12.008 [16] 杨欣, 范晓文, 许述财, 等. 仿虾螯结构薄壁管设计及耐撞性分析 [J]. 爆炸与冲击, 2020, 40(4): 043301. doi: 10.11883/bzycj-2019-0280YANG X, FAN X W, XU S C, et al. Design and crashworthiness analysis of thin-walled tubes based on a shrimp chela structure [J]. Explosion and Shock Waves, 2020, 40(4): 043301. doi: 10.11883/bzycj-2019-0280 [17] HA N S, LU G X, XIANG X M. High energy absorption efficiency of thin-walled conical corrugation tubes mimicking coconut tree configuration [J]. International Journal of Mechanical Sciences, 2018, 148: 409–421. doi: 10.1016/j.ijmecsci.2018.08.041 [18] LIU Q, XU X Y, MA J B, et al. Lateral crushing and bending responses of CFRP square tube filled with aluminum honeycomb [J]. Composites Part B: Engineering, 2017, 118: 104–115. doi: 10.1016/j.compositesb.2017.03.021 [19] FU J, LIU Q, LIUFU K, et al. Design of bionic-bamboo thin-walled structures for energy absorption [J]. Thin-Walled Structures, 2019, 135: 400–413. doi: 10.1016/j.tws.2018.10.003 [20] WIERZBICKI T, BHAT S U, ABRAMOWICZ W, et al. Alexander revisited: a two folding elements model of progressive crushing of tubes [J]. International Journal of Solids and Structures, 1992, 29(24): 3269–3288. doi: 10.1016/0020-7683(92)90040-Z [21] ZHANG X, ZHANG H. Axial crushing of circular multi-cell columns [J]. International Journal of Impact Engineering, 2014, 65: 110–125. doi: 10.1016/j.ijimpeng.2013.12.002 [22] HANSSEN A G, LANGSETH M, HOPPERSTAD O S. Static and dynamic crushing of circular aluminium extrusions with aluminium foam filler [J]. International Journal of Impact Engineering, 2000, 24(5): 475–507. doi: 10.1016/S0734-743X(99)00170-0 [23] SUN G Y, XU F X, LI G Y, et al. Crashing analysis and multiobjective optimization for thin-walled structures with functionally graded thickness [J]. International Journal of Impact Engineering, 2014, 64: 62–74. doi: 10.1016/j.ijimpeng.2013.10.004 -

下载: