Experimental Study of Dynamic Mechanical Characteristics of Sandstone under One-Dimensional Coupled Static-Cyclic Impact Loads
-
摘要: 以硬岩巷道的煤系砂岩为研究对象,利用改进的动静组合加载分离式霍普金森压杆系统进行轴压梯度为5、15、20 MPa,冲击气压梯度为0.8、1.0、1.2 MPa的一维循环冲击压缩试验。结果表明:整个循环冲击过程中,在不考虑轴压和冲击气压的情况下,砂岩的峰值应力随着冲击次数的增加呈现先增大后减小的变化趋势,而峰值应变、最大应变及平均应变率均呈现相反的变化趋势;在相同的冲击气压下,砂岩的峰值应力和累计循环冲击次数随轴压的增大而减小;在相同的轴压下,随着冲击气压的增大,峰值应力不断增大,而累计冲击次数却先增大后减小;在一维静载与循环冲击的共同作用下,砂岩的整个冲击过程可划分为压密阶段、内部裂纹发展阶段和加速破坏阶段。研究表明,地下深部矿柱失稳大概率是在静载与动载的相互作用下导致的,而动载的频繁扰动是矿柱失稳的主要影响因素。Abstract: The coal measures sandstones in hard rock roadways were collected as the research samples, and a modified dynamic and static combined split Hopkinson pressure bar (SHPB) system was adopted to perform one-dimensional cyclic impact compression tests with the axial pressure of 5, 15 and 20 MPa and the impact pressure of 0.8, 1.0 and 1.2 MPa. Experimental results indicate that the peak stress of sandstones increase and then decrease with the increase of the impact times, while the peak strain, maximum strain and average strain rate show the opposite trends in the whole cyclic impact process without considering the axial pressure and impact pressure. Under the same impact pressure, the peak stress and cumulative cyclic impact times decrease with the increase of the axial pressure, while under the same axial pressure, the peak stress increase with the increase of the impact pressure, and cumulative impact times increase and then decrease. Under the action of one-dimensional coupled static and cyclic impact loads, the whole impact process of sandstone could be divided into the compacted stage, the internal crack development stage and the accelerated failure stage. The results of this experimental study show that the high probability of deep underground mine prop is caused by the interaction between static and dynamic loads, and the frequent disturbance of dynamic load is one of the key influencing factors.
-
表 1 砂岩的静态物理力学参数
Table 1. Static physical and mechanical parameters of sandstone
fcu/MPa ft/MPa E/GPa $\,\mu $ v/(m·s−1) 116.94 5.30 31.25 0.26 3923 表 2 代表性试样的基本物理参数及加载方案
Table 2. Basic parameters of the representative samples and the loading scheme
Sample No. L/mm D/mm $\,\rho $s/(kg·m−3) $\sigma $as/MPa pc/MPa S3-1
S3-2
S3-3
S3-4
S3-5
S3-6
S3-724.97
25.26
25.38
25.26
25.35
25.04
24.9449.56
49.60
49.53
49.84
49.90
49.88
49.652591
2571
2567
2561
2580
2564
26285
15
20
15
20
15
200.8
0.8
0.8
1.0
1.0
1.2
1.2表 3 代表性试样的总循环冲击次数
Table 3. Total number of the cyclic impacts of the representative samples
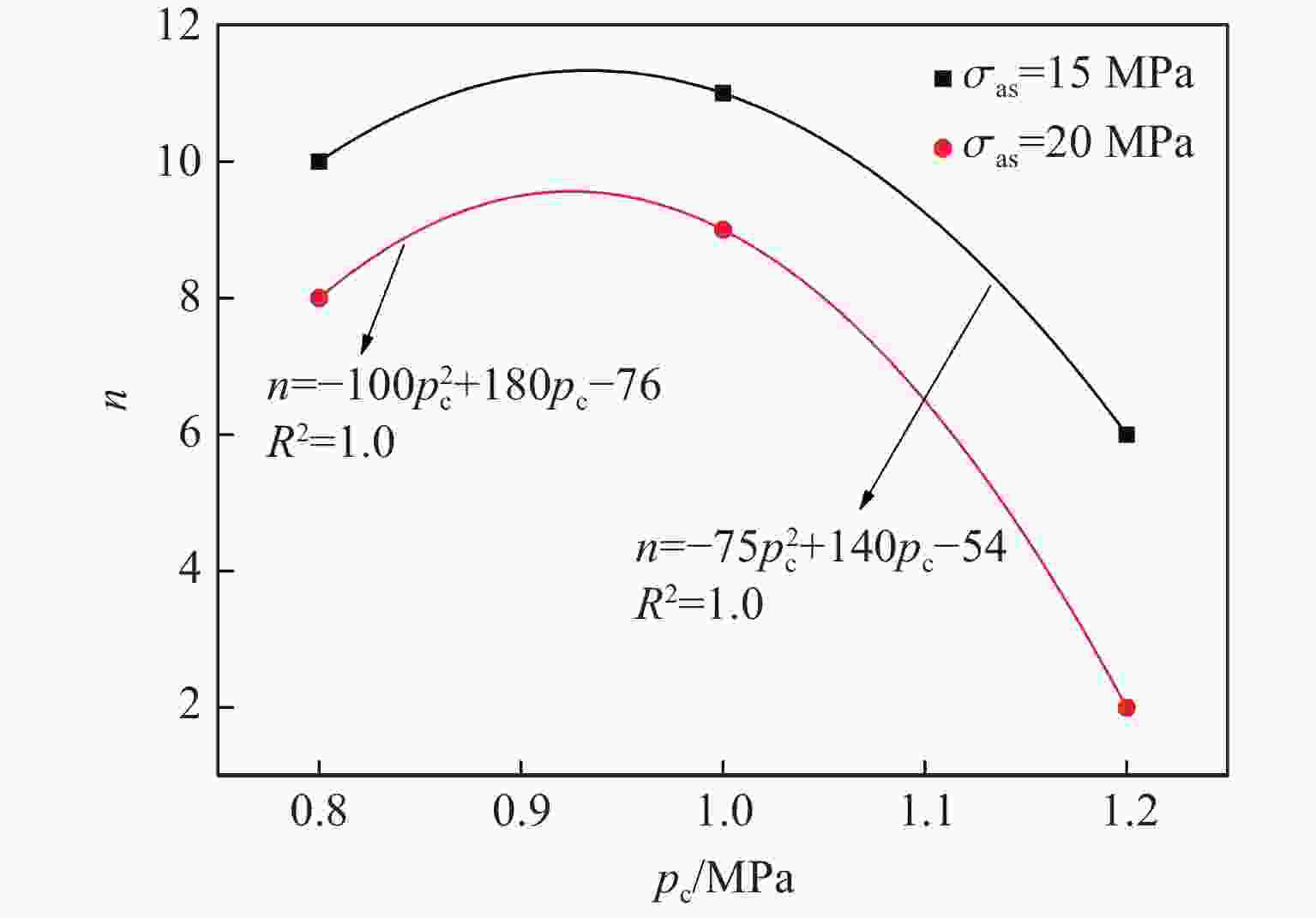
S3-1 S3-2 S3-3 S3-4 S3-5 S3-6 S3-7 15 10 8 11 9 6 2 -
[1] 余永强, 张文龙, 范利丹, 等. 冲击荷载下煤系砂岩应变率效应及能量耗散特征 [J]. 煤炭学报, 2021, 46(7): 2281–2293. doi: 10.13225/j.cnki.jccs.2020.0440YU Y Q, ZHANG W L, FAN L D, et al. Strain rate effect and energy dissipation characteristics of sandstone in coal measures under impact loading [J]. Journal of China Coal Society, 2021, 46(7): 2281–2293. doi: 10.13225/j.cnki.jccs.2020.0440 [2] LI H B, XIA X, LI J C, et al. Rock damage control in bedrock blasting excavation for a nuclear power plant [J]. International Journal of Rock Mechanics and Mining Sciences, 2011, 48(2): 210–218. doi: 10.1016/j.ijrmms.2010.11.016 [3] 姜耀东, 潘一山, 姜福兴, 等. 我国煤炭开采中的冲击地压机理和防治 [J]. 煤炭学报, 2014, 39(2): 205–213. doi: 10.13225/j.cnki.jccs.2013.0024JIANG Y D, PAN Y S, JIANG F X, et al. State of the art review on mechanism and prevention of coal bumps in China [J]. Journal of China Coal Society, 2014, 39(2): 205–213. doi: 10.13225/j.cnki.jccs.2013.0024 [4] 金解放, 李夕兵, 常军然, 等. 循环冲击作用下岩石应力应变曲线及应力波特性 [J]. 爆炸与冲击, 2013, 33(6): 613–619. doi: 10.11883/1001-1455(2013)06-0613-07JIN J F, LI X B, CHANG J R, et al. Stress-strain curve and stress wave characteristics of rock subjected to cyclic impact loadings [J]. Explosion and Shock Waves, 2013, 33(6): 613–619. doi: 10.11883/1001-1455(2013)06-0613-07 [5] 金解放, 李夕兵, 殷志强, 等. 轴压和循环冲击次数对砂岩动态力学特性的影响 [J]. 煤炭学报, 2012, 37(6): 923–930. doi: 10.13225/j.cnki.jccs.2012.06.002JIN J F, LI X B, YIN Z Q, et al. Effects of axial pressure and number of cyclic impacts on dynamic mechanical characteristics of sandstone [J]. Journal of China Coal Society, 2012, 37(6): 923–930. doi: 10.13225/j.cnki.jccs.2012.06.002 [6] 金解放, 李夕兵, 王观石, 等. 循环冲击载荷作用下砂岩破坏模式及其机理 [J]. 中南大学学报(自然科学版), 2012, 43(4): 1453–1461.JIN J F, LI X B, WANG G S, et al. Failure modes and mechanisms of sandstone under cyclic impact loadings [J]. Journal of Central South University (Science and Technology), 2012, 43(4): 1453–1461. [7] 王志亮, 杨辉, 田诺成. 单轴循环冲击下花岗岩力学特性与损伤演化机理 [J]. 哈尔滨工业大学学报, 2020, 52(2): 59–66. doi: 10.11918/201811085WANG Z L, YANG H, TIAN N C. Mechanical property and damage evolution mechanism of granite under uniaxial cyclic impact [J]. Journal of Harbin Institute of Technology, 2020, 52(2): 59–66. doi: 10.11918/201811085 [8] 田诺成, 王志亮, 熊峰, 等. 循环冲击荷载下轴压对花岗岩动力学特性的影响 [J]. 哈尔滨工业大学学报, 2021, 53(5): 156–164. doi: 10.11918/201908134TIAN N C, WANG Z L, XIONG F, et al. Influence of axial pressure on dynamic mechanical properties of granite under cyclic impact loading [J]. Journal of Harbin Institute of Technology, 2021, 53(5): 156–164. doi: 10.11918/201908134 [9] LI X B, LOK T S, ZHAO J. Dynamic characteristics of granite subjected to intermediate loading rate [J]. Rock Mechanics and Rock Engineering, 2005, 38(1): 21–39. doi: 10.1007/s00603-004-0030-7 [10] 唐礼忠, 王春, 程露萍, 等. 一维静载及循环冲击共同作用下矽卡岩力学特性试验研究 [J]. 中南大学学报(自然科学版), 2015, 46(10): 3898–3906. doi: 10.11817/j.issn.1672-7207.2015.10.045TANG L Z, WANG C, CHENG L P, et al. Experimental study of mechanical characteristics of skarn under one-dimensional coupled static and cyclic impact loads [J]. Journal of Central South University (Science and Technology), 2015, 46(10): 3898–3906. doi: 10.11817/j.issn.1672-7207.2015.10.045 [11] 宫凤强, 李夕兵, 刘希灵, 等. 一维动静组合加载下砂岩动力学特性的试验研究 [J]. 岩石力学与工程学报, 2010, 29(10): 2076–2085.GONG F Q, LI X B, LIU X L, et al. Experimental study of dynamic characteristics of sandstone under one-dimensional coupled static and dynamic loads [J]. Chinese Journal of Rock Mechanics and Engineering, 2010, 29(10): 2076–2085. [12] QIU J D, LI D Y, LI X B. Dynamic failure of a phyllite with a low degree of metamorphism under impact Brazilian test [J]. International Journal of Rock Mechanics and Mining Sciences, 2017, 94: 10–17. doi: 10.1016/j.ijrmms.2017.02.013 [13] 邱加冬, 李地元, 李夕兵, 等. 预制缺陷对花岗岩层裂破坏的影响 [J]. 爆炸与冲击, 2018, 38(3): 665–670. doi: 10.11883/bzycj-2016-0310QIU J D, LI D Y, LI X B, et al. Effect of pre-existing flaws on spalling fracture of granite [J]. Explosion and Shock Waves, 2018, 38(3): 665–670. doi: 10.11883/bzycj-2016-0310 [14] ZHOU Y X, XIA K, LI X B, et al. Suggested methods for determining the dynamic strength parameters and mode-Ⅰ fracture toughness of rock materials [J]. International Journal of Rock Mechanics and Mining Sciences, 2012, 49: 105–112. doi: 10.1016/j.ijrmms.2011.10.004 [15] 宋力, 胡时胜. SHPB数据处理中的二波法与三波法 [J]. 爆炸与冲击, 2005, 25(4): 368–373. doi: 10.11883/1001-1455(2005)04-0368-06SONG L, HU S S. Two-wave and three-wave method in SHPB data processing [J]. Explosion and Shock Waves, 2005, 25(4): 368–373. doi: 10.11883/1001-1455(2005)04-0368-06 [16] WANG P, YIN T B, LI X B, et al. Dynamic properties of thermally treated granite subjected to cyclic impact loading [J]. Rock Mechanics and Rock Engineering, 2019, 52(4): 991–1010. doi: 10.1007/s00603-018-1606-y [17] 李夕兵. 岩石动力学基础与应用 [M]. 北京: 科学出版社, 2014.LI X B. Rock dynamics fundamentals and applications [M]. Beijing: Science Press, 2014. [18] 金解放, 李夕兵, 钟海兵. 三维静载与循环冲击组合作用下砂岩动态力学特性研究 [J]. 岩石力学与工程学报, 2013, 32(7): 1358–1372. doi: 10.3969/j.issn.1000-6915.2013.07.010JIN J F, LI X B, ZHONG H B. Study of dynamic mechanical characteristic of sandstone subjected to three-dimensional coupled static-cyclic impact loadings [J]. Chinese Journal of Rock Mechanics and Engineering, 2013, 32(7): 1358–1372. doi: 10.3969/j.issn.1000-6915.2013.07.010 [19] 宫凤强, 李夕兵, 刘希灵. 三维动静组合加载下岩石力学特性试验初探 [J]. 岩石力学与工程学报, 2011, 30(6): 1179–1190.GONG F Q, LI X B, LIU X L. Preliminary experimental study of characteristics of rock subjected to 3D coupled static and dynamic loads [J]. Chinese Journal of Rock Mechanics and Engineering, 2011, 30(6): 1179–1190. [20] 于洋, 徐倩, 刁心宏, 等. 循环冲击对围压作用下砂岩特征的影响 [J]. 华中科技大学学报(自然科学版), 2019, 47(6): 127–132. doi: 10.13245/j.hust.190623YU Y, XU Q, DIAO X H, et al. Effect of cyclic impact on sandstone characteristics under confining pressures [J]. Journal of Huazhong University of Science and Technology (Nature Science Edition), 2019, 47(6): 127–132. doi: 10.13245/j.hust.190623 [21] 马佳骥. 一维动静组合加载下损伤岩石力学特性研究 [D]. 石家庄: 石家庄铁道大学, 2019.MA J J. Study on mechanical properties of damaged rock under one-dimensional dynamic and static loading [D]. Shijiazhuang: Shijiazhuang Tiedao University, 2019. -

下载: