Response Law of Subway Platform and Surrounding Rock under Solid Explosion
-
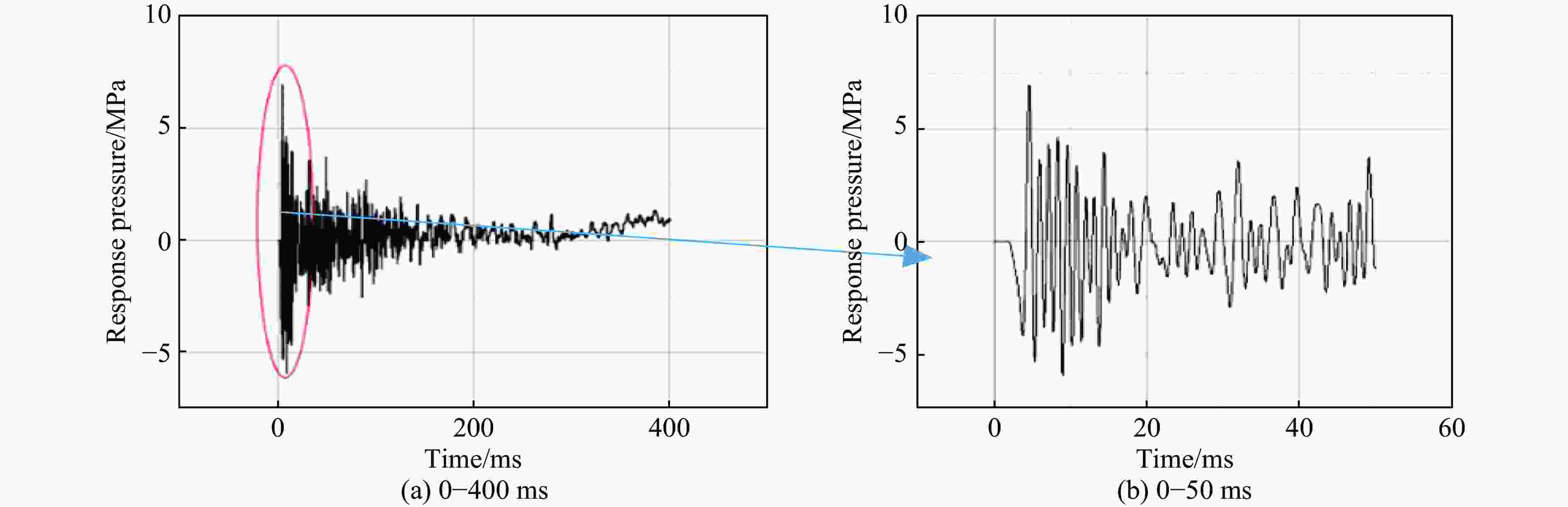
摘要: 地铁站内发生爆炸将造成巨大的人员伤亡和财产损失。依托上海某地铁站工程,将HJC模型嵌入开源物质点法程序中,研究了固体炸药爆炸作用下地铁站台及围岩的响应规律。结果表明:受爆炸应力波的影响,站台顶板和底板响应压强在短时间内达到峰值后迅速降低,站台结构在爆炸过程中既存在受拉区又存在受压区;在站台边墙处,由于应力波与反射波叠加,会出现超压突变区;爆炸作用使站台结构整体下沉,且起爆点正下方围岩会形成塌陷坑,起爆点正上方围岩和车站结构相对周围向上隆起;结构受损区域主要集中在结构底板,呈椭圆形;站台有柱区域的抗爆能力强于无柱区域。Abstract: An explosion in the subway station will lead to huge losses of personnel and property. In order to study the response law of subway platform and surrounding rock of a subway station project in Shanghai under the action of solid explosive explosion, HJC model is embedded in the open source material point method program. The results show that the response pressure of platform roof and floor will decrease rapidly after reaching the peak in a short time under the influence of explosion wave, and the platform structure forms tension zone and compression zone during explosion. Due to the superposition of stress wave and reflected wave, overpressure sudden change zone will appear at the platform side wall. The whole platform structure sink under explosion. Moreover, the surrounding rock directly below the detonation point forms a collapse pit, and the surrounding rock directly above the detonation point and the station structure rises up. The damaged area is mainly concentrated in the bottom plate of the structure, and the damaged area is oval. The blast resistance of platform with column area is stronger than that without column area.
-
Key words:
- subway platform /
- HJC model /
- explosion /
- structural response /
- material point method
-
表 1 混凝土结构的HJC模型参数
Table 1. HJC model parameters of concrete structure
$\,\rho $/(kg·m–3) E/GPa $\nu $ ${ f{'_ {\rm{c} } } }$/MPa Smax A B N C $\varepsilon {_{\min }^{\rm f} }$ 2439 32.5 0.2 48 7.0 0.79 1.6 0.61 0.007 0.01 pcrush/GPa plock/GPa D1 D2 K1/GPa K2/GPa K3/GPa vp/(m·s−1) vs/(m·s−1) 0.016 0.8 0.04 1 85 −171 208 3872 2375 表 2 围岩的物理力学参数
Table 2. Physical and mechanical parameters of surrounding rock
$\,\rho $/(kg·m–3) E/GPa $\nu $ $q{_{\phi}}$/(°) $K{_{\phi}}$ $q{_{\varPsi} }$/(°) $\sigma $t/kPa vp/(m·s−1) vs/(m·s−1) 1850 0.04 0.35 0.388 11171 0 0.1 185 89 表 3 空气(空模型)的物理力学参数
Table 3. Physical and mechanical parameters of air (air model)
$\,\rho $/(kg·m–3) c/(m·s−1) E0/(MJ·m–3) $\kappa $ vp/(m·s−1) vs/(m·s−1) 1.29 340 0 1.4 340 0 表 4 固体爆炸物参数
Table 4. Calculation parameters of solid explosives
$\,\rho $0/(kg·m–3) e0/(GJ·m–3) pCJ/GPa $\gamma $ DJ/(m·s–1) 1500 7.0 21 2.727 6930 AJWL/GPa BJWL/GPa R1 R2 $\omega $ 371.2 3.23 4.15 0.95 0.30 表 5 超压模拟结果与经验公式计算结果对比
Table 5. Comparison of overpressure simulation results and empirical formula calculation results
Distance/m Overpressure/MPa Error/% Theoretical formula Numerical simulation 5 2.35 2.25 4.44 10 0.47 0.52 −7.69 表 6 站台有柱区域和无柱区域在固体爆炸作用下结构参数的对比
Table 6. Comparison of various parameters under the solid explosion in the pillared and non-pillared areas of the platform
Area pm/MPa Rd/m nd Cd/m2 pr/MPa pf1/MPa With volumns 6.5 8 1.00 21 5.025 218.0 Without volumns 6.0 5 0.67 13 5.667 110.5 Error/% −7.69 −37.50 −33.00 −38.10 12.78 −49.31 Area pf2/MPa dr/m df1/m df2/MPa dp/m With volumns 0.034 0.124 0.188 0.037 1.64 Without volumns 0.041 0.084 0.103 0.089 0.43 Error/% 20.59 −32.26 −45.21 140.54 −73.78 -
[1] 城市轨道交通2017年度统计和分析报告 [J]. 城市轨道交通, 2018(4): 6−25.Statistics and analysis report of urban rail transit in 2017 [J]. China Metros, 2018(4): 6−25. [2] 王勇, 王德荣, 陈灿寿, 等. 某地铁区间隧道内爆炸效应的数值模拟 [J]. 防护工程, 2006, 28(6): 55–58.WANG Y, WANG D R, CHEN C S, et al. Numerical simulation on interior blasting effect in the section of tunnel in some subway [J]. Protective Engineering, 2006, 28(6): 55–58. [3] CHOI S, WANG J, MUNFAKH G, et al. 3D nonlinear blast model analysis for underground structures [C]//GeoCongress 2006. Atlanta, Georgia, USA: ASCE, 2006. [4] ZHANG X X, CHENG J W, SHI C L, et al. Numerical simulation studies on effects of explosion impact load on underground mine seal [J]. Mining, Metallurgy & Exploration, 2020, 37(2): 665–680. doi: 10.1007/s42461-019-00143-2 [5] 柴永生, 王月桂, 章毅. 地铁口部爆炸冲击波传播规律与超压荷载研究 [J]. 防护工程, 2019, 41(1): 42–46.CHAI Y S, WANG Y G, ZHANG Y. Study on propagation of blast wave and the overpressure load subjected to metro entrance explosion [J]. Protective Engineering, 2019, 41(1): 42–46. [6] 王桂林, 欧阳啸天, 翟俊, 等. 浅埋三舱管廊甲烷爆炸的地面响应规律 [J]. 高压物理学报, 2021, 35(1): 015202. doi: 10.11858/gywlxb.20200616WANG G L, OUYANG X T, ZHAI J, et al. Ground response law of methane explosion in shallow buried three-cabin pipe gallery [J]. Chinese Journal of High Pressure Physics, 2021, 35(1): 015202. doi: 10.11858/gywlxb.20200616 [7] 张雄, 廉艳平, 刘岩, 等. 物质点法 [M]. 北京: 清华大学出版社, 2013: 31−32.ZHANG X, LIAN Y P, LIU Y, et al. Material point method [M]. Beijing: Tsinghua University Press, 2013: 31−32. [8] 陈卫东, 杨文淼, 张帆. 基于物质点法的水下爆炸冲击波数值模拟 [J]. 高压物理学报, 2013, 27(6): 813–820. doi: 10.11858/gywlxb.2013.06.004CHEN W D, YANG W M, ZHANG F. Material point method for numerical simulation of underwater explosion blast wave [J]. Chinese Journal of High Pressure Physics, 2013, 27(6): 813–820. doi: 10.11858/gywlxb.2013.06.004 [9] 王宇新, 陈震, 张洪武, 等. 多层抗爆结构冲击响应无网格MPM法分析 [J]. 工程力学, 2007, 24(12): 186–192. doi: 10.3969/j.issn.1000-4750.2007.12.032WANG Y X, CHEN Z, ZHANG H W, et al. Response of multi-layered structure due to impact load using material point method [J]. Engineering Mechanics, 2007, 24(12): 186–192. doi: 10.3969/j.issn.1000-4750.2007.12.032 [10] 张芮瑜, 孙玉进, 宋二祥. 强夯的物质点法模拟及其能量转化规律分析 [J]. 岩土工程学报, 2019, 41(7): 1208–1216. doi: 10.11779/CJGE201907004ZHANG R Y, SUN Y J, SONG E X. Simulation of dynamic compaction using material point method and analysis of its energy conversion law [J]. Chinese Journal of Geotechnical Engineering, 2019, 41(7): 1208–1216. doi: 10.11779/CJGE201907004 [11] 董友扣, 马家杰, 王栋, 等. 深海滑坡灾害的物质点法模拟 [J]. 海洋工程, 2019, 37(5): 141–147. doi: 10.16483/j.issn.1005-9865.2019.05.016DONG Y K, MA J J, WANG D, et al. Investigation of landslide in deep sea using material point method [J]. The Ocean Engineering, 2019, 37(5): 141–147. doi: 10.16483/j.issn.1005-9865.2019.05.016 [12] HANCHAK S J, FORRESTAL M J, YOUNG E R, et al. Perforation of concrete slabs with 48 MPa (7 ksi) and 140 MPa (20 ksi) unconfined compressive strengths [J]. International Journal of Impact Engineering, 1992, 12(1): 1–7. doi: 10.1016/0734-743X(92)90282-X [13] 李科斌, 董新龙, 李晓杰, 等. 水下爆炸实验法在工业炸药JWL状态方程测定中的应用研究 [J]. 兵工学报, 2020, 41(3): 488–494. doi: 10.3969/j.issn.1000-1093.2020.03.009LI K B, DONG X L, LI X J, et al. Research on parameters determination of JWL EOS for commercial explosives based on underwater explosion test [J]. Acta Armamentarii, 2020, 41(3): 488–494. doi: 10.3969/j.issn.1000-1093.2020.03.009 [14] 李志鹏. 瓦斯爆炸作用下隧道衬砌致损机理及修复技术研究 [D]. 北京: 北京科技大学, 2019.LI Z P. Study on damage mechanism and repair technology of tunnel lining subject to gas explosion [D]. Beijing: University of Science and Technology, 2019. [15] 涂国勇, 王海锋, 禄晓飞, 等. 整体爆破弹头爆炸当量定量评价研究 [J]. 现代防御技术, 2020, 48(2): 30–34. doi: 10.3969/j.issn.1009-086x.2020.02.005TU G Y, WANG H F, LU X F, et al. Explosion equivalent quantitative evaluation of global blowup warhead [J]. Modern Defense Technology, 2020, 48(2): 30–34. doi: 10.3969/j.issn.1009-086x.2020.02.005 [16] 张程娇. 炸药爆轰产物参数的特征线差分反演方法研究 [D]. 大连: 大连理工大学, 2016.ZHANG C J. Research of inversion method of detonation products physical parameters based on modified method of characteristics [D]. Dalian: Dalian University of Technology, 2016. [17] 闫秋实, 刘晶波, 伍俊. 典型地铁车站内爆炸致人员伤亡区域的预测研究 [J]. 工程力学, 2012, 29(2): 81–88.YAN Q S, LIU J B, WU J. Estimation of casualty areas in subway station subjected to terrorist bomb [J]. Engineering Mechanics, 2012, 29(2): 81–88. [18] HENRYCH J. The dynamics of explosion and its use [M]. Amsterdam: Elsevier Scientific Publishing Company, 1979: 178−181. [19] BRODE H L. Blast wave from a spherical charge [J]. Physics of Fluids, 1959, 2(2): 217. doi: 10.1063/1.1705911 [20] SADOVSKYI M A. Mechanical action of air shock waves of explosion based on experimental data [M]. Moscow: Izd Akad Nauk SSSR, 1952. [21] WU C Q, HAO H. Modeling of simultaneous ground shock and airblast pressure on nearby structures from surface explosions [J]. International Journal of Impact Engineering, 2005, 31(6): 699–717. doi: 10.1016/j.ijimpeng.2004.03.002 [22] 师光达. 化工园区危险性评价研究 [D]. 沈阳: 沈阳理工大学, 2020.SHI G D. Study on risk assessment of chemical industry park [D]. Shenyang: Shenyang Ligong University, 2020. [23] 王新建. 爆炸中缺口效应及其防护研究 [J]. 中国人民公安大学学报(自然科学版), 2008, 14(3): 88–90.WANG X J. Study on explosion notch effect and its protecton [J]. Journal of Chinese People’s Public Security University (Science and Technology), 2008, 14(3): 88–90. -

下载: