近场多发爆炸荷载作用下方钢管构件的动态响应及其损伤

王万月 耿少波 王华 李文强 刘亚玲

王万月, 耿少波, 王华, 李文强, 刘亚玲. 近场多发爆炸荷载作用下方钢管构件的动态响应及其损伤[J]. 高压物理学报, 2022, 36(3): 034104. doi: 10.11858/gywlxb.20210858
引用本文: 王万月, 耿少波, 王华, 李文强, 刘亚玲. 近场多发爆炸荷载作用下方钢管构件的动态响应及其损伤[J]. 高压物理学报, 2022, 36(3): 034104. doi: 10.11858/gywlxb.20210858
WANG Wanyue, GENG Shaobo, WANG Hua, LI Wenqiang, LIU Yaling. Dynamic Response and Damage of Square Steel Tubular Structural Components by Near-Field Multiple Blast Loads[J]. Chinese Journal of High Pressure Physics, 2022, 36(3): 034104. doi: 10.11858/gywlxb.20210858
Citation: WANG Wanyue, GENG Shaobo, WANG Hua, LI Wenqiang, LIU Yaling. Dynamic Response and Damage of Square Steel Tubular Structural Components by Near-Field Multiple Blast Loads[J]. Chinese Journal of High Pressure Physics, 2022, 36(3): 034104. doi: 10.11858/gywlxb.20210858

近场多发爆炸荷载作用下方钢管构件的动态响应及其损伤

doi: 10.11858/gywlxb.20210858
基金项目: 国家自然科学基金(51408558);山西省自然科学基金(201901D111161)
详细信息
    作者简介:

    王万月(1975-),女,博士研究生,主要从事建筑抗爆研究. E-mail:wanyue@nuc.edu.cn

    通讯作者:

    耿少波(1982-),男,博士,副教授,主要从事桥梁结构爆炸荷载和防护设计研究.E-mail: gengshaobo@nuc.edu.cn

  • 中图分类号: O347; TU352.1

Dynamic Response and Damage of Square Steel Tubular Structural Components by Near-Field Multiple Blast Loads

  • 摘要: 为研究多发爆炸荷载作用下方钢管构件的动态响应及损伤情况,依据方钢管单发爆炸试验确定合理的模型参数,分析了近场爆炸总药量相同的条件下药量等分份数、药量质量比以及起爆时间间隔3种因素对方钢管构件抗爆性能的影响。结果表明:多发等分药量同时起爆时,方钢管迎爆面变形和挠度分别比单发爆炸时大17.5%和32.1%;对于两发爆炸荷载,当两发炸药的质量接近时,方钢管迎爆面变形和挠度比质量差异较大时大18.3%和19.7%。对于多发等分药量爆炸荷载:当各炸药爆心到方钢管跨中的距离相同时,非同时起爆时方钢管迎爆面的变形比同时起爆时小4.3%,且起爆时间间隔越长,变形越小;当各炸药爆心到方钢管跨中距离不同时,调整各炸药起爆时间可使方钢管迎爆面跨中变形比同时起爆时大13.9%。

     

  • 图  方钢管爆炸试验装置及1/2有限元模型(单位:mm)

    Figure  1.  Blast test device of square steel tube and 1/2 finite element model (Unit: mm)

    图  方钢管变形

    Figure  2.  Deformation of steel tube

    图  超压时程曲线

    Figure  3.  Overpressure-time history curve

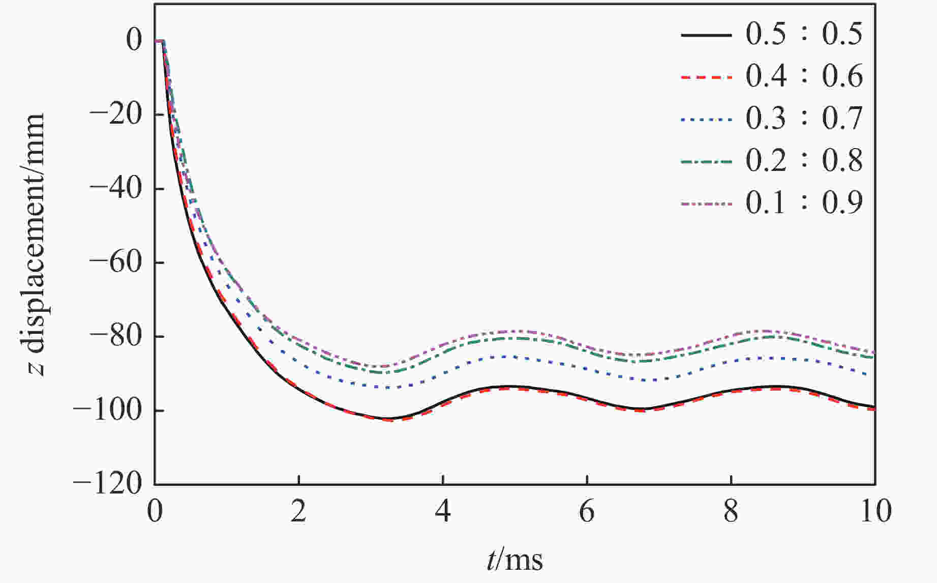
    图  方钢管迎爆面跨中z向位移和挠度时程曲线

    Figure  4.  Time histories of z displacement on the front surface at mid span and the deflection of steel tube

    图  单发及多发爆炸示意图(单位:mm)

    Figure  5.  Schematic diagram of single and multiple blast (Unit: mm)

    图  单发及多发爆炸超压云图( $ t $ = 100 μs)

    Figure  6.  Overpressure contours of single and multiple blast ( $ t $ = 100 μs)

    图  单发及多发爆炸1/2方钢管变形云图(t= 10 ms)

    Figure  7.  Deformation contours of 1/2 steel tube of single and multiple blast (t= 10 ms)

    图  方钢管迎爆面变形最大处z向位移时程曲线

    Figure  8.  Time histories of z displacement at the maximum deformation on the front surface of square steel tube

    图  方钢管挠度时程曲线

    Figure  9.  Time histories of the deflection of the square steel tube

    图  10  具有不同质量比的两发爆炸示意图(单位:mm)

    Figure  10.  Schematic diagram of two charges with different mass ratios (Unit: mm)

    图  11  具有不同质量比的两发爆炸超压云图( $ t $ = 100 μs)

    Figure  11.  Overpressure contours of two charges with different mass ratios ( $ t $ = 100 μs)

    图  12  不同质量比的两发爆炸荷载下1/2方钢管的变形云图( $ t $ = 10 ms)

    Figure  12.  Deformations contours of 1/2 steel tube loaded by two charges with different mass ratios ( $ t $ = 10 ms)

    图  13  方钢管迎爆面变形最大处z向位移时程曲线

    Figure  13.  Time histories of z displacement at the maximum deformation on the front surface of square steel tube

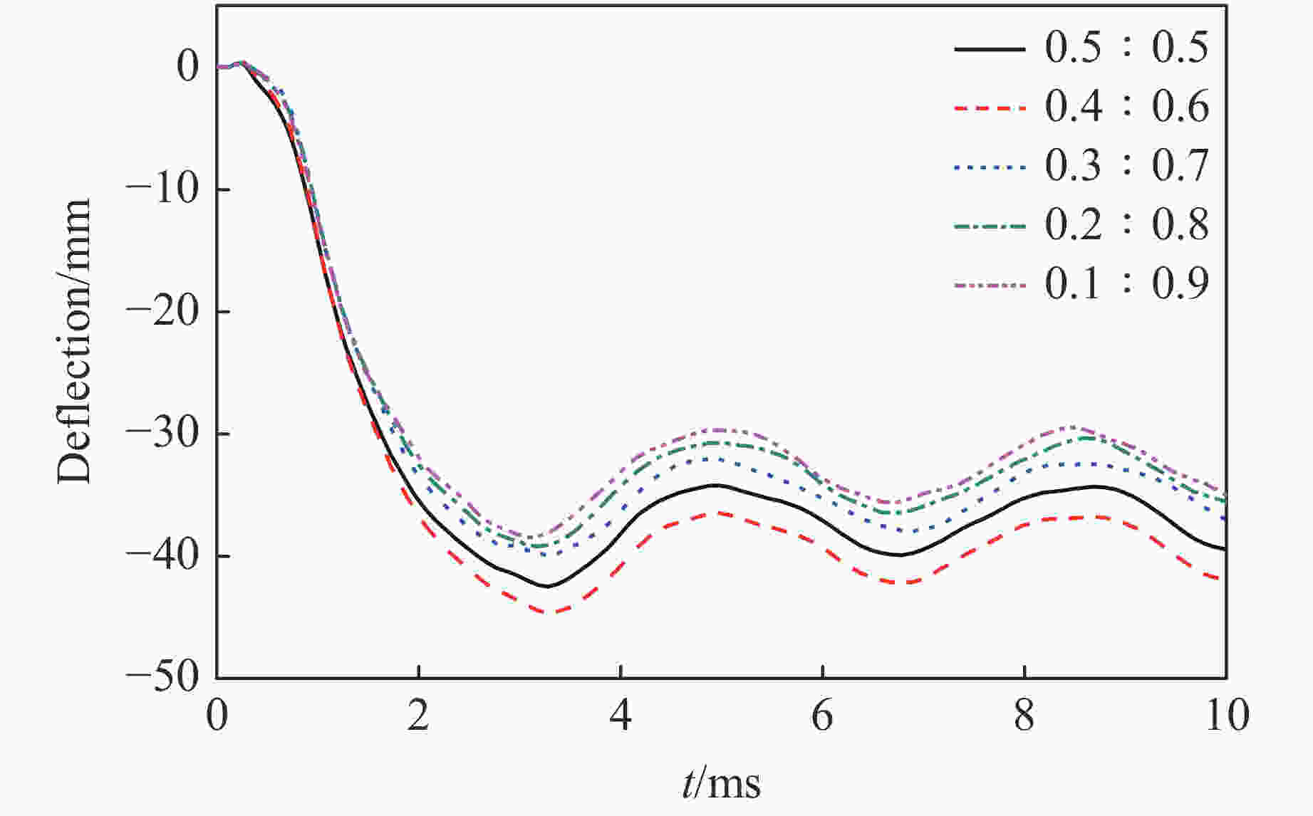
    图  14  方钢管挠度时程曲线

    Figure  14.  Time histories of the deflection of the square steel tube

    图  15  起爆时间间隔不同和殉爆时炸药2开始起爆时超压云图

    Figure  15.  Overpressure contours when the explosive 2 starts to detonate with different detonation time interval and sympathetic detonation

    图  16  起爆时间间隔不同和殉爆时冲击波到达方钢管时的超压云图

    Figure  16.  Overpressure contours when the overpressure reaches to the square steel tube with different detonation time interval and sympathetic detonation

    图  17  不同起爆时间间隔和殉爆时1/2方钢管的变形云图( $ t $ = 10 ms)

    Figure  17.  Deformations contours of 1/2 square steel tube with different detonation time intervals and sympathetic detonation ( $ t $ = 10 ms)

    图  18  方钢管迎爆面变形最大处z向位移时程曲线

    Figure  18.  Time histories of z displacement at maximum deformation on the front surface of square steel tube

    图  19  方钢管挠度时程曲线

    Figure  19.  Time histories of the deflection of the square steel tube

    图  20  3发和4发炸药非同时起爆时的超压云图(t = 100 μs)

    Figure  20.  Overpressure contour of three and four charges with non-simultaneous detonation (t= 100 μs)

    图  21  3发和4发爆炸非同时起爆时1/2方钢管的变形云图(t = 10 ms)

    Figure  21.  Deformation contours of 1/2 square steel tube under three and four charges with non-simultaneous detonation (t = 10 ms)

    图  22  3发和4发炸药爆炸荷载下方钢管迎爆面变形最大处z向位移时程曲线

    Figure  22.  Time histories of z displacement at the maximum deformation on the front surface of square steel tube under three and four charges

    图  23  3发和4发炸药爆炸荷载下方钢管挠度时程曲线

    Figure  23.  Time histories of the deflection of the square steel tube under three and four charges

  • [1] 观察者网. 美国得州化工厂发生二次爆炸 5.4万人疏散 [EB/OL]. (2019-11-28)[2021-07-16]. https://www.guancha.cn/internation/2019_11_28_526660.shtml
    [2] 董晓鹏, 王小盾, 陈志华, 等. 柱承式网架结构在连续爆炸荷载作用下的动力响应 [J]. 钢结构, 2017, 32(217): 1–5.

    DONG X P, WANG X D, CHEN Z H, et al. Dynamic responses of a column-supported space grid structure under multiple blast loads [J]. Steel Construction, 2017, 32(217): 1–5.
    [3] 张沉. 震颤的江城——吉化双苯厂“11·13”连续爆炸侧记 [J]. 现代职业安全, 2005(12): 14–17. doi: 10.3969/j.issn.1671-4156.2005.12.004

    ZHANG C. Trembling Jiangcheng: profile of “11·13” continuous explosion in Jihua biphenyl plant [J]. Modern Occupational Safety, 2005(12): 14–17. doi: 10.3969/j.issn.1671-4156.2005.12.004
    [4] CHEN L, WANG C, FENG C G, et al. Study on random initiation phenomenon for sympathetic detonation of explosive [J]. Defence Technology, 2013, 9(4): 224–228.
    [5] KANDULA M, FREEMAN R. On the interaction and coalescence of spherical blast waves [J]. Shock Waves, 2008, 18(1): 21–33. doi: 10.1007/s00193-008-0134-1
    [6] NGO T, MOHOTTI D, REMENNIKOV A, et al. Numerical simulations of response of tubular steel beams to close-range explosions [J]. Journal of Constructional Steel Research, 2015, 105: 151–163.
    [7] 纪冲, 龙源, 唐献述, 等. 爆炸载荷下X70钢管道的局部破坏效应 [J]. 高压物理学报, 2013, 27(4): 567–574. doi: 10.11858/gywlxb.2013.04.016

    JI C, LONG Y, TANG X S, et al. Local damage effects of X70 steel pipe subjected to contact explosion loading [J]. Chinese Journal of High Pressure Physics, 2013, 27(4): 567–574. doi: 10.11858/gywlxb.2013.04.016
    [8] 刘亚玲, 刘玉存, 耿少波, 等. 钢箱梁结构在爆炸冲击波作用下局部破坏影响因素试验研究 [J]. 振动与冲击, 2018, 37(24): 229–236.

    LIU Y L, LIU Y C, GENG S B, et al. An experimental study on the local damage and influence factors of a steel box girder under explosive shock wave [J]. Journal of Vibration and Shock, 2018, 37(24): 229–236.
    [9] 赵春风, 王强, 王静峰, 等. 近场爆炸作用下核电厂安全壳穹顶钢筋混凝土板的抗爆性能[J]. 高压物理学报, 2019, 33(2): 143−155.

    ZHAO C F, WANG Q, WANG J F, et al. Blast resistance of containment dome reinforced concrete slab in NPP under close-in explosion [J]. Chinese Journal of High Pressure Physics, 2019, 33(2): 143−155.
    [10] REMENNIKOV A M, YU B. Explosive testing and modelling of square tubular steel columns for near-field detonations [J]. Journal of Constructional Steel Research, 2014, 101(10): 290–303.
    [11] JAMA H H, BAMBACH M R, NURICK G N, et al. Numerical modelling of square tubular steel beams subjected to transverse blast loads [J]. Thin-Walled Structures, 2009, 47(12): 1523–1534. doi: 10.1016/j.tws.2009.06.004
    [12] KARAGIOZOVA D, YU T X, LU G. Transverse blast loading of hollow beams with square cross-sections [J]. Thin-Walled Structures, 2013, 62(1): 169–178.
    [13] KEEFER J H, REISLER R E. Simultaneous and non-simultaneous multiple detonations [C]//Proceedings of the 14th International Symposium Shock Waves and Shock Tubes. New South Wales, Australia, 1984: 543–552.
    [14] HOKANSON J C, ESPARZA E D, WENZEL A B, et al. Blast effects of simultaneous multiple-charge detonations: ADA 063523 [R]. 1978.
    [15] QIU S, ELIASSON V. Interaction and coalescence of multiple simultaneous and non-simultaneous blast waves [J]. Shock Waves, 2016, 26(3): 287–297. doi: 10.1007/s00193-015-0567-2
    [16] 章毅, 方秦, 陈力, 等. 多次爆炸荷载作用下梁的抗爆性能分析 [J]. 兵工学报, 2009(Suppl 2): 182–187.

    ZHANG Y, FANG Q, CHEN L, et al. Blast-resistant properties of reinforced concrete and steel beams subjected to multiple blast loads [J]. Acta Armamentarii, 2009(Suppl 2): 182–187.
    [17] 宁建国, 王成, 马天宝, 等. 爆炸与冲击动力学[M]. 北京: 国防工业出版社, 2010: 94−98.

    NING J G, WANG C, MA T B, et al. Explosion and shock dynamics [M]. Beijing: National Defense Industry Press, 2010: 94−98.
    [18] Century Dynamics Inc.. AUTODYN user’s manual [Z]. Concord, CA: Century Dynamics Inc., 2005: 473.
    [19] 李忠献, 刘志侠. 爆炸荷载作用下钢结构的动力反应分析 [J]. 建筑结构, 2006(Suppl 1): 729–732.

    LI Z X, LIU Z X. Dynamic response analysis of steel structure under blast loads [J]. Building Structure, 2006(Suppl 1): 729–732.
    [20] JOHNSON G R, COOK W H. Fracture characteristics of three metals subjected to various strains, strain rates, temperatures and pressures [J]. Engineering Fracture Mechanics, 1985, 21(1): 31–48. doi: 10.1016/0013-7944(85)90052-9
    [21] 潘金龙, 周甲佳, 罗敏. 爆炸荷载下FRP加固双向板动力响应数值模拟 [J]. 解放军理工大学学报(自然科学版), 2011, 12(6): 643–648.

    PAN J L, ZHOU J J, LUO M. Numerical simulations on dynamic responses of FRP strengthened reinforced concrete two-way slabs under blasting loading [J]. Journal of PLA University of Science and Technology (Natural Science Edition), 2011, 12(6): 643–648.
    [22] 王帅, 徐亚丰. 端部约束对爆炸荷载作用下钢骨-钢管混凝土柱动力响应的影响 [J]. 工程力学, 2013, 30(Suppl 1): 290–293.

    WANG S, XU Y F. Effects of end constraints on dynamic response of steel reinforced concrete filled with steel tube concrete column under blast load [J]. Engineering Mechanics, 2013, 30(Suppl 1): 290–293.
    [23] 周保顺, 王少龙, 徐明利, 等. 非均质炸药殉爆试验数值模拟 [J]. 弹箭与制导学报, 2009(5): 145–148. doi: 10.3969/j.issn.1673-9728.2009.05.039

    ZHOU B S, WANG S L, XU M L, et al. Numerical simulation of sympathetic detonation of heterogeneous condensed explosives [J]. Journal of Projectiles, Rockets, Missiles and Guidance, 2009(5): 145–148. doi: 10.3969/j.issn.1673-9728.2009.05.039
    [24] 李金河, 赵继波, 谭多望, 等. 不同起爆方式对含铝炸药水中爆炸近场冲击波压力的影响 [J]. 高压物理学报, 2012, 26(3): 289–293. doi: 10.11858/gywlxb.2012.03.007

    LI J H, ZHAO J B, TAN D W, et al. Effect on the near field shock wave pressure of underwater explosion of aluminized explosive at different initiation modes [J]. Chinese Journal of High Pressure Physics, 2012, 26(3): 289–293. doi: 10.11858/gywlxb.2012.03.007
  • 加载中
图(23)
计量
  • 文章访问数:  1576
  • HTML全文浏览量:  736
  • PDF下载量:  47
出版历程
  • 收稿日期:  2021-07-26
  • 修回日期:  2021-09-06
  • 刊出日期:  2022-05-30

目录

    /

    返回文章
    返回