Influence of Initial Conditions on the Interior Ballistic Performance of Hydrogen-Oxygen Detonation Gas Gun
-
摘要: 为分析不同初始条件对氢氧爆轰气体炮内弹道性能的影响,基于计算流体力学方法,利用FLUENT软件建立了氢氧爆轰气体炮二维数值计算模型,同时基于40 mm口径气体炮开展发射实验,对计算模型的有效性进行了验证。通过数值模拟,得到了初始压力、氮气含量和反应气体配比对氢氧爆轰气体炮内弹道性能的影响规律。结果表明:提升气室初始压力和氮气含量均可以有效地提高弹丸发射速度,同时氮气能够降低气室平均温度,提升反应气体的能量利用率;存在反应气体的优化配比,在保持初始压力不变的条件下,通过注入适量的氮气能够在提高能量利用率的同时得到较高的发射速度。Abstract: In order to analyze the influence of different initial conditions on the interior ballistic performance of hydrogen-oxygen detonation gas gun, a two-dimensional numerical model of hydrogen-oxygen detonation gas gun was established by using FLUENT software, which is based on the computational fluid dynamics method. The validity of numerical model was verified by launching experiments of 40 mm caliber gas gun. The influence mechanisms of initial pressure, nitrogen content and reaction gas ratio on the interior ballistic performance of hydrogen-oxygen detonation gas gun were revealed by numerical calculation. The results show that, increasing the initial pressure and nitrogen content of the gas chamber can effectively improve the projectile launching speed, while nitrogen can reduce the average temperature of the gas chamber and improve the energy utilization rate of the reaction gas. The results indicate that there exists an optimal ratio of reaction gas dose, injecting nitrogen with proper content can improve the energy utilization and get higher launch speed under the same initial pressure.
-
Key words:
- gas gun /
- interior ballistics /
- hydrogen-oxygen detonation /
- initial conditions
-
表 1 9组分19步氢氧化学反应机理
Table 1. Mechanism of 9-component 19-step hydrogen-oxygen chemical reaction
Step Reaction $ A/( $cm·mol·s·K$ ) $ $ n $ $ {E}_{\mathrm{a}} $/(J·mol−1) 1 H + O2 = O + OH 1.04 × 1014 0 6.41 × 104 2 O + H2 = H + OH 3.82 × 1012 0 3.33 × 104 3 H2 + OH = H2O + H 2.16 × 108 1.51 1.44 × 104 4 OH + OH = O + H2O 3.34 × 104 2.42 −8.08 × 103 5 H2 + M = H + H + M 4.58 × 1019 −1.40 4.35 × 105 6 O + O + M = O2 + M 6.16 × 1015 −0.50 0 7 O + H + M = OH + M 4.71 × 1018 −1.00 0 8 H2O + M = H + OH + M 6.06 × 1027 −3.32 5.05 × 105 9 H + O2 (+M) = HO2 (+M) 4.65 × 1012 0.44 0 10 HO2 + H = H2 + O2 2.75 × 106 2.09 −6.07 × 103 11 HO2 + H = OH + OH 7.08 × 1013 0 1.23 × 103 12 HO2 + O = O2 + OH 2.85 × 1010 1.00 −3.03 × 103 13 HO2 + OH = H2O + O2 2.89 × 1013 0 −2.08 × 103 14 HO2 + HO2 = H2O2 + O2 4.20 × 1014 0 5.02 × 104 15 H2O2 (+M) = OH + OH(+M) 2.00 × 1012 0.90 2.04 × 105 16 H2O2 + H = H2O + OH 2.41 × 1013 0 1.66 × 104 17 H2O2 + H = HO2 + H2 4.82 × 1013 0 3.33 × 104 18 H2O2 + O = OH + HO2 9.55 × 106 2.00 1.66 × 104 19 H2O2 + OH = HO2 + H2O 1.74 × 1012 0 1.33 × 103 Note: M is the third body[9]. 表 2 实验工况
Table 2. Experimental conditions
Case No. ${p}{_{\mathrm{N}_2}}$/MPa ${p}{_{\mathrm{H}_2}}$/MPa ${p}{_{\mathrm{O}_2}}$/MPa ${p}{_{0}}$/MPa ${x}{_{\mathrm{N}_2}}$/% A-1 0 1.00 0.50 1.50 0 A-2 0 2.00 1.00 3.00 0 A-3 0 2.50 1.25 3.75 0 B-1 0.50 1.00 0.50 2.00 25.0 C-1 1.00 1.00 0.50 2.50 40.0 表 3 实验和计算得到的数据及误差
Table 3. Data and errors of experiments and calculations
Case No. ${v}{_{\mathrm{e} }}$/(m·s−1) ${v}{_{\mathrm{c} }}$/(m·s−1) ${\eta }{_{\mathrm{e} }}$/% ${\eta }{_{\mathrm{c} }}$/% ${\delta }{_{v}}$/% ${\delta }{_\eta }$/% A-1 320.1 333.3 8.3 9.0 4.1 8.4 A-2 467.9 472.9 8.9 9.1 1.1 2.2 A-3 531.6 523.5 9.2 8.9 1.5 3.3 B-1 365.4 394.4 10.8 12.6 7.9 16.7 C-1 448.3 438.6 16.3 15.6 2.2 4.3 表 4 计算工况及数据
Table 4. Calculation conditions and data
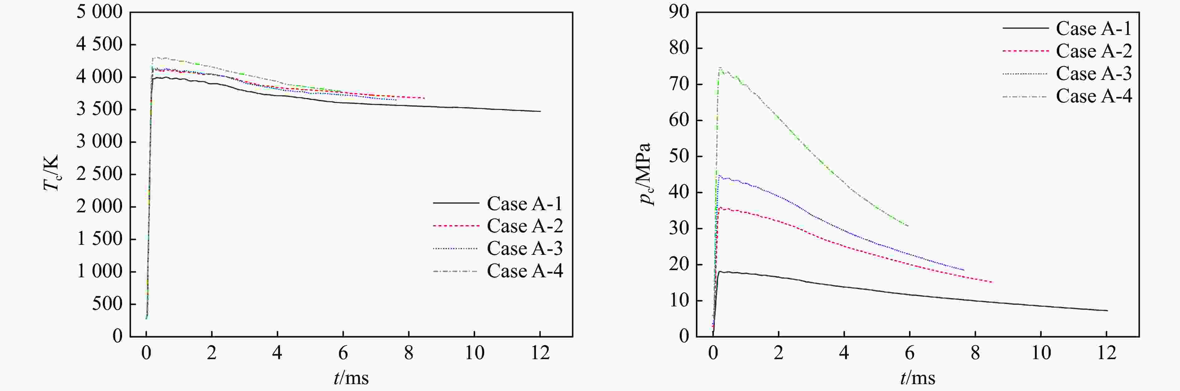
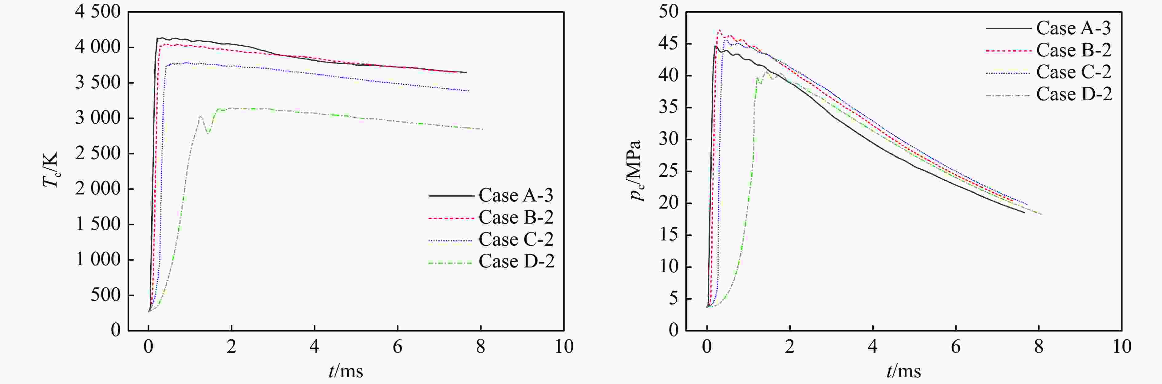
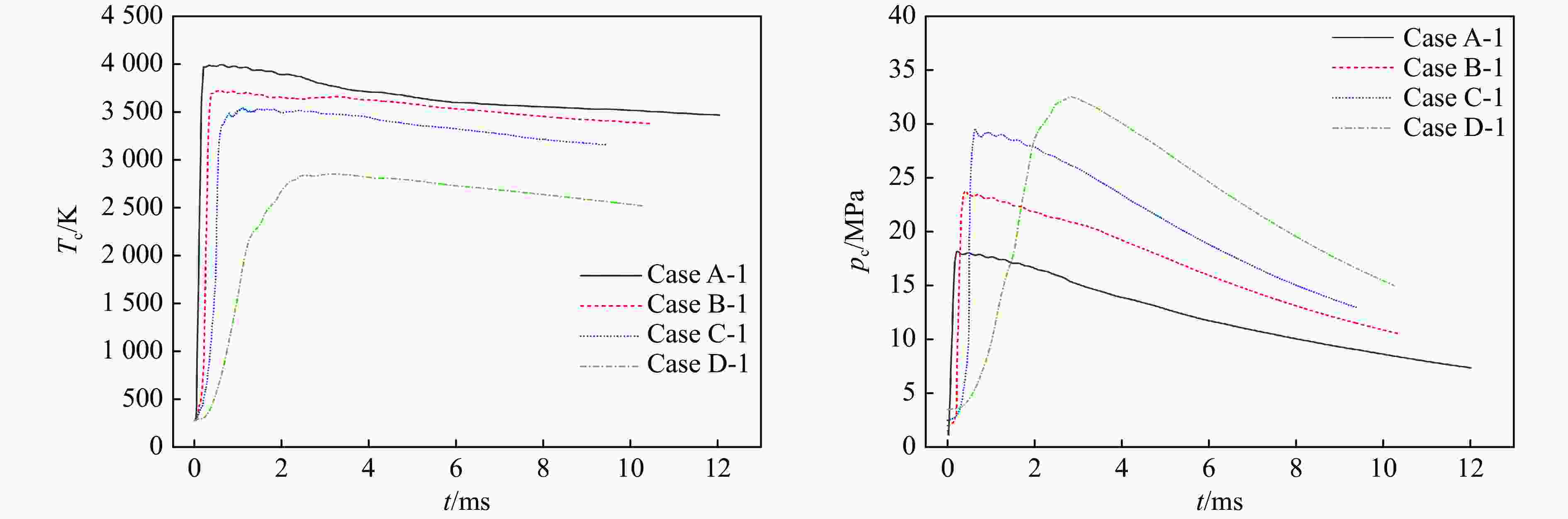
Case No. $p{_{{\rm{N}}_2}} $/MPa $p{_{ {\rm{H} }_2} } $/MPa $p{_{ {\rm{O} }_2} } $/MPa ${p}{_{0}}$/MPa ${x}{_{\mathrm{N}_2}}$/% ${v}{_{\mathrm{c} }}$/(m·s−1) ${\eta }{_{\mathrm{c} }}$/% A-1 0 1.00 0.50 1.50 0 333.3 9.0 A-2 0 2.00 1.00 3.00 0 472.9 9.1 A-3 0 2.50 1.25 3.75 0 523.5 8.9 A-4 0 4.00 2.00 6.00 0 669.8 9.1 B-1 0.50 1.00 0.50 2.00 25.0 394.4 12.6 B-2 0.50 2.20 1.10 3.80 13.2 541.3 10.8 C-1 1.00 1.00 0.50 2.50 40.0 438.6 15.6 C-2 1.10 1.80 0.90 3.80 28.9 534.2 12.9 D-1 2.00 1.00 0.50 3.50 57.1 457.3 17.0 D-2 2.00 1.20 0.60 3.80 52.6 518.8 18.2 -
[1] 林俊德, 张向荣, 朱玉荣, 等. 超高速撞击实验的三级压缩气炮技术 [J]. 爆炸与冲击, 2012, 32(5): 483–489. doi: 10.3969/j.issn.1001-1455.2012.05.006LIN J D, ZHANG X R, ZHU Y R, et al. The technique of three-stage compressed-gas gun for hypervelocity impact [J]. Explosion and Shock Waves, 2012, 32(5): 483–489. doi: 10.3969/j.issn.1001-1455.2012.05.006 [2] 姜宗林, 滕宏辉, 刘云峰. 气相爆轰物理的若干研究进展 [J]. 力学进展, 2012, 42(2): 129–140. doi: 10.6052/1000-0992-2012-2-20120202JIANG Z L, TENG H H, LIU Y F. Some research progress on gaseous detonation physics [J]. Advances in Mechanics, 2012, 42(2): 129–140. doi: 10.6052/1000-0992-2012-2-20120202 [3] PRESLES H N, BAUER P. Detonation products gun [J]. Review of Scientific Instruments, 1983, 54(11): 1511–1512. doi: 10.1063/1.1137278 [4] MAEDA S, KANNO S, KOTO R, et al. Experiment of projectile acceleration using a gaseous detonation driven gas gun [J]. Transactions of the JSME, 2015, 81(822): 14–00332. doi: 10.1299/transjsme.14-00332 [5] 薛一江, 张庆明, 龙仁荣, 等. 氢氧爆轰驱动轻气炮技术实验研究[C]//中国力学大会-2017暨庆祝中国力学学会成立60周年大会论文集. 北京: 中国力学学会, 2017: 9. [6] 王健平, 周蕊, 武丹. 连续旋转爆轰发动机的研究进展 [J]. 实验流体力学, 2015, 29(4): 12–25. doi: 10.11729/syltlx20150048WANG J P, ZHOU R, WU D. Progress of continuously rotating detonation engine research [J]. Journal of Experiments in Fluid Mechanics, 2015, 29(4): 12–25. doi: 10.11729/syltlx20150048 [7] 俞鸿儒. 探索发展激波风洞爆轰驱动技术 [J]. 力学学报, 2011, 43(6): 978–983. doi: 10.6052/0459-1879-2011-6-lxxb2011-331YU H R. Development study of detonation driving techniques for a shock tunnel [J]. Chinese Journal of Theoretical and Applied Mechanics, 2011, 43(6): 978–983. doi: 10.6052/0459-1879-2011-6-lxxb2011-331 [8] 周凯, 汪球, 胡宗民, 等. 爆轰驱动膨胀管性能研究 [J]. 航空学报, 2016, 37(3): 810–816. doi: 10.7527/S1000-6893.2015.0128ZHOU K, WANG Q, HU Z M, et al. Performance study of a detonation-driven expansion tube [J]. Acta Aeronautica et Astronautica Sinica, 2016, 37(3): 810–816. doi: 10.7527/S1000-6893.2015.0128 [9] BURKE M P, CHAOS M, JU Y G, et al. Comprehensive H2/O2 kinetic model for high-pressure combustion [J]. International Journal of Chemical Kinetics, 2012, 44(7): 444–474. doi: 10.1002/kin.20603 -

下载: