Numerical Simulation for PBX Charges Safety of Different Types During Penetration
-
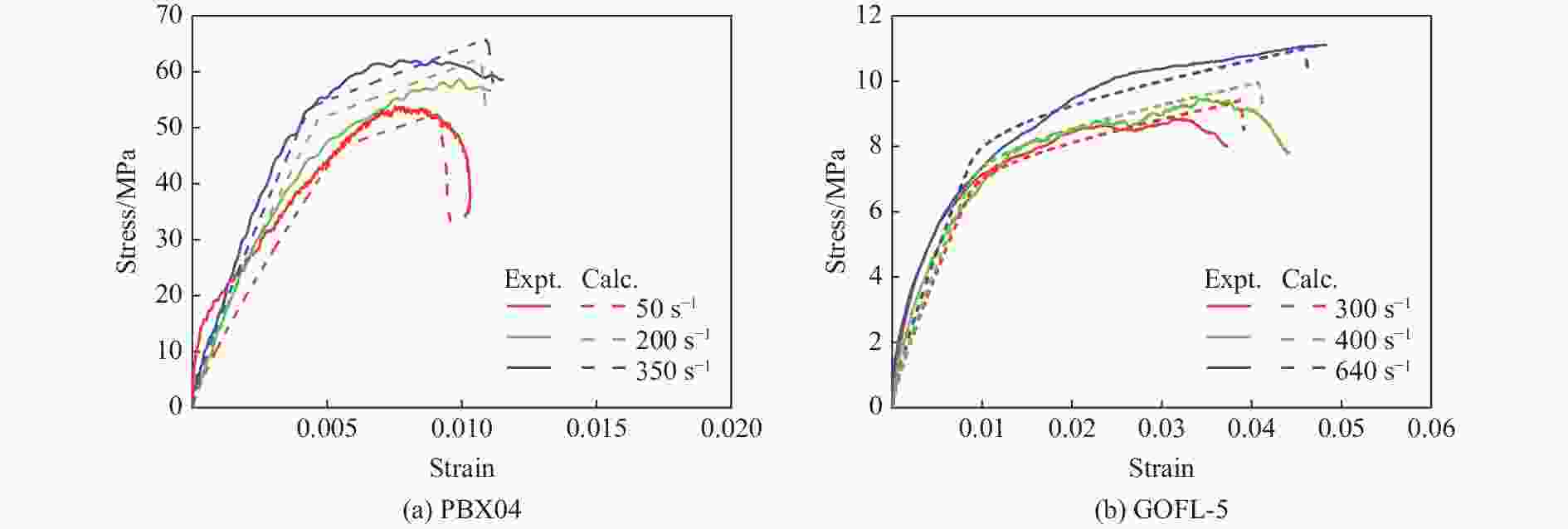
摘要: 为研究侵彻过程典型装药的力学响应和损伤点火过程,采用高聚物黏结炸药微裂纹-微孔洞力热化学耦合细观模型,对侵彻过程中PBX装药的力学响应、应力波传播情况和损伤-温升机理进行了研究,标定了两类炸药的本构模型参数,对比分析了压装PBX04和浇注GOFL-5两类装药的力学-损伤-温升响应的差异性。结果表明:GOFL-5炸药的屈服强度、硬化模量、初始微裂纹密度和微裂纹尺寸均小于PBX04炸药;加载初期,压装药头部微裂纹损伤高于浇注药;整个侵彻过程中,两类炸药的微裂纹损伤较严重区域均为装药头部和尾部;剪切裂纹热点为压装药主导的温升机制,且浇注药GOFL-5在侵彻过程中的温升较压装药PBX04更低。Abstract: In order to analyze the mechanical response and damage-ignition process of typical explosive charges in projectiles during penetrating concrete targets, the combined microcrack and microvoid model (CMM) were used to investigate the compressive wave propagation, damage and temperature rise mechanism of PBX charge in penetration process. The constitutive model parameters of two kinds of explosives were calibrated. Meanwhile, the difference between two typical PBXs (pressed PBX04 and casted GOFL-5) in response to penetration process is compared. The results show that, the yield strength, hardening modulus, initial microcrack density and microcrack size of GOFL-5 are lower than those of PBX04. The damage of microcrack in the head of PBX04 is higher than that of GOFL-5 in the initial loading stage. During the whole penetration process, the most serious microcrack damage areas of the two kinds of explosives are the head and tail. Shear-crack hotspot is the dominated ignition mechanism for PBX04, and the temperature rise of GOFL-5 is lower than that of PBX04.
-
Key words:
- PBX explosive /
- projectile penetration /
- microcrack-microvoid model /
- charge safety
-
表 1 GOFL-5与PBX04材料参数
Table 1. Material parameters for GOFL-5 and PBX04
Material $\;\rho $0/(kg·m−3) G/GPa $\nu$ G1/MPa G2/MPa G3/MPa G4/MPa G5/MPa ${\tau{_1^{-1} } } /{\rm{s} }{^{-1} }$ GOFL-5 1 750 0.55 0.3 167 30.45 90.03 185.6 120.0 0 PBX04 1 820 8.25 0.3 1 940 1 175.00 1 521.00 1 909.0 1 688.0 0 Material ${\tau{_2^{-1} } } /{\rm{s} }{^{-1} }$ ${\tau{_3^{-1} } } /{\rm{s} }{^{-1} }$ ${\tau{_4^{-1} } } /{\rm{s} }{^{-1} }$ ${\tau{_5^{-1} } } /{\rm{s} }{^{-1} }$ $\sigma{{_0}}$/MPa C h/MPa n ${\bar c}$0/μm GOFL-5 7.32 × 103 7.32 × 104 7.32 × 105 7.32 × 106 2.2 0.76 4.5 0.45 30 PBX04 9.00 × 103 9.00 × 104 9.00 × 105 2.00 × 106 40.0 0.10 1500.0 1.00 30 Material N0/cm−3 $\bar \gamma $/(J·m−2) ${\dot c_{\max }}$/(m·s–1) $\;\mu_{\rm{s}}$ m f0/(m·s–1) kw c0/(m·s–1) s $\varGamma $ GOFL-5 3 0.5 300 0.3 5.0 0.01 2.0 1 000 0.46 0.89 PBX04 300 1.4 300 0.5 5.0 0.01 2.0 2 500 2.26 1.50 表 2 弹体材料参数
Table 2. Parameters of projectile material
Physical properties Johnson-Cook model $\;\rho $/(g·cm−3) c/(J·kg−1·K−1) $\kappa $/(kW·m−1·K−1) $\alpha $/(m·K−1) Tm/℃ G/GPa N M 7.82 478 38.11 3.24 × 10−5 1 793.15 774.97 0.26 1.03 Johnson-Cook model Damage model C1/MPa C2/MPa C3 C4 D1 D2 D3 D4 D5 792.21 509.52 1.4 0 –0.8 2.1 –0.5 20.0 0.61 表 3 混凝土靶板材料参数
Table 3. Material parameters of concrete plate target
Physical properties HJC model $\;\rho $/(g·cm−3) c/(J·kg−1·K−1) κ/(kW·m−1·K−1) α/(m·K−1) G/GPa FC/MPa A B N C 2.28 654 1.76 4.32 × 10−5 16.40 40.68 0.75 1.65 0.76 7.0 × 10−3 HJC model Damage model pC/MPa UC pL/GPa UL K1/GPa K2/GPa K3/GPa D1 D2 $\varepsilon $min 13.56 5.80 × 10−4 1.05 0.10 17.40 38.80 29.80 0.03 1.0 0.01 -
[1] 唐明峰, 李明, 蓝林钢. 浇注PBX力学性能的研究进展 [J]. 含能材料, 2013, 21(6): 812–817. doi: 10.3969/j.issn.1006-9941.2013.06.024TANG M F, LI M, LAN L G. Review on the mechanical properties of cast PBXs [J]. Chinese Journal of Energetic Materials, 2013, 21(6): 812–817. doi: 10.3969/j.issn.1006-9941.2013.06.024 [2] 李媛媛, 南海. 国外浇注PBX炸药在硬目标侵彻武器中的应用 [J]. 飞航导弹, 2012(11): 88–91.LI Y Y, NAN H. Application of foreign casting PBX explosive in hard target penetration weapons [J]. Cruise Missile, 2012(11): 88–91. [3] 吴会民, 卢芳云, 卢力, 等. 三种含能材料力学行为应变率效应的实验研究 [J]. 含能材料, 2004, 12(4): 40–43.WU H M, LU F Y, LU L, et al. Experimental studies on strain rate effects of mechanical behaviors of energetic materials [J]. Chinese Journal of Energetic Materials, 2004, 12(4): 40–43. [4] 韩小平, 张元冲, 沈亚鹏, 等. Comp. B复合炸药动态压缩力学性能和本构关系的研究 [J]. 实验力学, 1996, 11(3): 303–310.HAN X P, ZHANG Y C, SHEN Y P, et al. Dynamic behavior and constitutive model of Comp. B explosive [J]. Journal of Experimental Mechanics, 1996, 11(3): 303–310. [5] 罗景润. PBX的损伤、断裂及本构关系研究[D]. 绵阳: 中国工程物理研究院, 2001.LUO J R. Study on damage, fracture and constitutive relation of PBX [D]. Mianyang: China Academy of Engineering Physics, 2001. [6] MA X, LI X G, ZHENG X X, et al. Weak shock loadings induce potential hot spots formation around an intergranular pore [J]. Journal of Applied Physics, 2017, 121(11): 115102. doi: 10.1063/1.4978355 [7] MA X, LI X G, ZHENG X X, et al. Crack initiation and potential hot-spot formation around a cylindrical defect under dynamic compression [J]. Journal of Applied Physics, 2017, 122(18): 185104. doi: 10.1063/1.4998679 [8] 李英雷, 李大红, 胡时胜, 等. TATB钝感炸药本构关系的实验研究 [J]. 爆炸与冲击, 1999, 19(4): 353–359. doi: 10.3321/j.issn:1001-1455.1999.04.011LI Y L, LI D H, HU S S, et al. Experimental study on constitutive relation of TATB insensitive explosive [J]. Explosion and Shock Waves, 1999, 19(4): 353–359. doi: 10.3321/j.issn:1001-1455.1999.04.011 [9] 李俊玲, 卢芳云, 傅华, 等. 某PBX炸药的动态力学性能研究 [J]. 高压物理学报, 2011, 25(2): 159–164. doi: 10.11858/gywlxb.2011.02.012LI J L, LU F Y, FU H, et al. Research on the dynamic behavior of a PBX explosive [J]. Chinese Journal of High Pressure Physics, 2011, 25(2): 159–164. doi: 10.11858/gywlxb.2011.02.012 [10] TAN H. The cohesive law of particle/binder interfaces in solid propellants [J]. Progress in Propulsion Physics, 2011, 2: 59–66. [11] WANG J C, LUO J R. Predicting the effective elastic properties of polymer bonded explosives based on micromechanical methods [J]. Journal of Energetic Materials, 2018, 36(2): 211–222. doi: 10.1080/07370652.2017.1354098 [12] BENELFEKKAH A, FRACHON A, GRATTON M, et al. Analytical and numerical comparison of discrete damage models with induced anisotropy [J]. Engineering Fracture Mechanics, 2014, 121/122: 28–39. doi: 10.1016/j.engfracmech.2014.03.022 [13] PICART D, BENELFELLAH A, BRIGOLLE J L, et al. Characterization and modeling of the anisotropic damage of a high-explosive composition [J]. Engineering Fracture Mechanics, 2014, 131: 525–537. doi: 10.1016/j.engfracmech.2014.09.009 [14] 张馨予, 吴艳青, 黄风雷. PBX装药弹体侵彻混凝土薄板的数值模拟 [J]. 含能材料, 2018, 26(1): 101–108. doi: 10.11943/j.issn.1006-9941.2018.01.013ZHANG X Y, WU Y Q, HUANG F L. Numerical simulation on the dynamic damage of PBX charges filled in projectiles during penetrating thin concrete targets [J]. Chinese Journal of Energetic Materials, 2018, 26(1): 101–108. doi: 10.11943/j.issn.1006-9941.2018.01.013 [15] 石啸海, 余春祥, 戴开达, 等. 侵彻过程中弹头形状对PBX炸药损伤的影响 [J]. 弹箭与制导学报, 2019, 39(3): 81–85.SHI X H, YU C X, DAI K D, et al. The influence of nose shape to dynamic damage of PBX charge during the penetration process [J]. Journal of Projectiles, Rockets, Missiles and Guidance, 2019, 39(3): 81–85. [16] 石啸海, 戴开达, 陈鹏万, 等. 战斗部侵彻过程中PBX装药动态损伤数值模拟 [J]. 中国测试, 2016, 42(10): 138–142. doi: 10.11857/j.issn.1674-5124.2016.10.026SHI X H, DAI K D, CHEN P W, et al. Numerical simulation of dynamic damage of PBX charge during the warhead penetration process [J]. China Measurement and Test, 2016, 42(10): 138–142. doi: 10.11857/j.issn.1674-5124.2016.10.026 [17] 成丽蓉, 汪德武, 贺元吉. 侵彻单层和多层靶时战斗部装药损伤及热点生成机理研究 [J]. 兵工学报, 2020, 41(1): 32–39. doi: 10.3969/j.issn.1000-1093.2020.01.004CHENG L R, WANG D W, HE Y J. Research on the damage and hot-spot generation in explosive charges during penetration into single- or multi-layer target [J]. Acta Armamentarii, 2020, 41(1): 32–39. doi: 10.3969/j.issn.1000-1093.2020.01.004 [18] LI X, LIU Y Z, SUN Y. Dynamic mechanical damage and non-shock initiation of a new polymer bonded explosive during penetration [J]. Polymers, 2020, 12(6): 1342. doi: 10.3390/polym12061342 [19] YANG K, WU Y Q, HUANG F L. Damage and hotspot formation simulation for impact-shear loaded PBXs using combined microcrack and microvoid model [J]. European Journal of Mechanics-A/Solids, 2020, 80: 103924. doi: 10.1016/j.euromechsol.2019.103924 [20] YANG K, WU Y Q, HUANG F L. Microcrack and microvoid dominated damage behaviors for polymer bonded explosives under different dynamic loading conditions [J]. Mechanics of Materials, 2019, 137: 103130. doi: 10.1016/j.mechmat.2019.103130 [21] DANCYGIER A N. Concrete strength effect on penetration and perforation resistance to impact of non-deforming projectiles [C]//8th International Symposium on Plasticity and Impact Mechanics. Delhi, India, 2003: 826–832. -

下载: