Influence of Joint Geometrical Parameters on Mechanical Properties of Rock Mass
-
摘要: 岩体作为由完整岩块和节理组成的离散介质,其力学行为主要取决于节理的几何和力学特征,探明节理对岩体力学行为的影响具有重要的学术价值和工程意义。利用PFC2D软件,建立了人工合成岩体模型(SRM),研究了单轴压缩条件下节理几何参数对岩体力学强度指标和破坏模式等岩体力学特征的影响。通过正交实验分析,探讨了各节理几何参数对岩体强度指标的显著性影响。结果表明:当节理倾角为10°~50°时,节理长度、节理倾角、节理间距以及岩桥长度对岩体单轴压缩强度和弹性模量具有显著影响;当节理倾角为50°~90°时,岩桥长度对岩体单轴压缩强度和弹性模量的影响不明显;节理阶梯角在整个节理倾角范围内对岩体的单轴压缩强度和弹性模量没有显著影响。岩体破坏模式主要受节理倾角和节理阶梯角影响。研究结果可为岩体工程稳定性分析及支护方案设计提供借鉴。Abstract: Rock mass is a discontinuous medium composed of intact rock and joints, whose mechanical properties are mainly determined by the geometrical and mechanical characteristics of joint. It is significantly valuable to explore the influence of joint on the mechanical behaviors of rock mass. In this paper, a synthetic rock mass model (SRM) is established by PFC2D software at first. Then the influence of joint geometrical parameters on rock mass mechanical properties, such as the strength indices and failure modes under uniaxial compression are studied. Through the orthogonal experimental analysis, the influence of the joint geometrical parameter on the strength index of rock mass is discussed. The analysis results show that when the joint dip angle is between 10° and 50°, the joint length, dip angle, spacing and rock bridge length have significant effect on the uniaxial compressive strength and elastic modulus of rock mass. When the joint dip angle is between 50° and 90°, the influence of the rock bridge length on the uniaxial compressive strength and elastic modulus of rock mass is not significant. The joint step angle has no significant influence on the uniaxial compressive strength and elastic modulus of rock mass no matter how much the joint dip angle is. The failure mode of rock mass is mainly affected by the joint dip angle and step angle. The research results provide valuable reference for the stability analysis of rock mass and the support design.
-
表 1 颗粒和平直节理模型的细观参数
Table 1. Meso parameters of particle and flat-joint model
$\,\rho /$
(g·${\rm{cm} }{^{-3}}$)${R}{_{\rm{min} } }/{\rm{mm} }$ ${R}{_{\rm{max} }}/{R}{_{\rm{min} }}$ ${\overline {E} }{_{\rm{c} }}/$GPa ${\sigma }{_{\rm{c} }}/$MPa $ c/ $MPa ${\overline {k} }{^{\rm{n} }}/{\overline {k} }{^{\rm{s} } }$ $ \overline {\mu } $ $ \overline {\varphi } $/(°) 2.1 1.5 1.5 2.31 1.52 ± 0.38 1.52 ± 0.38 2.5 0.38 20 表 2 数值模型和实际物理模型的宏观参数对比
Table 2. Comparison of macro parameters between numerical and physical model
Method ${\sigma }{_{\rm{u} }}$/MPa E/GPa $ \nu $ Numerical 3.88 2.42 0.15 Experimental[17] 3.84 2.40 Relative error/% 1.04 0.83 表 3 光滑节理模型的宏观参数标定值和物理实验值对比
Table 3. Comparison between the calibrated and the tested macro parameters for smooth-joint model
Method ${\overline {\mu } }{_{\rm{j} }}$ ${k}{_{ {\rm{n} }{\rm{j} } }}$/(GPa·m−1) ${k}{_{ {\rm{s} }{\rm{j} } }}$/(GPa·m−1) Numerical 0.65 1.64 22.04 Experimental[17] 0.65 1.60 22.00 Relative error/% 0 2.50 0.18 表 4 因数水平表
Table 4. Factor level table
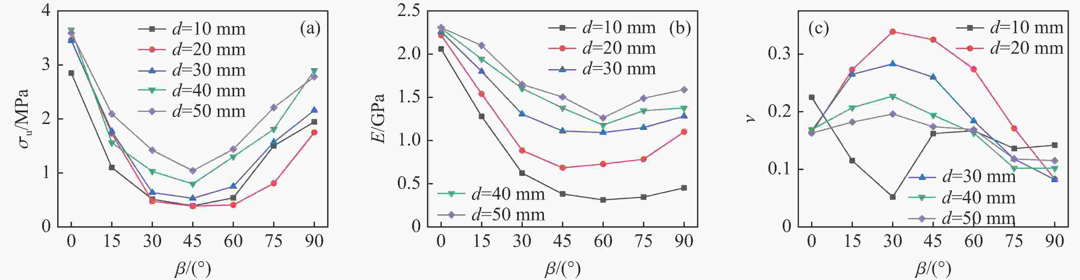
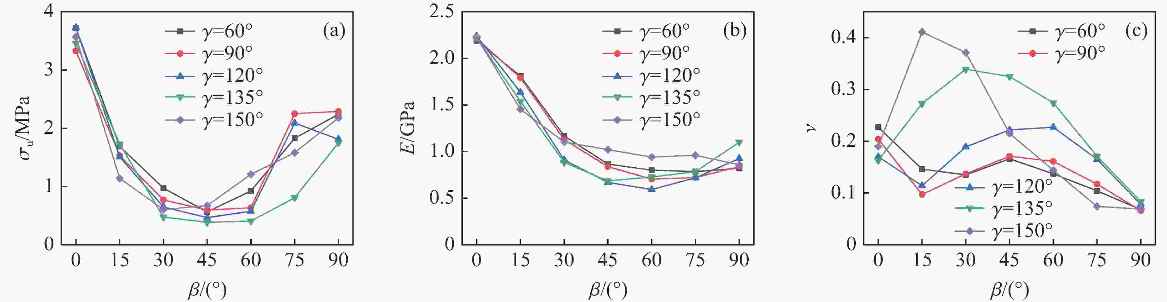
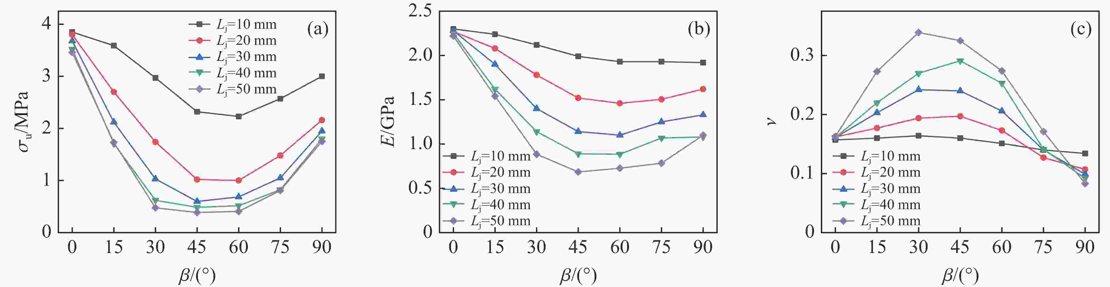
Joint geometrical parameters Factor levels 1 2 3 4 5 $\,\beta /$(°) 10(50) 20(60) 30(70) 40(80) 50(90) ${L}{_{\rm{j} }}/{\rm{mm} }$ 10 20 30 40 50 ${L}{_{\rm{r} }}/{\rm{mm} }$ 10 20 30 40 50 $ d/{\rm{mm}} $ 10 20 30 40 50 $ \gamma / $(°) 60 75 90 105 120 表 5 实验设计及结果(
$ \,\beta $ 为10°~50°)Table 5. Experimental design and results (
$ \,\beta $ : 10°–50°)No. $\,\beta /\left(^{\circ }\right)$ ${L}{_{\rm{j} }}/{\rm{mm} }$ ${L}{_{\rm{r} }}/{\rm{mm} }$ $ d/{\rm{mm}} $ $\gamma /\left(^{\circ }\right)$ m ${\sigma }{_{\rm{u} }}$/MPa E/GPa $ \nu $ 1 10 10 10 10 60 1 2.91 2.07 0.200 2 10 20 30 40 120 2 3.72 2.29 0.158 3 10 30 50 20 105 3 3.28 2.20 0.163 4 10 40 20 50 90 4 2.71 2.22 0.163 5 10 50 40 30 75 5 2.64 2.17 0.175 6 20 10 50 40 90 5 3.76 2.32 0.153 7 20 20 20 20 75 1 2.28 2.11 0.175 8 20 30 40 50 60 2 2.79 2.16 0.164 9 20 40 10 30 120 3 1.06 1.64 0.222 10 20 50 30 10 105 4 0.88 1.14 0.080 11 30 10 40 20 120 4 3.65 2.24 0.153 12 30 20 10 50 105 5 1.99 2.00 0.175 13 30 30 30 30 90 1 1.96 1.91 0.164 14 30 40 50 10 75 2 0.76 1.12 0.222 15 30 50 20 40 60 3 0.95 1.56 0.080 16 40 10 30 50 75 3 3.49 2.27 0.153 17 40 20 50 30 60 4 2.14 1.99 0.164 18 40 30 20 10 120 5 0.69 0.75 0.151 19 40 40 40 40 105 1 1.92 1.03 0.131 20 40 50 10 20 90 2 0.54 0.67 0.224 21 50 10 20 30 105 2 2.93 2.09 0.153 22 50 20 40 10 90 3 1.00 1.36 0.172 23 50 30 10 40 75 4 1.53 1.42 0.065 24 50 40 30 20 60 5 1.06 1.20 0.168 25 50 50 50 50 120 1 1.10 1.53 0.231 表 6 实验设计及结果(
$ \,\beta $ 为50°~90°)Table 6. Experimental design and results (
$ \,\beta $ : 50°–90°)No. $\,\beta /\left(^{\circ }\right)$ ${L}{_{\rm{j} } }/{\rm{mm} }$ ${L}{_{\rm{r} }}/{\rm{mm} }$ $ d/{\rm{mm}} $ $ \gamma /\left(^{\circ }\right) $ m ${\sigma }{_{\rm{u} }}$/MPa E/GPa $ \nu $ 1 50 10 10 10 60 1 1.66 1.53 0.165 2 50 20 30 40 120 2 2.42 1.97 0.155 3 50 30 50 20 105 3 1.01 1.55 0.124 4 50 40 20 50 90 4 1.87 1.59 0.164 5 50 50 40 30 75 5 1.03 1.14 0.148 6 60 10 50 40 90 5 3.36 2.24 0.150 7 60 20 20 20 75 1 2.03 1.54 0.116 8 60 30 40 50 60 2 1.54 1.82 0.220 9 60 40 10 30 120 3 0.79 1.03 0.188 10 60 50 30 10 105 4 0.32 0.35 0.276 11 70 10 40 20 120 4 2.54 2.05 0.141 12 70 20 10 50 105 5 2.58 1.73 0.141 13 70 30 30 30 90 1 1.64 1.52 0.115 14 70 40 50 10 75 2 1.74 0.62 0.110 15 70 50 20 40 60 3 1.56 1.24 0.113 16 80 10 30 50 75 3 3.74 2.21 0.146 17 80 20 50 30 60 4 2.74 1.95 0.134 18 80 30 20 10 120 5 1.47 0.53 0.078 19 80 40 40 40 105 1 2.59 1.58 0.123 20 80 50 10 20 90 2 2.19 0.68 0.101 21 90 10 20 30 105 2 2.94 2.05 0.141 22 90 20 40 10 90 3 2.15 1.12 0.083 23 90 30 10 40 75 4 2.70 1.44 0.106 24 90 40 30 20 60 5 2.31 1.10 0.081 25 90 50 50 50 120 1 2.53 1.77 0.125 表 7 节理参数对岩体力学特征影响的显著性分析
Table 7. Significance analysis of joint parameter effect on mechanical properties of rock mass
Factor 10° ≤ $\, \beta $< 50° 50° ≤ $\, \beta $ ≤ 90° ${F}{_{ {\sigma }_{\rm u} }}$ ${F}{_{E}}$ ${F}{_{\nu }}$ ${F}{_{ {\sigma }_{\rm u} }}$ ${F}{_{E}}$ ${F}{_{\nu }}$ $\,\beta$ 40.69** 25.98** 0.06 13.43* 0.51 4.03 ${L}{_{\rm{j} }}$ 77.84** 27.42** 0.40 18.48** 17.39** 0.55 Lr 11.28* 2.67 0.63 1.05 2.03 0.67 $ d $ 26.04** 20.87** 1.11 11.95* 16.65** 1.13 $ \gamma $ 1.10 0.96 0.47 1.84 0.21 0.73 Note: Superscript “*” and “**” represent significant and extremely significant, respectively. 表 8 节理几何参数与岩体力学特征之间的回归方程
Table 8. Regression equations between joint geometrical parameters and rock mass mechanical properties
$\,\beta$/(°) Fitting formula ${R}{^{2} }$ 10−50 ${\sigma }{_{\rm{u} }}$ = 3.257 − 0.345$ {\,\beta' } $ − 0.498${L'}{_{\rm{j} } }$ + 0.169${L'}{_{\rm{r} }}$ + 0.255$ {d'} $ + 0.021$ {\gamma '} $ 0.841 E = 2.386 − 0.187$ {\,\beta '} $ − 0.208${L'}{_{\rm{j} } }$ + 0.059${L'}{_{\rm{r} } }$ + 0.154$ {d'} $ − 0.034$ {\gamma '} $ 0.818 50−90 ${\sigma }{_{\rm{u} }}$ = 2.103 + 0.017${\,\beta '}$ − 0.455${L'}{_{\rm{j} } }$ + 0.093${L'}{_{\rm{r} } }$ + 0.289$ {d'} $ − 0.067$ {\gamma '} $ 0.799 E = 1.598 − 0.015${\,\beta '}$ − 0.269${L'}{_{\rm{j} } }$ + 0.064${L'}{_{\rm{r} } }$ + 0.189$ {d'} $ − 0.020$ {\gamma '} $ 0.891 Note: The units of ${\sigma }{_{\rm{u} }}$ and E are MPa and GPa, respectively. -
[1] 蔡美峰. 岩石力学与工程[M]. 北京: 科学出版社, 2002: 84−89.CAI M F. Rock mechanics and engineering [M]. Beijing: Science Press, 2002: 84−89. [2] BAHRANI N, KAISER P K. Numerical investigation of the influence of specimen size on the unconfined strength of defected rocks [J]. Computers and Geotechnics, 2016, 77: 56–67. doi: 10.1016/j.compgeo.2016.04.004 [3] BRIDEAU M A, YAN M, STEAD D. The role of tectonic damage and brittle rock fracture in the development of large rock slope failures [J]. Geomorphology, 2009, 103(1): 30–49. doi: 10.1016/j.geomorph.2008.04.010 [4] MAS IVARS D, PIERCE M E, DARCEL C, et al. The synthetic rock mass approach for jointed rock mass modelling [J]. International Journal of Rock Mechanics and Mining Sciences, 2011, 48(2): 219–244. doi: 10.1016/j.ijrmms.2010.11.014 [5] YANG X L, YIN J H. Linear Mohr-Coulomb strength parameters from the non-linear Hoek-Brown rock masses [J]. International Journal of Non-Linear Mechanics, 2006, 41(8): 1000–1005. doi: 10.1016/j.ijnonlinmec.2006.08.003 [6] 咸玉席, 刘志远, 张俊江, 等. 三向围压下碳酸盐岩的动态力学试验 [J]. 高压物理学报, 2019, 33(2): 024201. doi: 10.11858/gywlxb.20180667XIAN Y X, LIU Z Y, ZHANG J J, et al. Experimental study on dynamic mechanics of carbonate rock under triaxial confining pressure [J]. Chinese Journal of High Pressure Physics, 2019, 33(2): 024201. doi: 10.11858/gywlxb.20180667 [7] 伍杨, 张先锋, 徐晨阳, 等. 岩石材料冲击开坑行为研究 [J]. 高压物理学报, 2017, 31(5): 603–612. doi: 10.11858/gywlxb.2017.05.014WU Y, ZHANG X F, XU C Y, et al. Deformation of rock material target under high velocity impact [J]. Chinese Journal of High Pressure Physics, 2017, 31(5): 603–612. doi: 10.11858/gywlxb.2017.05.014 [8] POTYONDY D O, CUNDALL P A. A bonded-particle model for rock [J]. International Journal of Rock Mechanics and Mining Sciences, 2004, 41(8): 1329–1364. doi: 10.1016/j.ijrmms.2004.09.011 [9] CUNDALL P A. A discrete numerical model for granular assemblies, numerical model for granular assemblies [J]. Géothechnique, 2008, 29(30): 331–336. [10] 陈新, 李东威, 王莉贤, 等. 单轴压缩下节理间距和倾角对岩体模拟试件强度和变形的影响研究 [J]. 岩土工程学报, 2014, 36(12): 2236–2245. doi: 10.11779/CJGE201412011CHEN X, LI D W, WANG L X, et al. Experimental study on effect of spacing and inclination angle of joints on strength and deformation properties of rock masses under uniaxial compression [J]. Chinese Journal of Geotechnical Engineering, 2014, 36(12): 2236–2245. doi: 10.11779/CJGE201412011 [11] BAHAADDINI M, HAGAN P C, MITRA R, et al. Parametric study of smooth joint parameters on the shear behaviour of rock joints [J]. Rock Mechanics and Rock Engineering, 2015, 48(3): 923–940. doi: 10.1007/s00603-014-0641-6 [12] BAHAADDINI M, SHARROCK G, HEBBLEWHITE B K. Numerical investigation of the effect of joint geometrical parameters on the mechanical properties of a non-persistent jointed rock mass under uniaxial compression [J]. Computers and Geotechnics, 2013, 49: 206–225. doi: 10.1016/j.compgeo.2012.10.012 [13] BAHAADDINI M, SHEIKHPOURKHANI A M, MANSOURI H. Flat-joint model to reproduce the mechanical behaviour of intact rocks [J]. European Journal of Environmental and Civil Engineering, 2021, 25(8): 1427–1448. doi: 10.1080/19648189.2019.1579759 [14] WANG C L, ZHANG C S, LI Y, et al. Numerical investigation of the mechanical properties of coal masses with T-junctions cleat networks under uniaxial compression [J]. International Journal of Coal Geology, 2019, 202: 128–146. doi: 10.1016/j.coal.2018.12.005 [15] CHEN M, YANG S Q, RANJITH P G, et al. Cracking behavior of rock containing non-persistent joints with various joints inclinations [J]. Theoretical and Applied Fracture Mechanics, 2020, 109: 102701. doi: 10.1016/j.tafmec.2020.102701 [16] VERGARA M R, VAN SINT JAN M, LORIG L. Numerical model for the study of the strength and failure modes of rock containing non-persistent joints [J]. Rock Mechanics and Rock Engineering, 2016, 49(4): 1211–1226. doi: 10.1007/s00603-015-0824-9 [17] PRUDENCIO M, VAN SINT JAN M. Strength and failure modes of rock mass models with non-persistent joints [J]. International Journal of Rock Mechanics and Mining Sciences, 2007, 44(6): 890–902. doi: 10.1016/j.ijrmms.2007.01.005 [18] 陈鹏宇, 余宏明. 平直节理黏结颗粒材料宏细观参数关系及细观参数的标定 [J]. 土木建筑与环境工程, 2016, 38(5): 74–84. doi: 10.11835/j.issn.1674-4764.2016.05.010CHEN P Y, YU H M. Relationship between macroparameters and microparameters of flat-jointed bonded-particle material and calibration of microparameters [J]. Journal of Civil, Architectural & Environmental Engineering, 2016, 38(5): 74–84. doi: 10.11835/j.issn.1674-4764.2016.05.010 [19] 夏露, 刘晓非, 于青春. 基于块体化程度确定裂隙岩体表征单元体 [J]. 岩土力学, 2010, 31(12): 3991–3996, 4005. doi: 10.3969/j.issn.1000-7598.2010.12.047XIA L, LIU X F, YU Q C. Determining representative elementary volume of fractured rock mass based on blockiness analysis [J]. Rock and Soil Mechanics, 2010, 31(12): 3991–3996, 4005. doi: 10.3969/j.issn.1000-7598.2010.12.047 -

下载:











