Dynamic Response of Aluminum Foam Filled Pipes under Lateral Explosive Load
-
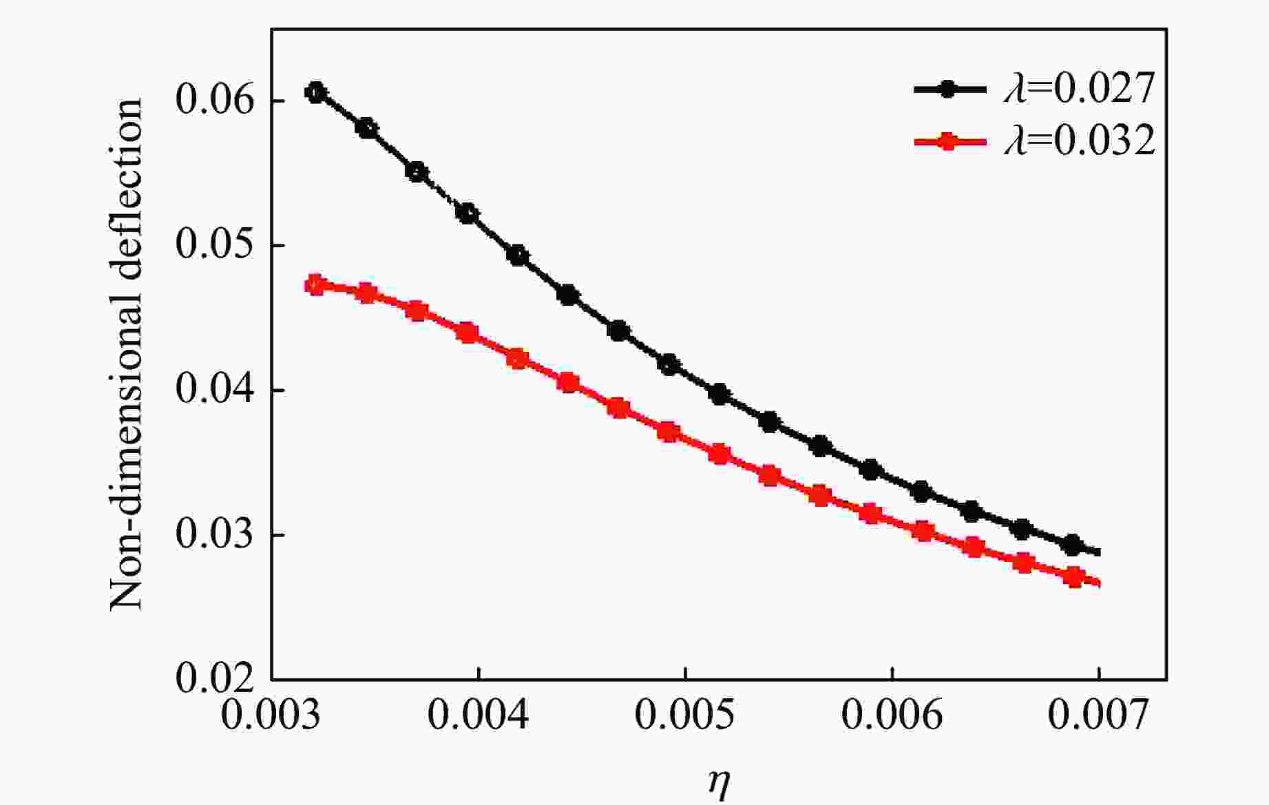
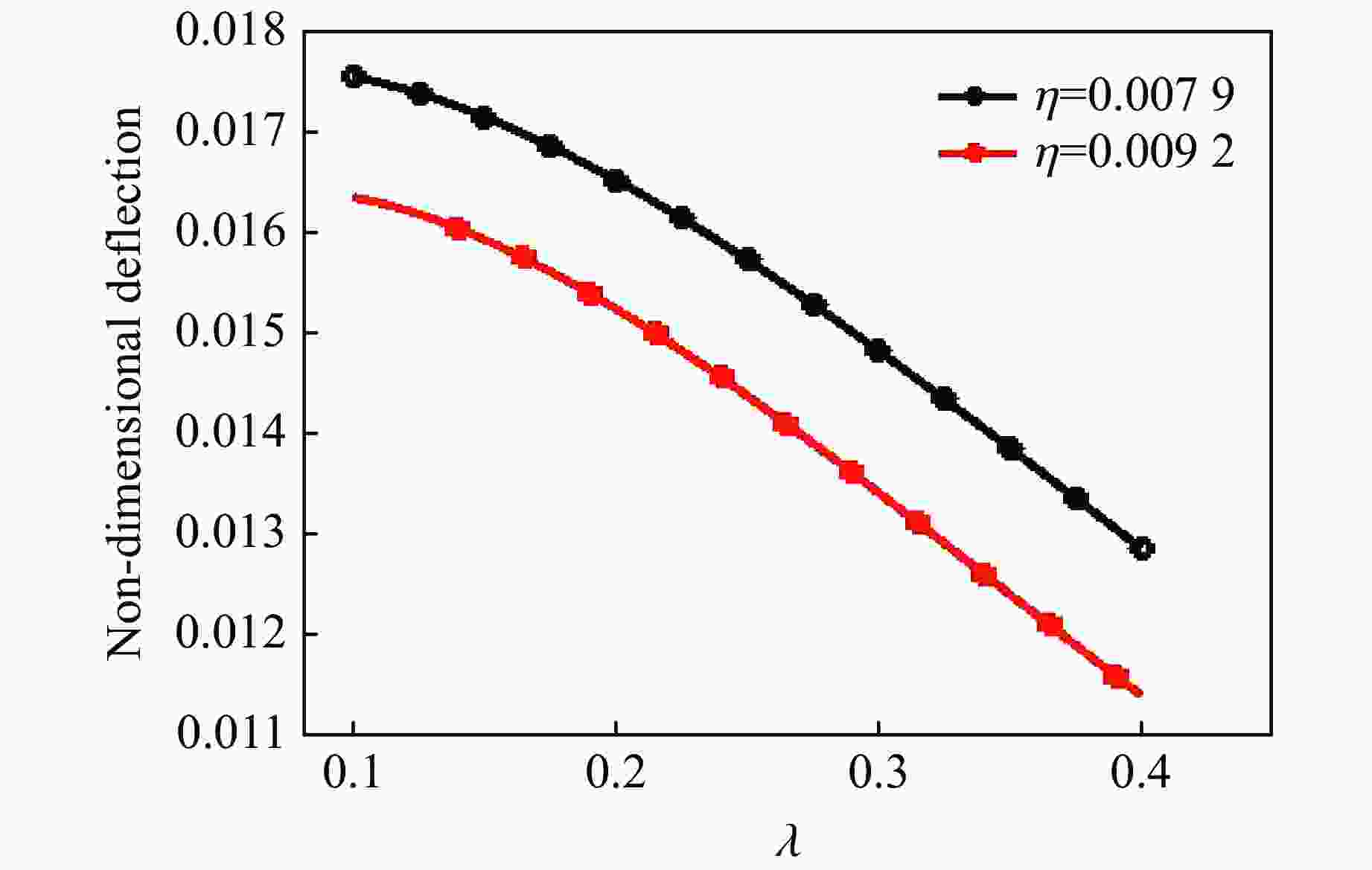
摘要: 采用数值模拟与理论分析相结合的方法,研究横向爆炸载荷下泡沫铝填充管的动态响应。利用有限元软件ABAQUS/EXPLICIT对横向爆炸载荷下泡沫铝填充管的塑性变形进行了数值模拟研究,分析了泡沫铝的相对密度、外管的直径与壁厚等因素对结构动态响应的影响。基于理想刚塑性地基梁模型,结合模态分析法,建立了预测横向爆炸载荷下泡沫铝填充管跨中挠度的理论分析模型,并进行了无量纲分析,给出了跨中无量纲挠度随无量纲冲量的变化规律。泡沫铝填充管跨中挠度的理论预测与数值模拟结果的误差在20%以内,表明所建立的理论分析模型合理可行。泡沫铝相对密度对横向爆炸载荷下填充管的跨中挠度有较大的影响,随着泡沫铝相对密度的增大,填充管跨中挠度减小。随着外管直径与壁厚的增大,跨中挠度减小。理论分析中,假设的两种模态函数对填充管跨中挠度的影响较小。Abstract: A combination of numerical simulation and theoretical analysis is used to study the dynamic response of foamed aluminum filled pipes under lateral explosion loads. The finite element software ABAQUS/EXPLICIT was used to carry out a numerical simulation study on the plastic deformation of the aluminum foam-filled tube under lateral explosive load, and the influence of the relative density of the foam aluminum, the diameter and wall thickness of the outer tube and other factors on the dynamic response of the structure was analyzed. Based on the ideal rigid-plastic foundation beam model, combined with the modal analysis method, a theoretical analysis model for predicting the mid-span deflection of the foamed aluminum filled pipe under lateral explosive load is established, and a dimensionless analysis is carried out. The change of the dimensionless deflection of the mid-span with the elementary impulse is obtained. The error between the theoretical prediction and the numerical simulation result of the foamed aluminum filled pipe mid-span deflection is within 20%, indicating that the established theoretical analysis model is reasonable and feasible. The relative density of foamed aluminum has a great influence on the mid-span deflection of the filled pipe under lateral explosive load. As the relative density of foamed aluminum increases, the mid-span deflection of the filled pipe decreases. As the diameter and wall thickness of the outer tube increase, the mid-span deflection decreases. The two modal functions assumed in the theoretical analysis have little effect on the mid-span deflection of the filled pipe.
-
Key words:
- beam-on-founding /
- transverse explosion load /
- aluminum foam filled pipe /
- modal solution
-
Relative density/% Density/(kg·m−3) $\mu $ ${\sigma {_ {\rm{s}}} }$/MPa E/GPa 8 220.8 0.33 2.81 0.9 12 331.2 0.33 4.52 1.9 20 552.0 0.33 7.99 5.7 表 2 实心泡沫铝填充管跨中挠度的模态解与数值模拟结果对比
Table 2. Comparison of mid-span deflection of foamed aluminum filled tubes of modal solutions and numerical simulation results
d1/mm h/mm Relative density/% Wtheor/mm Wsim/mm $\dfrac{W{_{ {\rm{sim} } } }-W{_{ {\rm{theor} } } } }{W{_{ {\rm{theor} } } } } \Big/\text{%}$ 76 0.7 8 3.0 3.1 3 12 1.6 1.7 6 20 0.7 0.8 14 0.8 8 2.8 2.9 4 12 1.4 1.5 7 20 0.6 0.7 17 89 0.7 8 2.5 2.7 8 12 1.3 1.4 8 20 0.5 0.6 20 0.8 8 2.3 2.3 0 12 1.2 1.2 0 20 0.5 0.5 0 表 3 两种模态函数跨中挠度的对比
Table 3. Comparison of mid-span deflection corresponding to two modal functions
d1/mm h/mm Relative density/% W/mm Relative error/% ${ {\phi^*{_2} }(x)=1-2x/L}$ ${\phi^*{_2}(x)={\rm{cos} }(\text{π}x/L)}$ 76 0.7 8 3.0 2.8 −7 12 1.6 1.4 −13 20 0.7 0.6 −14 0.8 8 2.8 2.6 −7 12 1.4 1.4 0 20 0.6 0.6 0 89 0.7 8 2.5 2.4 −4 12 1.3 1.2 −8 20 0.5 0.5 0 0.8 8 2.3 2.2 −4 12 1.2 1.1 −8 20 0.5 0.5 0 -
[1] HENRYCH J. The dynamics of explosion and its use [M]. New York: Elsevier Scientific Publishing Company, 1979. [2] WIERZBICKI T, HOO F, MICHELLE S. Damage assessment of cylinders due to impact and explosive loading [J]. International Journal of Impact Engineering, 1993, 13(2): 215–241. doi: 10.1016/0734-743X(93)90094-N [3] 于博丽, 冯根柱, 李世强, 等. 横向爆炸载荷下薄壁圆管的动态响应 [J]. 爆炸与冲击, 2019, 39(10): 103101. doi: 10.11883/bzycj-2018-0295YU B L, FENG G Z, LI S Q, et al. Dynamic response of thin-wall circular tubes under transverse blast loading [J]. Explosion and Shock Waves, 2019, 39(10): 103101. doi: 10.11883/bzycj-2018-0295 [4] LI S Q, YU B L, KARAGIOZOVA D, et al. Experimental, numerical, and theoretical studies of the response of short cylindrical stainless steel tubes under lateral air blast loading [J]. International Journal of Impact Engineering, 2019, 124: 48–60. doi: 10.1016/j.ijimpeng.2018.10.004 [5] BROCHARD K, LE SOURNE H, BARRAS G. Extension of the string-on-foundation method to study the shock wave response of an immersed cylinder [J]. International Journal of Impact Engineering, 2018, 117: 138–152. doi: 10.1016/j.ijimpeng.2018.03.007 [6] YUEN S C K, NURICK G N, BRINCKMANN H B, et al. Response of cylindrical shells to lateral blast load [J]. International Journal of Protective Structures, 2013, 4(3): 209–230. doi: 10.1260/2041-4196.4.3.209 [7] KARAGIOZOVA D, YU T X, LU G, et al. Response of a circular metallic hollow beam to an impulsive loading [J]. Thin-Walled Structures, 2014, 80: 80–90. doi: 10.1016/j.tws.2014.02.021 [8] WALTERS R M, JONES N. An approximate theoretical study of the dynamic plastic behavior of shells [J]. International Journal of Non-Linear Mechanics, 1972, 7(3): 255–273. doi: 10.1016/0020-7462(72)90049-2 [9] WANG Y, QIAN X D, LIEW J Y R, et al. Impact of cement composite filled steel tubes: an experimental, numerical and theoretical treatise [J]. Thin-Walled Structures, 2015, 87: 76–88. doi: 10.1016/j.tws.2014.11.007 [10] HALL I W, GUDEN M, CLAAR T D. Transverse and longitudinal crushing of aluminum-foam filled tubes [J]. Scripta Materialia, 2002, 46(7): 513–518. doi: 10.1016/S1359-6462(02)00024-6 [11] WANG H W, WU C Q, ZHANG F R, et al. Experimental study of large-sized concrete filled steel tube columns under blast load [J]. Construction and Building Materials, 2017, 134: 131–141. doi: 10.1016/j.conbuildmat.2016.12.096 [12] ZHANG F R, WU C Q, WANG H W, et al. Numerical simulation of concrete filled steel tube columns against blast loads [J]. Thin-Walled Structures, 2015, 92: 82–92. doi: 10.1016/j.tws.2015.02.020 [13] YOUSUF M, UY B, TAO Z, et al. Transverse impact resistance of hollow and concrete filled stainless steel columns [J]. Journal of Constructional Steel Research, 2013, 82: 177–189. doi: 10.1016/j.jcsr.2013.01.005 [14] 邓旭辉, 王达锋. 近爆作用下中空夹层超高性能钢管混凝土柱的抗爆性能 [J]. 高压物理学报, 2020, 34(6): 065201.DENG X H, WANG D F. Anti-blast performance of ultra-high performance concrete-filled double steel tubes under close-in blast loading [J]. Chinese Journal of High Pressure Physics, 2020, 34(6): 065201. [15] COLE R H, WELLER R. Underwater explosions [J]. Physics Today, 1948, 1(6): 35. doi: 10.1063/1.3066176 [16] KARAGIOZOVA D, NURICK G N, LANGDON G S. Behaviour of sandwich panels subject to intense air blasts–Part 2: numerical simulation [J]. Composite Structures, 2009, 91(4): 442–450. doi: 10.1016/j.compstruct.2009.04.010 [17] 刘志芳, 王军, 秦庆华. 横向冲击载荷下泡沫铝夹芯双圆管的吸能研究 [J]. 兵工学报, 2017, 38(11): 2259–2267. doi: 10.3969/j.issn.1000-1093.2017.11.024LIU Z F, WANG J, QIN Q H. Research on energy absorption of aluminum foam-filled double circular tubes under lateral impact loadings [J]. Acta Armamentarii, 2017, 38(11): 2259–2267. doi: 10.3969/j.issn.1000-1093.2017.11.024 [18] 余同希, 华云龙. 结构塑性动力学引论[M]. 合肥: 中国科学技术大学出版社, 1994: 88–89.YU T X, HUA Y L. Introduction to structural plasticity dynamics [M]. Hefei: University of Science and Technology of China Press, 1994: 88–89. -

下载:

