Numerical Simulation of Ballistic Stability of Split Penetrator Penetrating Steel Target
-
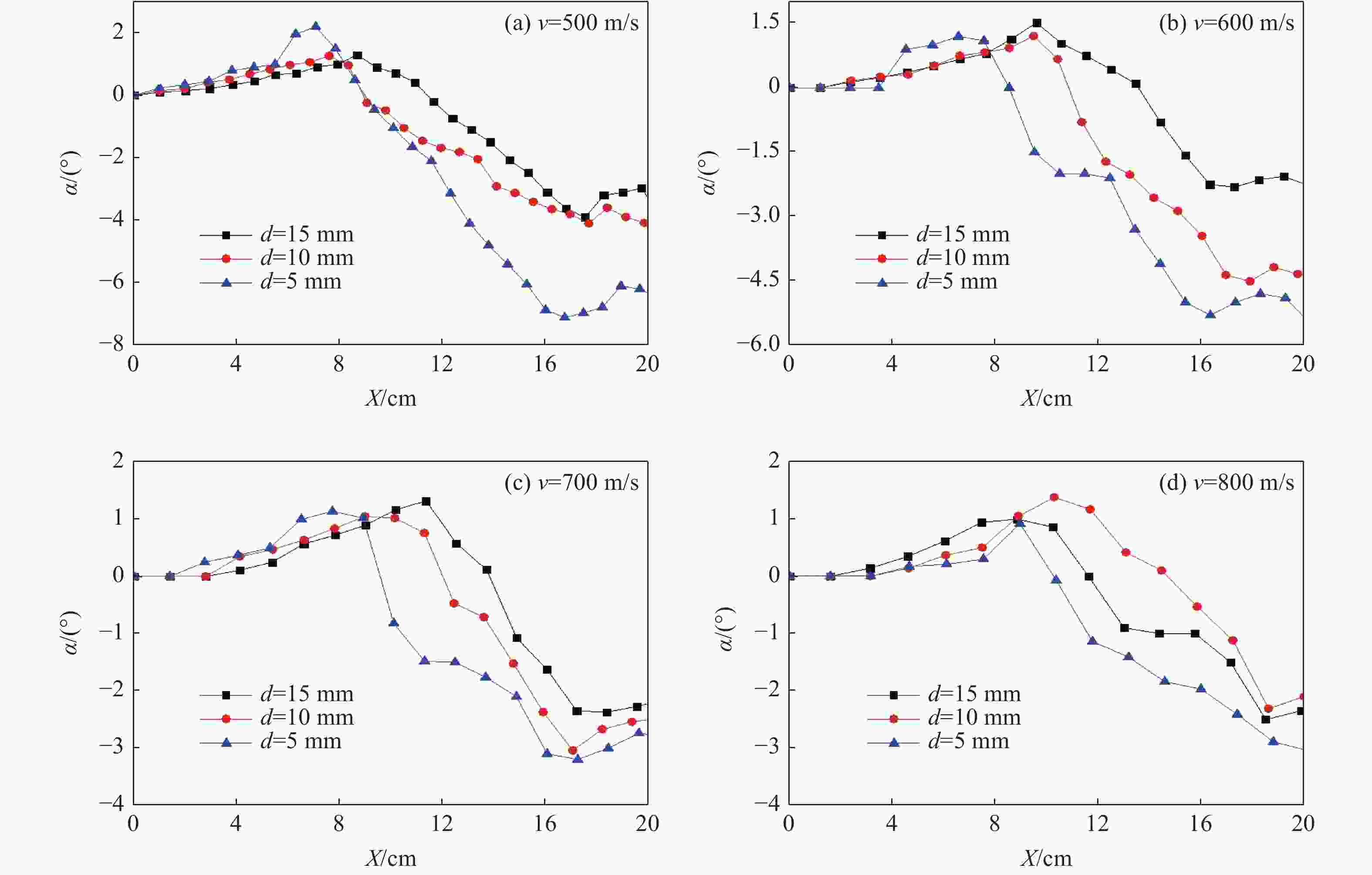
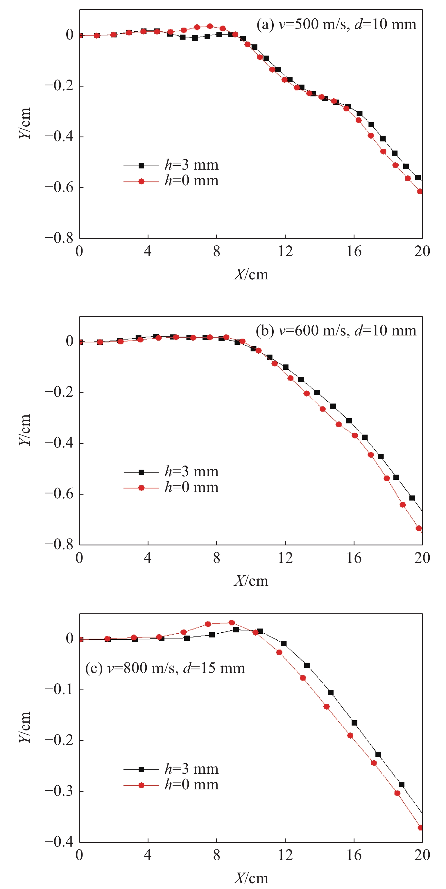
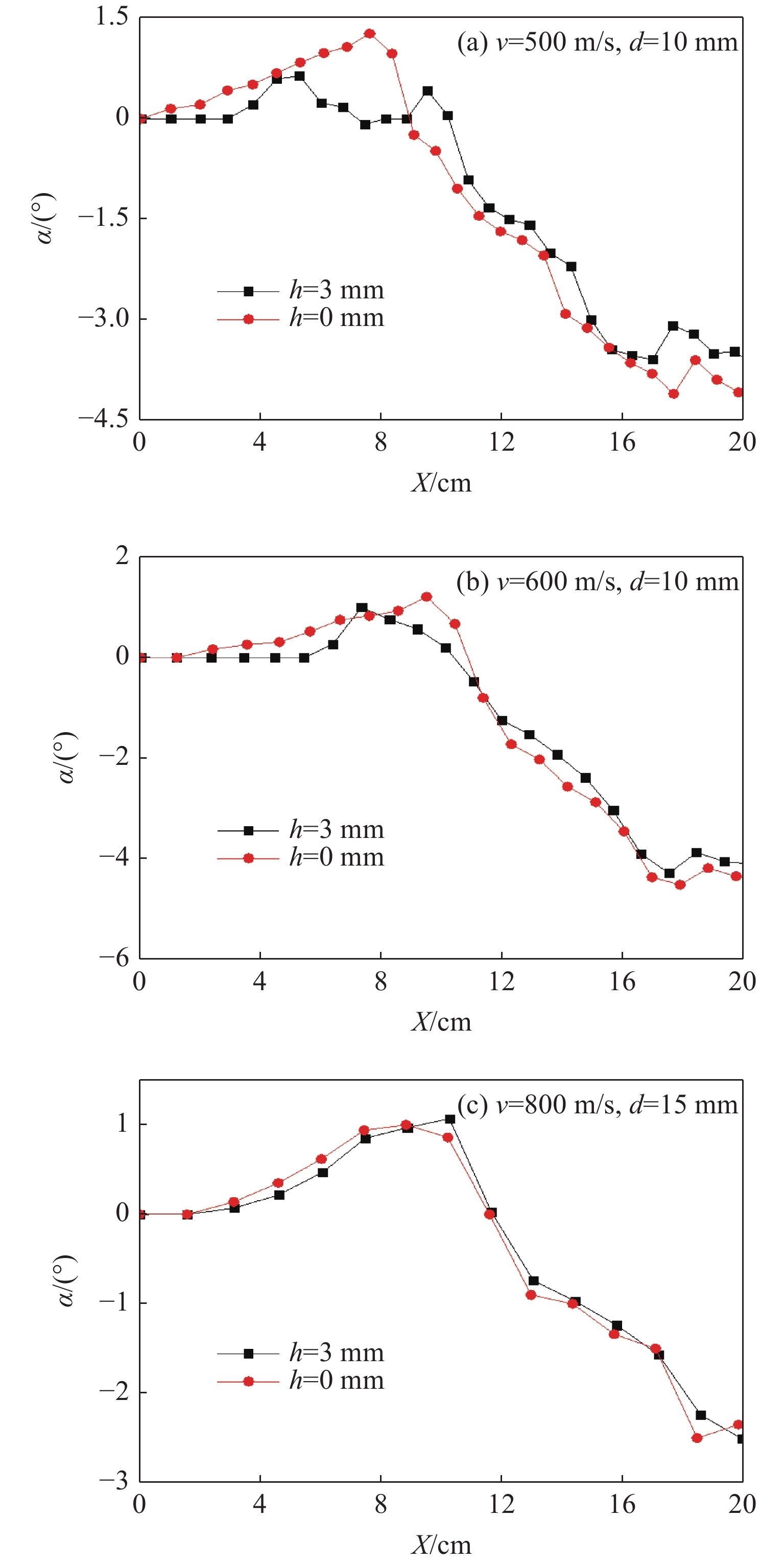
摘要: 为提升弹体侵彻钢靶的弹道稳定性,设计了一种分体式侵彻体,运用LS-DYNA数值模拟得到了分体式侵彻体以不同着速、15°着角斜侵彻14 mm厚单层圆钢靶的弹道变化规律,讨论了前导体头部厚度和前导体安装间隙对弹体俯仰角和弹道偏移的影响机制。结果表明:分体式侵彻体可有效提升侵彻弹道稳定性;着速为500~700 m/s时,前导体头部厚度越大,弹体俯仰角度和弹道偏移越小,着速为800 m/s时,前导体头部厚度适中的弹体俯仰角和弹道偏移最小;前导体安装间隙能在特定工况下减少8%~12%的弹道偏转。这是由于低速侵彻时前导体未完全破坏,应力波的衰减程度随头部厚度的增加而增加;高速侵彻时前导体逐渐破损至完全破坏,可以最大程度地吸收撞击能量,提升弹道稳定性的效果最佳。增加前导体安装间隙可提升低速侵彻或头部厚度较大的前导体的破损程度。Abstract: In order to improve the trajectory stability of the projectile penetrating the steel target, a split penetrator was designed. Through LS-DYNA simulation, the trajectory variation rule of the split penetrator penetrating 14 mm-thick single-layer round steel target at obliquely 15° and different speeds was obtained. The influence of both the thickness and the installation gap of the protective shell on the pitch angle and trajectory deviation of the projectile were also discussed. The results showed that the split penetrator can effectively improve the penetration trajectory stability. When the penetrator speed is 500–700 m/s, the greater the thickness of the protective shell head, the smaller the pitch angle of the projectile and the trajectory deviation. When the penetrator speed is 800 m/s, the deflection angle and trajectory deviation of the projectile with a moderate thickness of the protective shell keep at the minimum. Besides, the installation gap of the protective shell can reduce the deflection of the trajectory by 8%–12% under specific working conditions. This is because when penetrating at low speed, the protective shell is not completely destroyed, and the attenuation of the stress wave increases with the thickness of the head, while at high speed the protective shell is gradually broken to a complete destruction to absorb the impact energy to the greatest extent and improve to the best ballistic stability; By increasing the clearance of the protective shell installation, the damage of the protective shell with a thicker head or at low speed penetration can also be improved.
-
Key words:
- split penetrator /
- oblique penetration /
- pitch angle /
- trajectory deviation /
- ballistic stability
-
表 1 侵彻体和靶板的Johnson-Cook材料参数
Table 1. Johnson-Cook parameters of penetrator and target plate
Component A/MPa B/MPa n C m ${T_{{ {\rm{m} } } } }$/K Penetrator 1500 460 0.70 0.025 1.09 1793 Target 350 275 0.36 0.022 1.00 1795 表 2 侵彻体和靶板的Grüneisen状态方程参数
Table 2. Parameters of Grüneisen equation of state for penetrator and target plate
Component ${\;\rho_0}$/(g·cm–3) E/GPa S ${\gamma _0}$ $a$ c/(km·s–1) Penetrator 7.80 0 1.49 2.17 0.46 4.569 Target 7.85 0 2.20 1.93 0.46 4.440 -
[1] 周忠彬, 马田, 赵永刚, 等. 不同材料弹体超声速侵彻钢筋混凝土靶的结构破坏对比实验 [J]. 高压物理学报, 2020, 34(2): 025101. doi: 10.11858/gywlxb.20190841ZHOU Z B, MA T, ZHAO Y G, et al. Comparative experiment on structural damage of supersonic projectiles with different metal materials penetrating into reinforced concrete targets [J]. Chinese Journal of High Pressure Physics, 2020, 34(2): 025101. doi: 10.11858/gywlxb.20190841 [2] 刘天宋, 高旭东, 李继政, 等. 混凝土侵彻过程中弹道偏转的影响因素和规律研究 [J]. 弹箭与制导学报, 2014, 34(2): 67–70, 74. doi: 10.3969/j.issn.1673-9728.2014.02.018LIU T S, GAO X D, LI J Z, et al. The research of influence factors and law of trajectory deflection in the process of penetration into concrete targets [J]. Journal of Projectiles, Rockets, Missiles and Guidance, 2014, 34(2): 67–70, 74. doi: 10.3969/j.issn.1673-9728.2014.02.018 [3] 王可慧, 宁建国, 李志康, 等. 高速弹体非正侵彻混凝土靶的弹道偏转实验研究 [J]. 高压物理学报, 2013, 27(4): 561–566. doi: 10.11858/gywlxb.2013.04.015WANG K H, NING J G, LI Z K, et al. Ballistic trajectory of high-velocity projectile obliquely penetrating concrete target [J]. Chinese Journal of High Pressure Physics, 2013, 27(4): 561–566. doi: 10.11858/gywlxb.2013.04.015 [4] JENA P K, JAGTAP N, KUMAR K S, et al. Some experimental studies on angle effect in penetration [J]. International Journal of Impact Engineering, 2010, 37(5): 489–501. doi: 10.1016/j.ijimpeng.2009.11.009 [5] 薛建锋, 沈培辉, 王晓鸣. 弹体斜侵彻混凝土过程中弹道偏转仿真分析 [J]. 系统仿真学报, 2017, 29(8): 1801–1808. doi: 10.14077/j.issn.1007-7812.2018.02.017XUE J F, SHEN P H, WANG X M. Simulation analysis on ballistic deflection of projectile obliquely penetrating into concrete [J]. Journal of System Simulation, 2017, 29(8): 1801–1808. doi: 10.14077/j.issn.1007-7812.2018.02.017 [6] 葛超, 董永香, 陆志超, 等. 弹丸头部对斜侵彻弹道偏转影响研究 [J]. 兵工学报, 2015, 36(2): 255–262. doi: 10.3969/j.issn.1000-1093.2015.02.010GE C, DONG Y X, LU Z C, et al. Ballistic deflection on oblique penetration of projectiles with different noses [J]. Acta Armamentarii, 2015, 36(2): 255–262. doi: 10.3969/j.issn.1000-1093.2015.02.010 [7] 路志超. 低速弹丸对金属靶的斜侵彻弹道机理研究 [D]. 北京: 北京理工大学, 2015: 59–62.LU Z C. The research on ballistic mechanism of oblique penetration on metal target by low-speed projectiles [D]. Beijing: Beijing Institute of Technology, 2015: 59–62. [8] WU H, CHEN X W, FANG Q, et al. Stability analyses of the mass abrasive projectile high-speed penetrating into a concrete target part Ⅲ: terminal ballistic trajectory analyses [J]. Acta Mechanica Sinica, 2015, 31(4): 558–569. doi: 10.1007/s10409-015-0423-8 [9] RICCHIAZZI A J, ROECKER E T, BROWN C J. Design of a low L/D deep earth penetrator: ADA070532 [R]. Aberdeen: US Ballistic Research Laboratory, 1979. [10] 乔相信, 郭克强, 洪晓文, 等. 球形头部弹丸侵彻运动靶板的数值模拟 [J]. 火力与指挥控制, 2017, 42(3): 84–87. doi: 10.3969/j.issn.1002-0640.2017.03.020QIAO X X, GUO K Q, HONG X W, et al. Numerical simulation of spherical head projectile penetrating into the moving target [J]. Fire Control & Command Control, 2017, 42(3): 84–87. doi: 10.3969/j.issn.1002-0640.2017.03.020 -

下载: