二维各向异性多孔材料多轴蠕变行为的数值模拟

刘浩伟 苏步云 邱吉 李志强

刘浩伟, 苏步云, 邱吉, 李志强. 二维各向异性多孔材料多轴蠕变行为的数值模拟[J]. 高压物理学报, 2020, 34(6): 064202. doi: 10.11858/gywlxb.20200561
引用本文: 刘浩伟, 苏步云, 邱吉, 李志强. 二维各向异性多孔材料多轴蠕变行为的数值模拟[J]. 高压物理学报, 2020, 34(6): 064202. doi: 10.11858/gywlxb.20200561
LIU Haowei, SU Buyun, QIU Ji, LI Zhiqiang. Numerical Simulation of Multiaxial Creep Behavior of 2D Anisotropic Cellular Materials[J]. Chinese Journal of High Pressure Physics, 2020, 34(6): 064202. doi: 10.11858/gywlxb.20200561
Citation: LIU Haowei, SU Buyun, QIU Ji, LI Zhiqiang. Numerical Simulation of Multiaxial Creep Behavior of 2D Anisotropic Cellular Materials[J]. Chinese Journal of High Pressure Physics, 2020, 34(6): 064202. doi: 10.11858/gywlxb.20200561

二维各向异性多孔材料多轴蠕变行为的数值模拟

doi: 10.11858/gywlxb.20200561
基金项目: 国家自然科学基金(11972244);山西省自然科学基础研究项目(201801D221026)
详细信息
    作者简介:

    刘浩伟(1993-),男,硕士研究生,主要从事冲击动力学研究.E-mail:liuhaowei0924@link.tyut.edu.cn

    通讯作者:

    李志强(1973-),男,博士,教授,主要从事冲击动力学和计算力学研究.E-mail:lizhiqiang@tyut.edu.cn

  • 中图分类号: O347.1

Numerical Simulation of Multiaxial Creep Behavior of 2D Anisotropic Cellular Materials

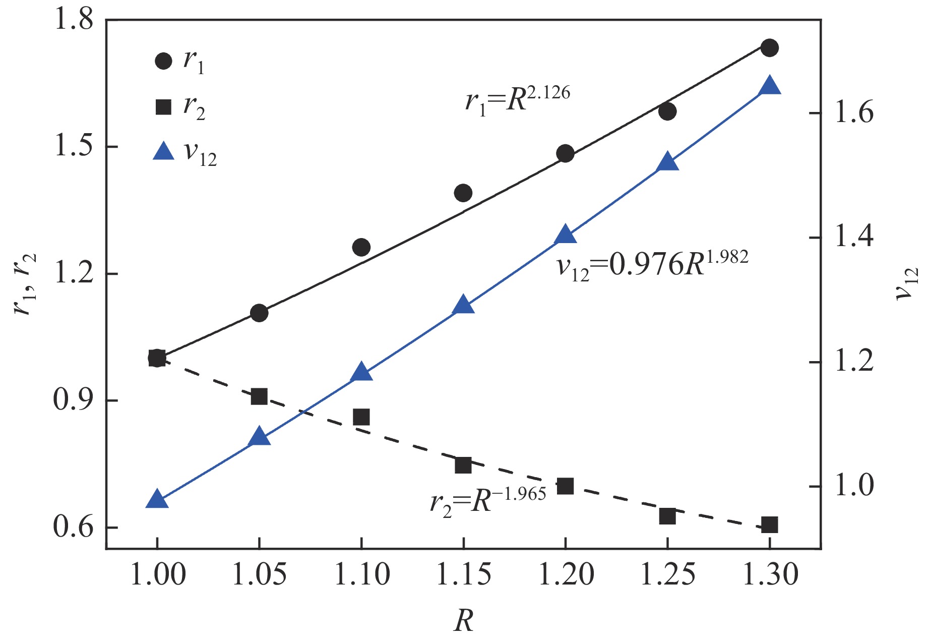
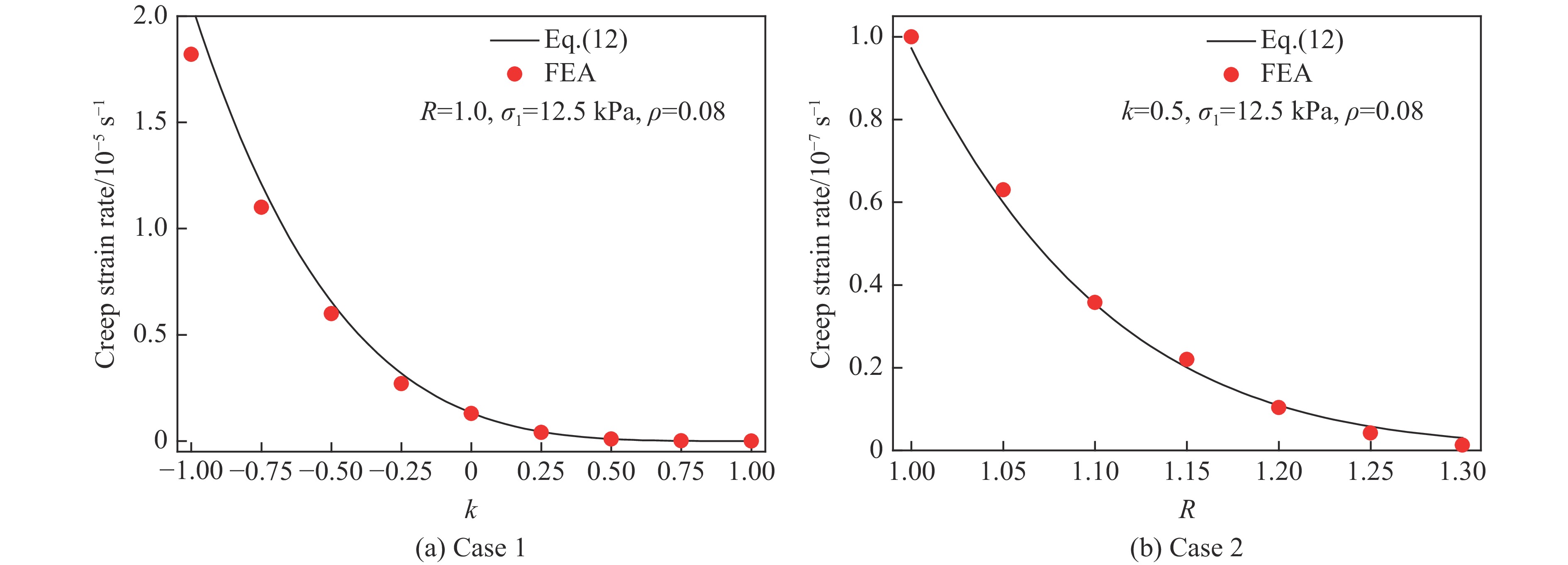
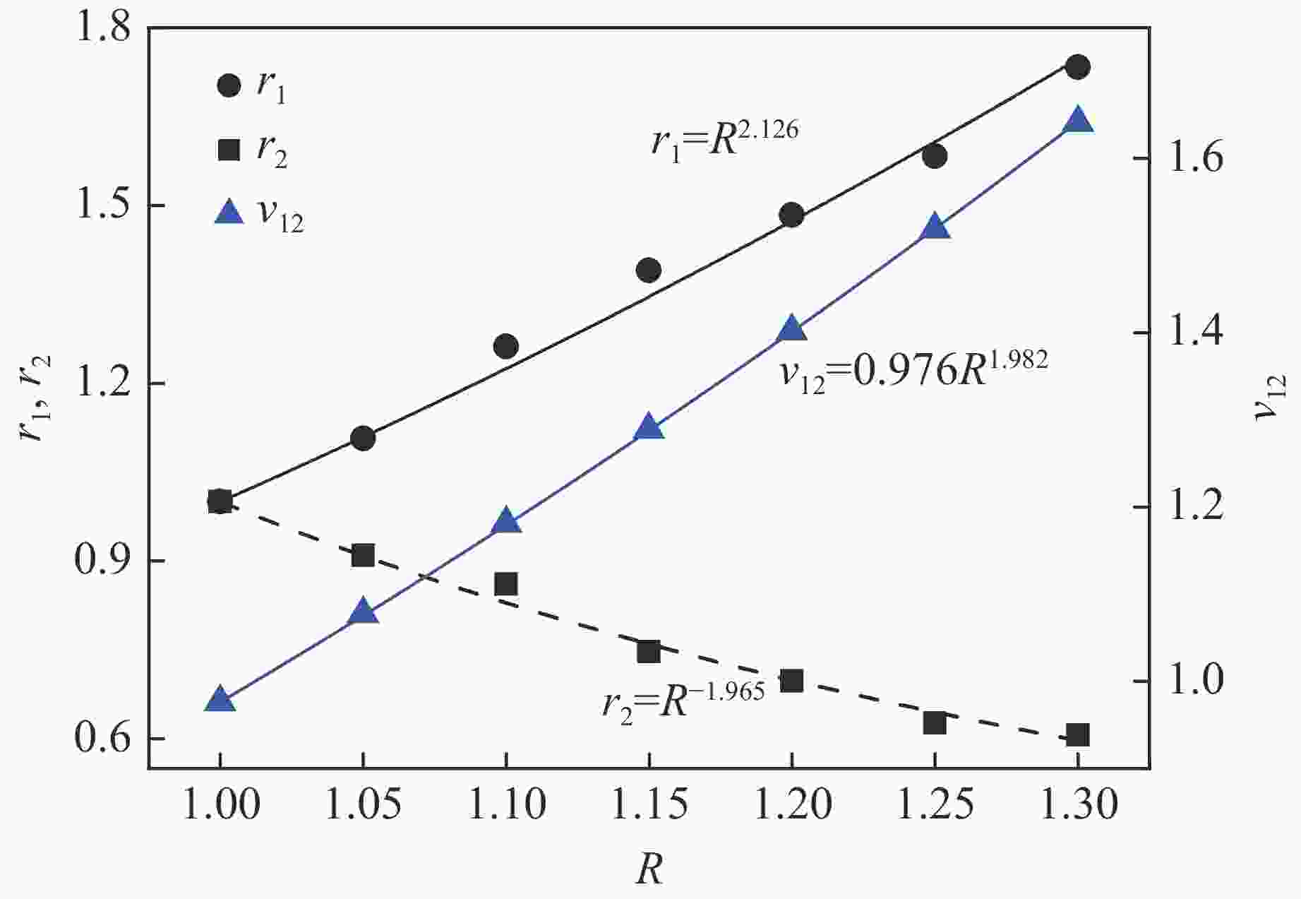
  • 摘要: 基于二维各向异性多孔材料的Voronoi模型,对其单轴、多轴蠕变行为开展系统的研究。大量的数值模拟结果显示,二维各向异性多孔材料的力学性能对表征各向异性程度的几何拉伸系数R有明显的依赖性,其中参数r1ν12随着R的增大而逐渐增大,参数r2的变化规律则相反。对于二维各向异性多孔材料而言,随着R的增大,沿拉伸方向上的单轴稳态蠕变率增大,而另一方向上的性能却逐渐降低。基于特征应力-特征应变关系,建立了一个能够描述二维各向异性多孔材料多轴蠕变行为的理论模型。将不同各向异性程度及不同加载条件下材料的稳态蠕变率的数值模拟结果与该模型的预测结果进行对比,发现两者吻合较好,证明了该理论模型的有效性。

     

  • 图  二维各向异性多孔材料有限元模型的建立

    Figure  1.  Establishment of finite element model of 2D anisotropic cellular material

    图  二维多孔材料多轴加载示意图

    Figure  2.  Schematic of 2D cellular material under multiaxial loading

    图  二维各向异性多孔材料在不同方向的稳态蠕变率

    Figure  3.  Steady creep strain rate of 2D anisotropic cellular material in different directions

    图  弹塑性参数拟合结果

    Figure  4.  Elastoplastic parameter fitting results

    图  理论模型与有限元分析结果对比

    Figure  5.  Comparison of the phenomenological model and the FEA results

  • [1] GIBSON L J, ASHBY M F. Cellular solids: structure and properties [M]. Oxford: Pergamon Press, 1997.
    [2] ASHBY M F, EVANS A G, FLECK N A, et al. Metal foams: a design guide [J]. Applied Mechanics Reviews, 2012, 54(6): B105–B106. doi: 10.1115/1.1421119
    [3] ANDREWS E W, GIBSON L J, ASHBY M F. The creep of cellular solids [J]. Acta Materialia, 1999, 47(10): 2853–2863. doi: 10.1016/S1359-6454(99)00150-0
    [4] HODGE A M, DUNAND D C. Measurement and modeling of creep in open-cell NiAl foams [J]. Metallurgical and Materials Transactions A, 2003, 34(10): 2353–2363. doi: 10.1007/s11661-003-0298-3
    [5] 卢子兴, 黄纪翔, 袁泽帅. 微结构对泡沫材料蠕变性能的影响 [J]. 复合材料学报, 2016, 33(11): 2641–2648. doi: 10.13801/j.cnki.fhclxb.20160411.007

    LU Z X, HUANG J X, YUAN Z S. Influence of micro-structure on creep properties of foam materials [J]. Acta Materiae Compositae Sinica, 2016, 33(11): 2641–2648. doi: 10.13801/j.cnki.fhclxb.20160411.007
    [6] WARREN W E, KRAYNIK A M. The nonlinear elastic behavior of open-cell foams [J]. Journal of Applied Mechanics, 1991, 58(2): 376–381. doi: 10.1115/1.2897196
    [7] ANDREWS E W, GIBSON L J. The role of cellular structure in creep of two-dimensional cellular solids [J]. Materials Science and Engineering A, 2001, 303(1/2): 120–126. doi: 10.1016/S0921-5093(00)01854-2
    [8] OPPENHEIMER S M, DUNAND D C. Finite element modeling of creep deformation in cellular metals [J]. Acta Materialia, 2007, 55(11): 3825–3834. doi: 10.1016/j.actamat.2007.02.033
    [9] HUANG J S, GIBSON L J. Creep of open-cell Voronoi foams [J]. Materials Science and Engineering A, 2003, 339(1/2): 220–226. doi: 10.1016/S0921-5093(02)00152-1
    [10] ZHU H X, MILLS N J. Modelling the creep of open-cell polymer foams [J]. Journal of the Mechanics and Physics of Solids, 1999, 47(7): 1437–1457. doi: 10.1016/S0022-5096(98)00116-1
    [11] SU B Y, ZHOU Z W, WANG Z H, et al. Effect of defects on creep behavior of cellular materials [J]. Materials Letters, 2014, 136: 37–40. doi: 10.1016/j.matlet.2014.07.185
    [12] ZHOU Z W, WANG Z H, ZHAO L M, et al. Uniaxial and biaxial failure behaviors of aluminum alloy foams [J]. Composites Part B: Engineering, 2014, 61: 340–349. doi: 10.1016/j.compositesb.2013.01.004
    [13] TAGARIELLI V L, DESHPANDE V S, FLECK N A, et al. A constitutive model for transversely isotropic foams, and its application to the indentation of balsa wood [J]. International Journal of Mechanical Sciences, 2005, 47(4/5): 666–686. doi: 10.1016/j.ijmecsci.2004.11.010
    [14] SU B Y, ZHOU Z W, SHU X F, et al. Multiaxial creep of transversely isotropic foams [J]. Materials Science and Engineering A, 2016, 658: 289–295. doi: 10.1016/j.msea.2016.02.018
    [15] KESLER O, CREWS L K, GIBSON L J. Creep of sandwich beams with metallic foam cores [J]. Materials Science and Engineering A, 2003, 341(1/2): 264–272. doi: 10.1016/S0921-5093(02)00239-3
    [16] CHEN C, FLECK N A, ASHBY M F. Creep response of sandwich beams with a metallic foam core [J]. Advanced Engineering Materials, 2002, 4(10): 777–780. doi: 10.1002/1527-2648(20021014)4:10<777::AID-ADEM777>3.0.CO;2-A
    [17] FAN Z G, CHEN C, LU T J. Multiaxial creep of low density open-cell foams [J]. Materials Science and Engineering A, 2012, 540: 83–88. doi: 10.1016/j.msea.2012.01.086
    [18] AYYAGARI R S, VURAL M. Multiaxial yield surface of transversely isotropic foams: Part Ⅰ–modeling [J]. Journal of the Mechanics and Physics of Solids, 2015, 74: 49–67. doi: 10.1016/j.jmps.2014.10.005
    [19] SULLIVAN R M, GHOSN L J, LERCH B A. A general tetrakaidecahedron model for open-celled foams [J]. International Journal of Solids and Structures, 2008, 45(6): 1754–1765. doi: 10.1016/j.ijsolstr.2007.10.028
    [20] CHEN C, LU T J, FLECK N A. Effect of imperfections on the yielding of two-dimensional foams [J]. Journal of the Mechanics and Physics of Solids, 1999, 47(11): 2235–2272. doi: 10.1016/S0022-5096(99)00030-(inChinese)
    [21] CHEN C, LU T J. A phenomenological framework of constitutive modelling for incompressible and compressible elasto-plastic solids [J]. International Journal of Solids and Structures, 2000, 37(52): 7769–7786. doi: 10.1016/S0020-7683(00)00003-2
    [22] ALKHADER M, VURAL M. An energy-based anisotropic yield criterion for cellular solids and validation by biaxial FE simulations [J]. Journal of the Mechanics and Physics of Solids, 2009, 57(5): 871–890. doi: 10.1016/j.jmps.2008.12.005
  • 加载中
图(5)
计量
  • 文章访问数:  7438
  • HTML全文浏览量:  3614
  • PDF下载量:  31
出版历程
  • 收稿日期:  2020-05-25
  • 修回日期:  2020-06-10

目录

    /

    返回文章
    返回