Simulation Study on Influential Factors of EFP Underwater Forming
-
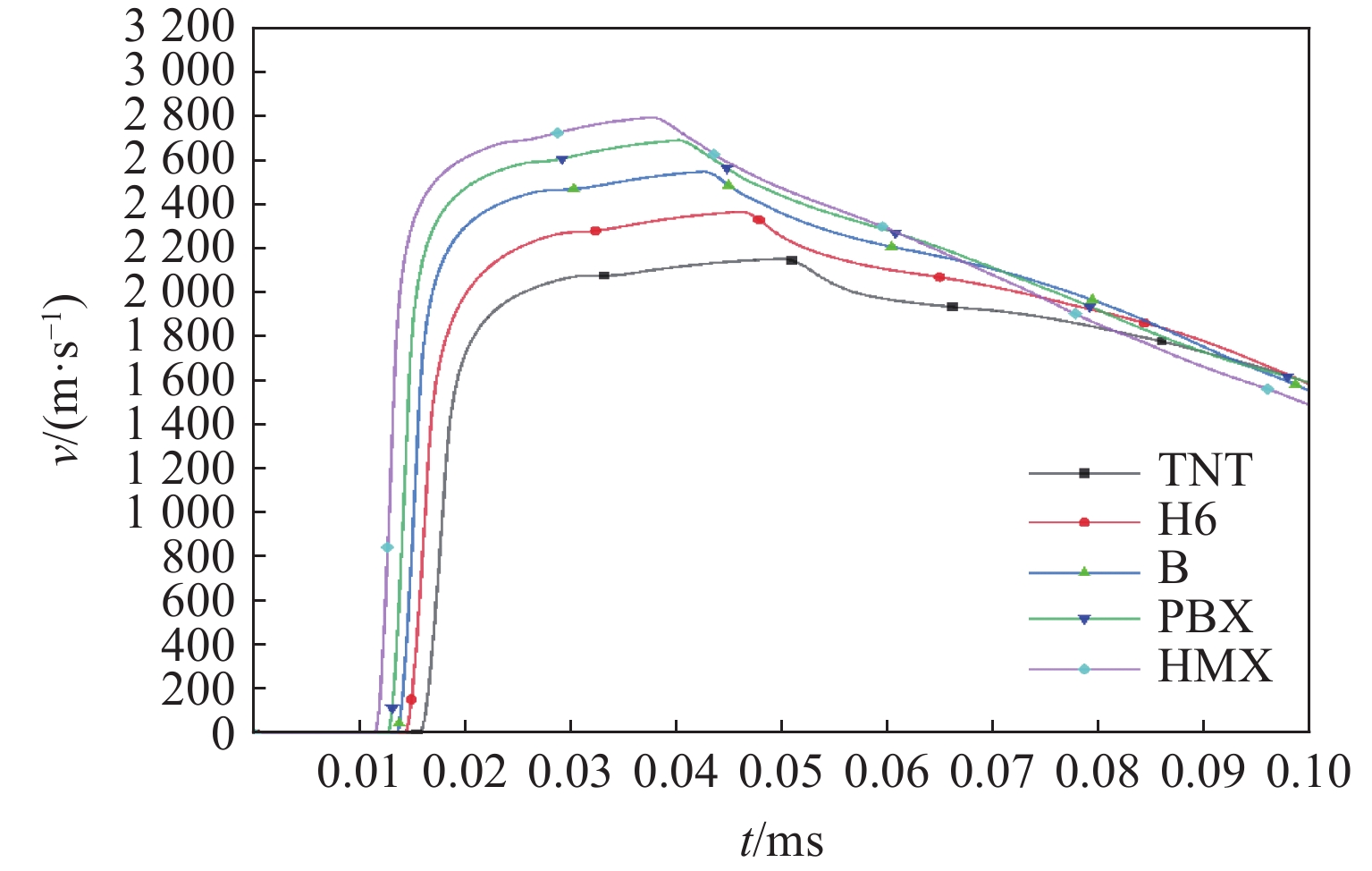
摘要: 由于密度、压力等物理量存在差异,爆炸成型弹丸(EFP)在空气和水中的成型过程差别较大。为了优化水下EFP的设计方案,利用AUTODYN有限元软件开展仿真研究,详细讨论了装药、药型罩及弹前空气域3部分共7个变量对EFP水下成型过程的影响,最终得出适合水下EFP装药的设计参数。根据仿真结果,总质量为1 kg的EFP装药优化后的设计参数:炸药长径比为1.5,炸药种类选择爆速较高的HMX,药型罩材料为紫铜,切向锥角
$\alpha $ 为145°,壁厚$\delta $ 为2 mm,弹前空气域长度为3倍装药半径,起爆半径r为0.4倍装药半径。该方案对优化EFP速度、长径比及动能等有较好的效果。Abstract: Due to the difference in physical quantities such as density and pressure, the forming process of explosive formed projectile(EFP) in air and water is quite different. In order to optimize the design scheme of underwater EFP, the simulation study was carried out using AUTODYN finite element software and the specific effects of the seven variables of the charge were discussed in detail. A set of design parameters suitable for underwater EFP charge is produced. According to the simulation results, the optimized design parameters of the EFP charge with a total mass of 1 kg are: the aspect ratio of the explosive is 1.5, the type of explosive is HMX with a higher detonation speed, the material of the liner structure is copper, and the tangential cone angle is 145°, the wall thickness$\delta $ is 2 mm, the length of the air field is 3 times the charge radius, and the initiation radius r is 0.4 times the charge radius. This scheme has a good effect on optimizing EFP speed,aspect ratio and kinetic energy. -
表 1 原始模型参数
Table 1. Original model parameters
Type Material L/D $\alpha $/(°) $\delta $/mm Lcavity/R r/R TNT Copper 0.5 120 2 2 0 表 2 Polynomial方程的主要参数
Table 2. Main parameters of Polynomial equation
A1/GPa A2/GPa A3/GPa B0 B1 T1/GPa T2/GPa 2.20 9.54 14.57 0.28 0.28 2.20 0 表 3 JWL方程主要参数
Table 3. Main parameters of Polynomial equation
Type A/GPa B/GPa R1 R2 $\omega $ $\,\rho$/kg·m−3 DCJ/(m·s−1) E/(GJ·m−3) pCJ/GPa TNT 373.77 3.75 4.15 0.90 0.35 1630 6930 6.0 21.0 B 524.23 7.68 4.20 1.10 0.34 1717 7980 8.5 29.5 PBX 581.45 6.80 4.10 1.00 0.35 1787 8390 9.0 34.0 H6 758.07 8.51 4.90 1.10 0.20 1760 7470 10.3 24.0 HMX 778.28 7.07 4.20 1.00 0.30 1891 9110 10.5 42.0 表 4 Johnson-Cook方程的主要参数
Table 4. Main parameters of Johnson-Cook equation
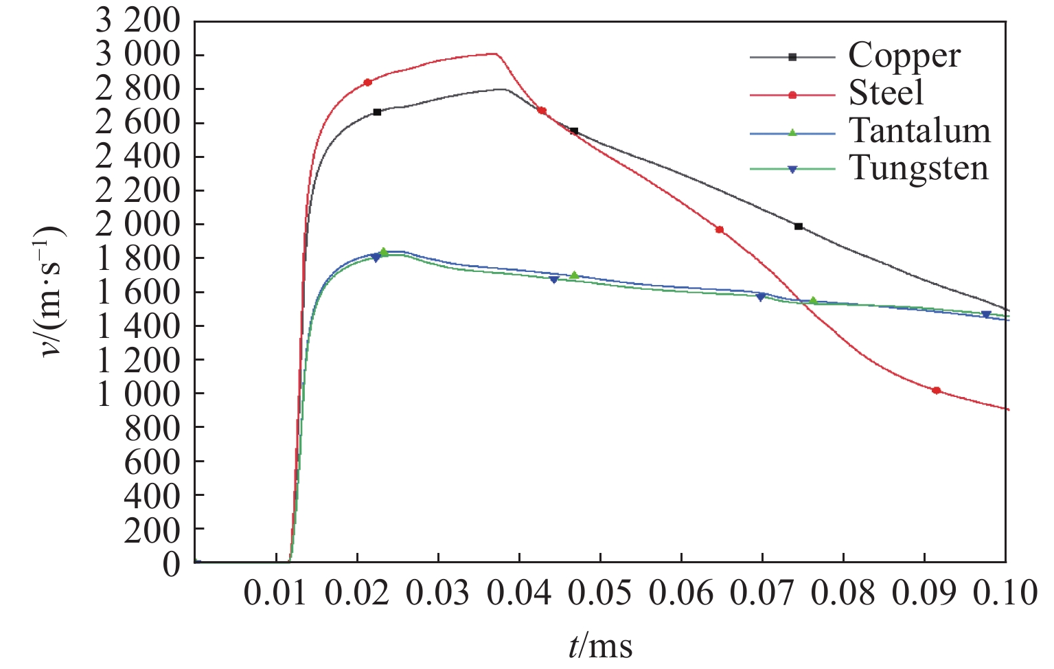
Material A/MPa B/MPa n C m Steel 792 510 0.26 0.014 1.03 Copper 90 292 0.31 0.025 1.09 Tungsten alloy 1506 177 0.12 0.016 1.00 Tantalum 142 164 0.31 0.057 0.88 表 5 试算工况
Table 5. Conditions of trial calculation
Case No. Computational
domain/(mm × mm)Grid size/
(mm × mm)Grid quantity Case No. Computational
domain/(mm × mm)Grid size/
(mm × mm)Grid quantity 1 1000 × 400 0.5 × 0.5 1600000 8 600 × 240 0.2 × 0.2 3600000 2 800 × 320 0.5 × 0.5 1024000 9 600 × 240 0.3 × 0.3 1600000 3 600 × 240 0.5 × 0.5 576000 10 600 × 240 0.4 × 0.4 900000 4 500 × 200 0.5 × 0.5 400000 11 600 × 240 0.5 × 0.5 576000 5 400 × 160 0.5 × 0.5 256000 12 600 × 240 0.6 × 0.6 400000 6 300 × 120 0.5 × 0.5 144000 13 600 × 240 0.7 × 0.7 293878 7 200 × 80 0.5 × 0.5 64000 14 600 × 240 0.8 × 0.8 225000 表 6 变量取值情况
Table 6. Summary of variable values
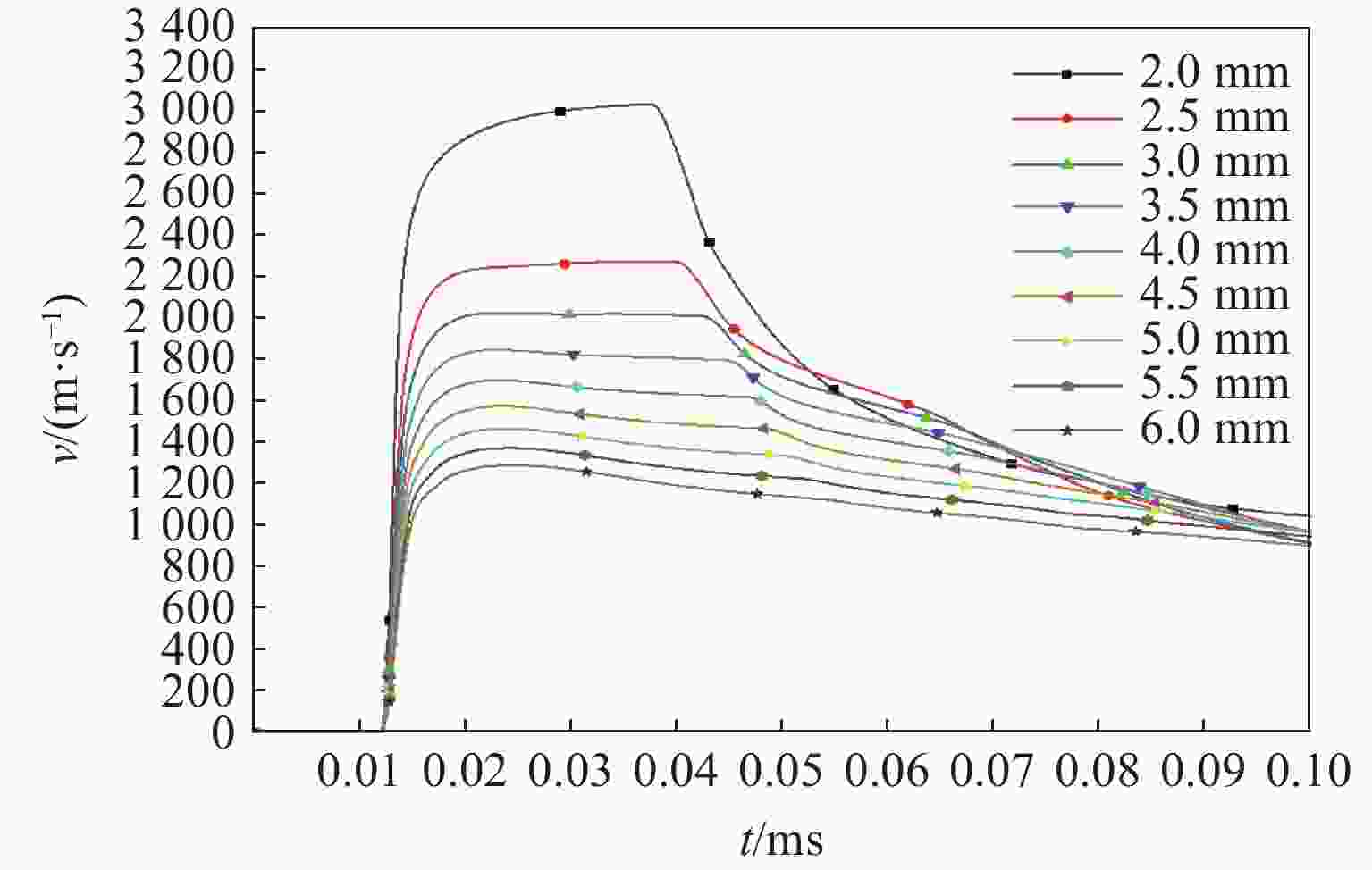
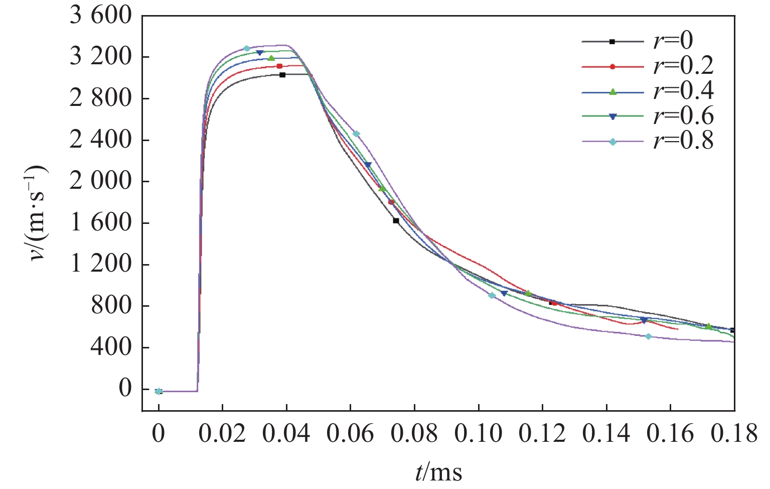
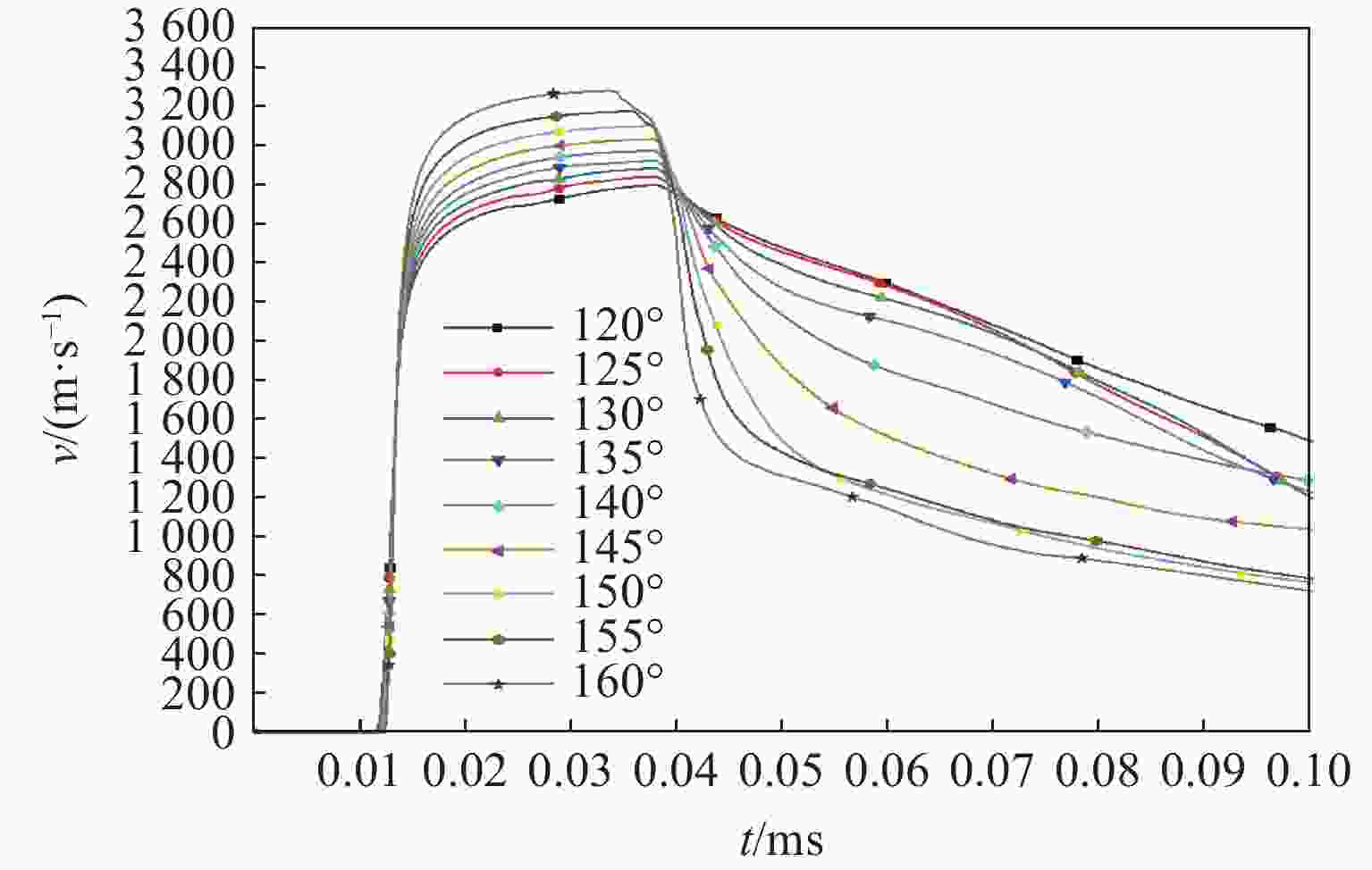
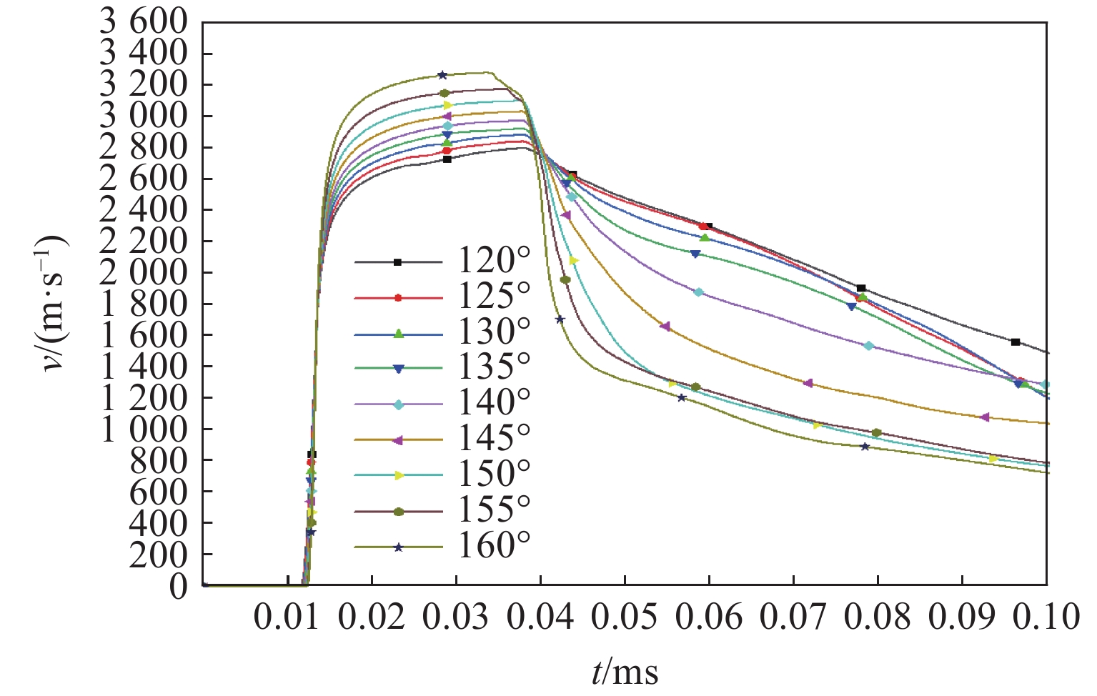
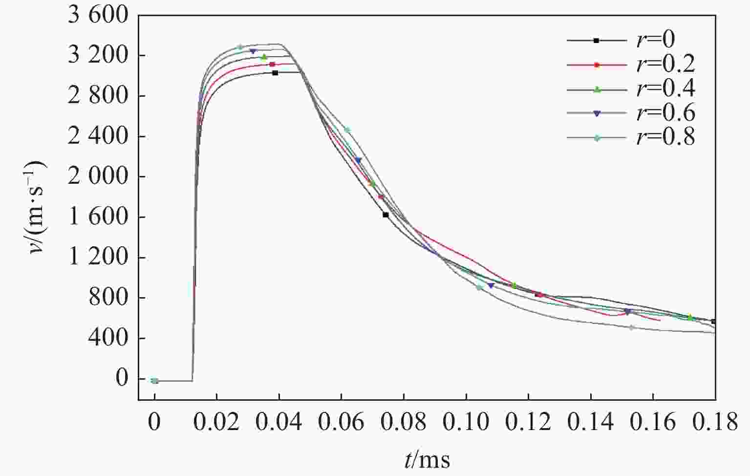
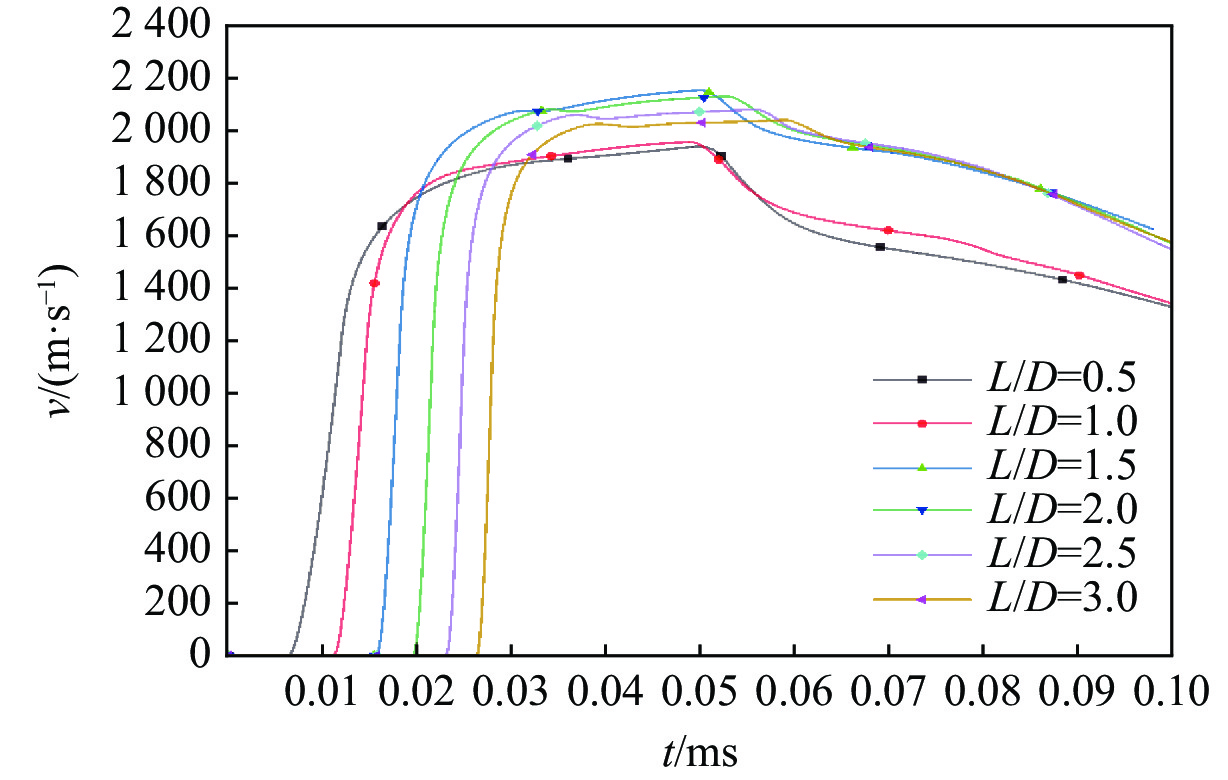
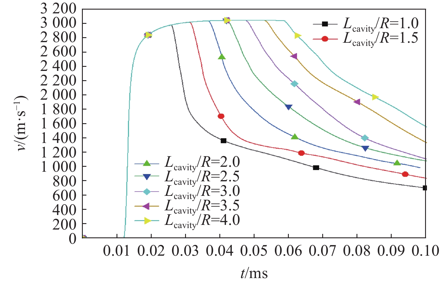
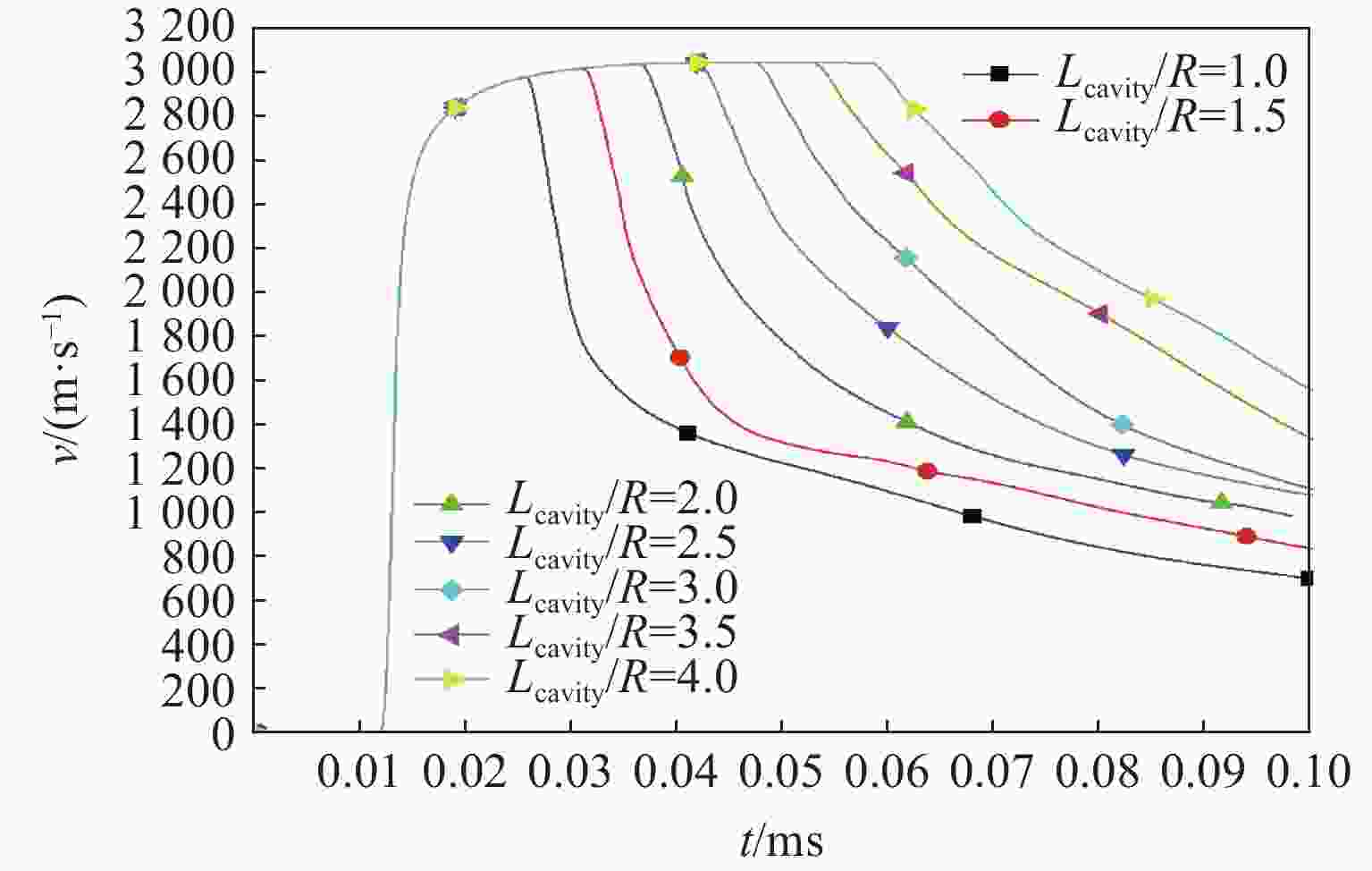
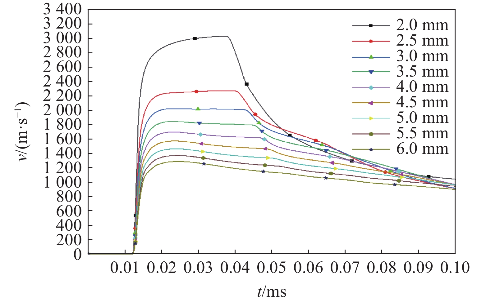
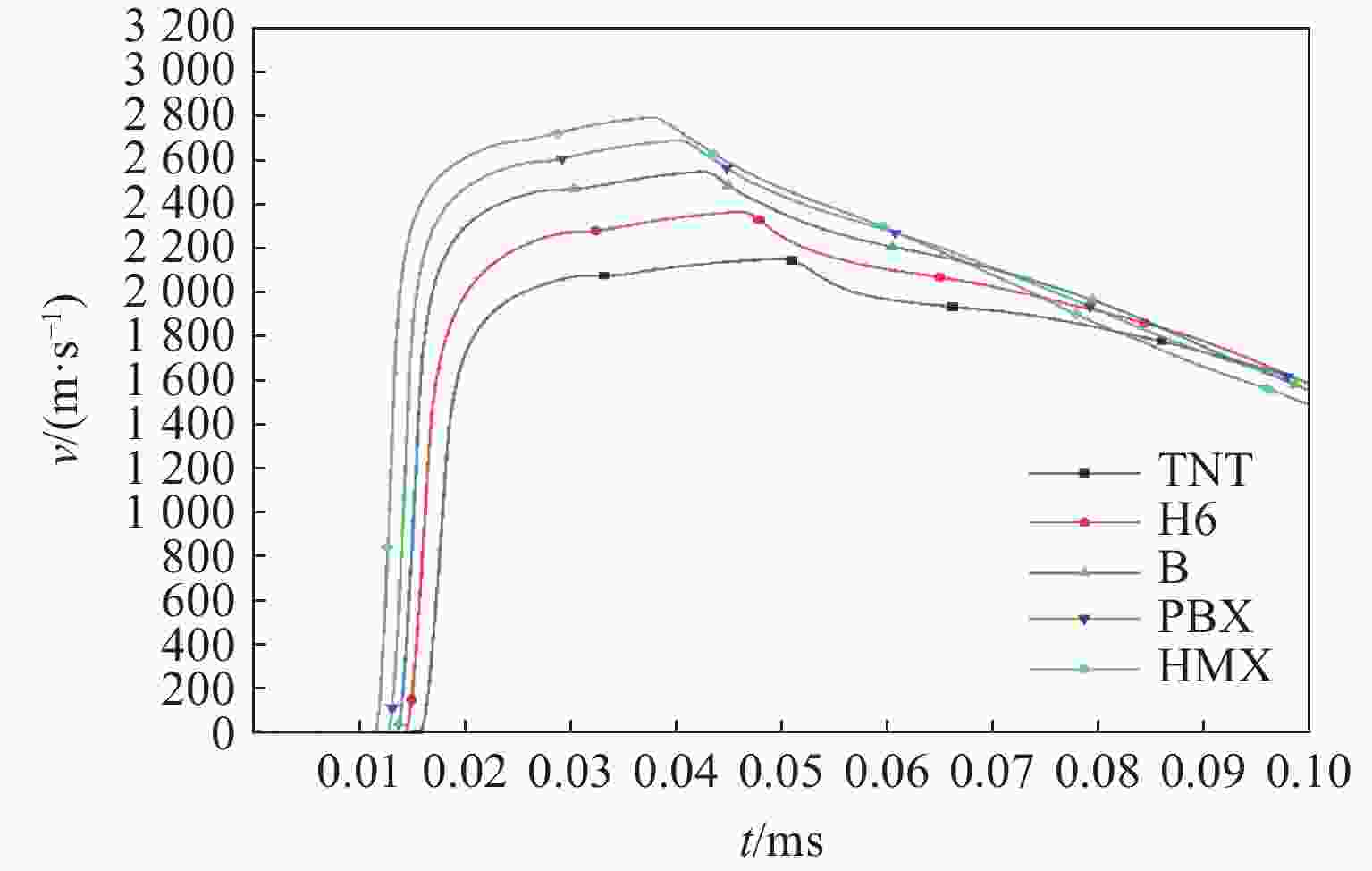
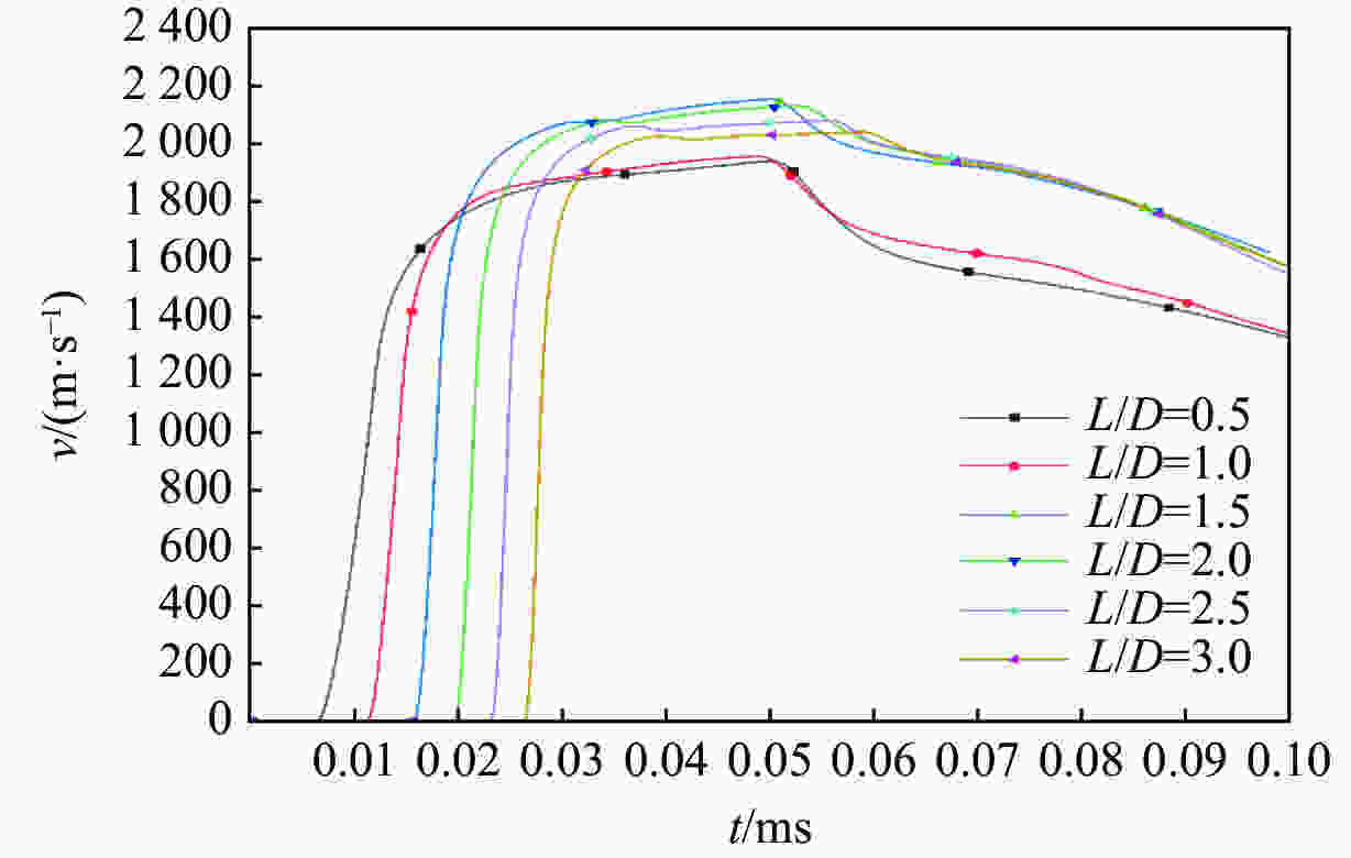
L/D Type Material $\alpha $/(°) $\delta $/mm Lcavity/R r/R 0.5–3($\varDelta $ = 0.5) TNT Copper 120 2 2 0 1.5 TNT/B/H6/HMX Copper 120 2 2 0 1.5 HMX Steel/Copper/Tantalum/Tungsten 145 2 2 0 1.5 HMX Copper 120–160($\varDelta$ = 5) 2 2 0 1.5 HMX Copper 145 2–6($\varDelta $ = 0.5) 2 0 1.5 HMX Copper 145 2-6 1–4($\varDelta$ = 0.5) 0 1.5 HMX Copper 145 2-6 2 0–0.8($\varDelta$ = 0.2) 表 7 优化后的EFP参数
Table 7. Optimized EFP parameters
L/D Type Material $\alpha $/(°) $\delta $/mm Lcavity/R r/R 1.5 HMX Copper 145 2 3 0.4 表 8 优化前后效果对比
Table 8. Effect comparison before and after optimization
Comparison v/(m·s−1) L/D Ek/J EFP shape Before optimization 1947.7 0.39 1.50 × 105 
After optimization 3204.6 0.73 3.64 × 105 
Previous achievements[2] 1 935.0 0.76 
-
[1] AHMED M, MALIK A Q, HUANG S A, et al. Penetration evaluation of explosively formed projectiles through air and water using insensitive munition: simulative and experimental studies [J]. Engineering, Technology & Applied Science Research, 2016, 6(1): 913–916. doi: 10.5281/zenodo.45614 [2] 曹兵. EFP战斗部水下作用特性研究 [J]. 火工品, 2007(3): 1–5. doi: 10.3969/j.issn.1003-1480.2007.03.001CAO B. Study on the performance of EFP warhead operating underwater [J]. Initiators & Pyrotechnics, 2007(3): 1–5. doi: 10.3969/j.issn.1003-1480.2007.03.001 [3] 杨莉, 张庆明, 巨圆圆. 爆炸成型弹丸对含水复合装甲侵彻的实验研究 [J]. 北京理工大学学报, 2009, 29(3): 197–200.YANG L, ZHANG Q M, JU Y Y. Experimental study on the penetration of explosively formed projectile against water-partitioned armor [J]. Transactions of Beijing Institute of Technology, 2009, 29(3): 197–200. [4] MARKOVIC M, ELEK P, JARAMAZ S, et al. Numerical and analytical approach to the modeling of explosively formed projectiles [C]//Proceedings of the 6th International Scientific Conference on Defensive Technologies. Belgrade, Serbia, 2014: 1–6. [5] 杨伟苓, 姜春兰, 王在成, 等. 基于VESF起爆系统MEFP装药的数值与实验研究 [J]. 高压物理学报, 2013, 27(5): 751–756. doi: 10.11858/gywlxb.2013.05.015YANG W L, JIANG C L, WANG Z C, et al. Experimental study and numerical simulation on MEFP based on VESF initiation [J]. Chinese Journal of High Pressure Physics, 2013, 27(5): 751–756. doi: 10.11858/gywlxb.2013.05.015 [6] 王雅君, 李伟兵, 李文彬, 等. 爆炸成型模拟弹丸水中飞行影响因素 [J]. 弹道学报, 2018, 30(1): 87–92.WANG Y J, LI W B, LI W B, et al. Factors influencing flight characteristics of simulated EFP in water [J]. Journal of Ballistics, 2018, 30(1): 87–92. [7] 林加剑, 贾虎. 爆炸成型弹丸有效装药结构理论分析及试验研究 [J]. 弹箭与制导学报, 2015, 35(1): 59–62, 67. doi: 10.15892/j.cnki.djzdxb.2015.01.016LIN J J, JIA H. Theoretical analysis and experimental research on the effective shaped charge with EFP [J]. Journal of Projectiles, Rockets, Missiles and Guidance, 2015, 35(1): 59–62, 67. doi: 10.15892/j.cnki.djzdxb.2015.01.016 [8] 郭腾飞, 李伟兵, 李文彬, 等. 钽罩结构参数对EFP成型及侵彻性能的控制 [J]. 高压物理学报, 2018, 32(3): 035104. doi: 10.11858/gywlxb.20170667GUO T F, LI W B, LI W B, et al. Controlling effect of tantalum liner's structural parameters on EFP formation and penetration performance [J]. Chinese Journal of High Pressure Physics, 2018, 32(3): 035104. doi: 10.11858/gywlxb.20170667 [9] 鲁忠宝, 黎勤, 哈海荣. 不同能量输出结构战斗部水下爆炸毁伤威力试验研究 [J]. 水下无人系统学报, 2019, 27(1): 71–77.LU Z B, LI Q, HA H R. Experimental study on underwater explosion damage power of warhead with different energy output configuration [J]. Journal of Unmanned Undersea Systems, 2019, 27(1): 71–77. [10] 樊菲, 李伟兵, 王晓鸣, 等. 爆炸成型弹丸战斗部不同侵彻着角下的毁伤能力研究 [J]. 高压物理学报, 2012, 26(2): 199–204. doi: 10.11858/gywlxb.2012.02.012FAN F, LI W B, WANG X M, et al. Research on the damaging ability of EFP warhead at different incidence angle [J]. Chinese Journal of High Pressure Physics, 2012, 26(2): 199–204. doi: 10.11858/gywlxb.2012.02.012 [11] 于川, 王伟, 陈浩, 等. 小口径药型罩爆炸成型弹丸设计与多层钢靶侵彻实验 [J]. 高压物理学报, 2014, 28(1): 69–72. doi: 10.11858/gywlxb.2014.01.011YU C, WANG W, CHEN H, et al. Design of explosively formed projectile liner with small radius and experiment of penetrating multi-layer steel target [J]. Chinese Journal of High Pressure Physics, 2014, 28(1): 69–72. doi: 10.11858/gywlxb.2014.01.011 [12] 林加剑, 任辉启, 沈兆武. 尾翼型爆炸成型弹丸的数值模拟及实验研究 [J]. 高压物理学报, 2009, 23(3): 215–222. doi: 10.11858/gywlxb.2009.03.009LIN J J, REN H Q, SHEN Z W. Numerical and experimental study on explosively formed projectile with fins [J]. Chinese Journal of High Pressure Physics, 2009, 23(3): 215–222. doi: 10.11858/gywlxb.2009.03.009 [13] Century Dynamics Inc. Interactive non-linear dynamic analysis software AUTODYNTM user manual [M]. Houston, USA: Century Dynamics Inc., 2003. -




下载:








