Advances and Application of Dislocation Dynamics in the Mechanics of Extreme Environment
-
摘要: 作为联系分子动力学和连续介质力学方法的桥梁,离散位错动力学(DDD)方法近些年来取得了诸多进展。其典型代表就是DDD与连续介质有限元方法(FEM)的耦合,使其可以考虑复杂的边界条件及多物理场的耦合作用。首先介绍了DDD方法及其与FEM耦合的典型方法,然后面向高应变率、高温、强辐照几种极端环境,系统阐述了DDD及其耦合方法的发展思路和进展,展示了该方法在揭示微观机理、发展连续化理论模型上的若干成果。Abstract: Discrete dislocation dynamics (DDD) simulation method, as an ideal tool for bridging the gap in space and time scales between atomistic and continuum models, has made great progress in the past few decades. One prominent example is the coupling between DDD and finite element method (FEM), which leads to the capability of DDD to investigate the problems with complicated boundary conditions and multi-physics coupling effect. This work firstly reviewed the development of DDD method, and the coupling algorithm between DDD and FEM. Then, the advances and application of these methods in disclosing the microscopic mechanisms and developing the continuum models are reviewed under the extreme environment of high strain rate, high temperature, and irradiation.
-
Key words:
- discrete dislocation dynamics /
- high strain rate /
- high temperature /
- high pressure /
- irradiation
-
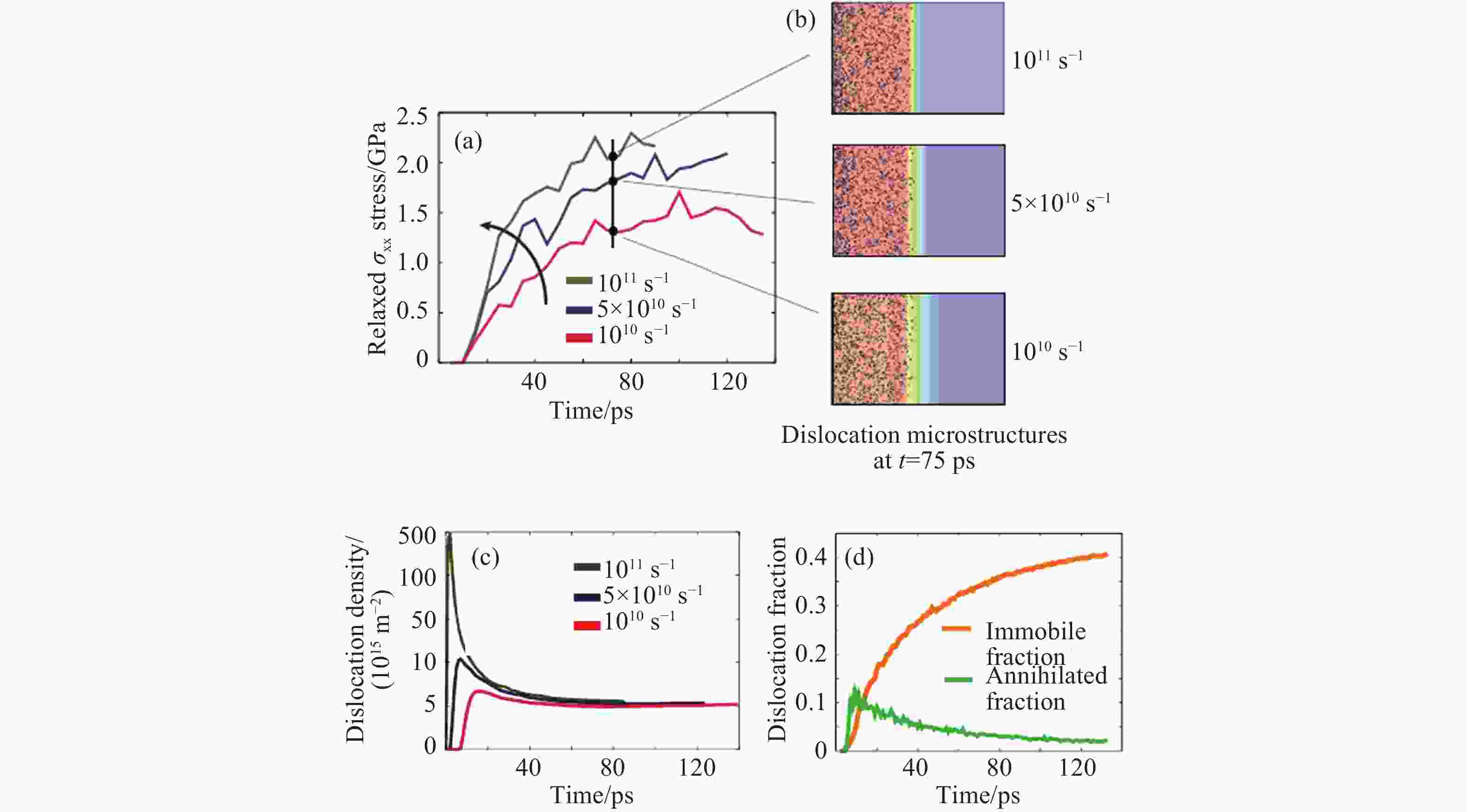
图 6 (a)冲击方向应力衰减,(b)不同加载率下加载时间为75 ps 时的位错微结构演化,(c)位错密度随时间的演化,(d)应变率为1010 s−1 时不可动位错和湮灭位错[54]
Figure 6. (a) stress attenuation in the direction of shock loading, (b) evolution of dislocation microstructure at 75 ps under different loading rates , (c) evolution of dislocation density, (d) immobile and annihilated dislocations under strain rate of 1010 s−1[54]
图 11 位错与辐照缺陷相互作用示例:(a) 在受辐照的FCC 晶体中位错被层错四边形(SFT)截获,(b) 在受辐照的BCC 晶体中位错与间隙位错环反应生成位错锁(不同颜色代表不同的柏氏矢量)[16, 91]
Figure 11. Interaction between dislocation and irradiation defects: (a) trappiest of dislocation by SFT in irradiated FCC crystal , (b) formation of dislocation lock due to the reaction between dislocation and interstitial loop in irradiated BCC crystal (Different colors represent different burgers vector)[16, 91]
-
[1] ZUO L, NGAN A H. Molecular dynamics study on compressive yield strength in Ni3Al micro-Pillars [J]. Philosophical Magazine Letters, 2006, 86(6): 355–365. doi: 10.1080/09500830600803890 [2] ZHOU S J, PRESTON D L, LOMDAHL P S, et al. Large-scale molecular dynamics simulations of dislocation intersection in copper [J]. Science, 1998, 279(5356): 1525–1527. doi: 10.1126/science.279.5356.1525 [3] XU S, GUO Y F, NGAN A H W. A molecular dynamics study on the orientation, size, and dislocation confinement effects on the plastic deformation of Al nanopillars [J]. International Journal of Plasticity, 2013, 43: 116–127. doi: 10.1016/j.ijplas.2012.11.002 [4] ZHU T, LI J, SAMANTA A, et al. Temperature and strain-rate dependence of surface dislocation nucleation [J]. Physical Review Letters, 2008, 100(2): 025502. doi: 10.1103/PhysRevLett.100.025502 [5] LIU X Y, BINER S B. Molecular dynamics simulations of the interactions between screw dislocations and self-interstitial clusters in body-centered cubic Fe [J]. Scripta Materialia, 2008, 59(1): 51–54. doi: 10.1016/j.scriptamat.2008.02.031 [6] HUANG Y. Multiscale modeling of dislocation-based crystal plasticity within a multiphysics framework [D]. Los Angeles: University of California, 2018. [7] HUANG Y, GAO H, NIX W D, et al. Mechanism-based strain gradient plasticity:Ⅱanalysis [J]. Journal of the Mechanics and Physics of Solids, 2000, 48(1): 99–128. doi: 10.1016/S0022-5096(99)00022-8 [8] WANG H, HWANG K C, HUANG Y, et al. A conventional theory of strain gradient crystal plasticity based on the Taylor dislocation model [J]. International Journal of Plasticity, 2007, 23(9): 1540–1554. doi: 10.1016/j.ijplas.2007.01.004 [9] BAYLEY C J, BREKELMANS W A M, GEERS M G D. A comparison of dislocation induced back stress formulations in strain gradient crystal plasticity [J]. International Journal of Solids and Structures, 2006, 43(24): 7268–7286. doi: 10.1016/j.ijsolstr.2006.05.011 [10] BITTENCOURT E. Dynamic explicit solution for higher-order crystal plasticity theories [J]. International Journal of Plasticity, 2014, 53: 1–16. doi: 10.1016/j.ijplas.2013.06.010 [11] ROTERS F, EISENLOHR P, HANTCHERLI L, et al. Overview of constitutive laws, kinematics, homogenization and multiscale methods in crystal plasticity finite-element modeling: theory, experiments, applications [J]. Acta Materialia, 2010, 58(4): 1152–1211. doi: 10.1016/j.actamat.2009.10.058 [12] LIU Z L, LIU X M, ZHUANG Z, et al. A multi-scale computational model of crystal plasticity at submicron-to-nanometer scales [J]. International Journal of Plasticity, 2009, 25(8): 1436–1455. doi: 10.1016/j.ijplas.2008.11.006 [13] VBULATOV W C. Computer simulations of dislocations [M]. New York: Oxford University Press, 2006, 196–240. [14] CUI Y N, LIN P, LIU Z L, et al. Theoretical and numerical investigations of single arm dislocation source controlled plastic flow in FCC micropillars [J]. International Journal of Plasticity, 2014, 55: 279–292. doi: 10.1016/j.ijplas.2013.11.011 [15] CUI Y N. The investigation of plastic behavior by discrete dislocation dynamics for single crystal pillar at submicron scale [M]. Singapore: Springer Singapore, 2017. [16] ZHUANG Z, LIU Z, CUI Y. Dislocation mechanism-based crystal plasticity: theory and computation at the micron and submicron scale [M]. Academic Press, 2019. [17] GHONIEM N M, CUI Y N. Dislocation dynamics simulations of defects in irradiated materials [M]//Reference Module in Materials Science and Materials Engineering. Elsevier, 2019. [18] FOREMAN A J E. Junction reaction hardening by dislocation loops [J]. Philosophical Magazine, 1968, 17(146): 353–364. doi: 10.1080/14786436808226168 [19] DESHPANDE V S, NEEDLEMAN A, GIESSEN V D E. Finite strain discrete dislocation plasticity [J]. Journal of the Mechanics and Physics of Solids, 2003, 51(11/12): 2057–2083. [20] DESHPANDE V S, NEEDLEMAN A, GIESSEN V D E. Plasticity size effects in tension and compression of single crystals [J]. Journal of the Mechanics and Physics of Solids, 2005, 53(12): 2661–2691. doi: 10.1016/j.jmps.2005.07.005 [21] OUYANG C J, LI Z H, HUANG M S, et al. Combined influences of micro-pillar geometry and substrate constraint on microplastic behavior of compressed single-crystal micro-pillar: two-dimensional discrete dislocation dynamics modeling [J]. Materials Science and Engineering A, 2009, 526(1/2): 235–243. [22] OUYANG C J, LI Z H, HUANG M S, et al. Cylindrical nano-indentation on metal film/elastic substrate system with discrete dislocation plasticity analysis: a simple model for nano-indentation size effect [J]. International Journal of Solids and Structures, 2010, 47(22/23): 3103–3114. [23] HUANG M S, TONG J, LI Z H. A study of fatigue crack tip characteristics using discrete dislocation dynamics [J]. International Journal of Plasticity, 2014, 54: 229–246. doi: 10.1016/j.ijplas.2013.08.016 [24] BENZERGA A A, BRCHET Y, NEEDLEMAN A, et al. Incorporating three-dimensional mechanisms into two-dimensional dislocation dynamics [J]. Modelling and Simulation in Materials Science and Engineering, 2004, 12(1): 159–196. doi: 10.1088/0965-0393/12/1/014 [25] BENZERGA A A. Micro-pillar plasticity: 2.5D mesoscopic simulations [J]. Journal of the Mechanics and Physics of Solids, 2009, 57(9): 1459–1469. doi: 10.1016/j.jmps.2009.06.003 [26] KUBIN L P, CANOVA G, CONDAT M, et al. Dislocation microstructures and plastic flow: a 3D simulation [J]. Solid State Phenomena, 1992, 23/24: 455–472. doi: 10.4028/www.scientific.net/SSP.23-24.455 [27] BULATOV V V, CAI W. Computer simulations of dislocations [M]. New York: Oxford University Press, 2006. [28] EL-AWADY J A, BULENT BINER S, GHONIEM N M. A self-consistent boundary element, parametric dislocation dynamics formulation of plastic flow in finite volumes [J]. Journal of the Mechanics and Physics of Solids, 2008, 56(5): 2019–2035. doi: 10.1016/j.jmps.2007.11.002 [29] ZBIB H M, DIAZ DE LA RUBIA T, BULATOV V. A multiscale model of plasticity based on discrete dislocation dynamics [J]. Journal of Engineering Materials and Technology, 2002, 124(1): 78–87. doi: 10.1115/1.1421351 [30] GIESSEN E V D, NEEDLEMAN A. Discrete dislocation plasticity: a simple planar model [J]. Modelling and Simulation in Materials Science and Engineering, 1995, 3(5): 689–735. doi: 10.1088/0965-0393/3/5/008 [31] ZHOU C Z, BINER S B, LESAR R. Discrete dislocation dynamics simulations of plasticity at small scales [J]. Acta Materialia, 2010, 58(5): 1565–1577. doi: 10.1016/j.actamat.2009.11.001 [32] VATTRÉ A, DEVINCRE B, FEYEL F, et al. Modelling crystal plasticity by 3D dislocation dynamics and the finite element method: the discrete-continuous model revisited [J]. Journal of the Mechanics and Physics of Solids, 2014, 63: 491–505. doi: 10.1016/j.jmps.2013.07.003 [33] CUI Y N, LIU Z L, ZHUANG Z. Quantitative investigations on dislocation based discrete-continuous model of crystal plasticity at submicron scale [J]. International Journal of Plasticity, 2015, 69: 54–72. doi: 10.1016/j.ijplas.2015.02.002 [34] ZBIB H M, DIAZ DE LA RUBIA T. A multiscale model of plasticity [J]. International Journal of Plasticity, 2002, 18(9): 1133–1163. doi: 10.1016/S0749-6419(01)00044-4 [35] LEMARCHAND C, DEVINCRE B, KUBIN L P. Homogenization method for a discrete-continuum simulation of dislocation dynamics [J]. Journal of the Mechanics and Physics of Solids, 2001, 49(9): 1969–1982. doi: 10.1016/S0022-5096(01)00026-6 [36] GAO Y, LIU Z L, YOU X C, et al. A hybrid multiscale computational framework of crystal plasticity at submicron scales [J]. Computational Materials Science, 2010, 49(3): 672–681. doi: 10.1016/j.commatsci.2010.06.010 [37] CUI Y N, LIU Z L, ZHUANG Z. Theoretical and numerical investigations on confined plasticity in micropillars [J]. Journal of the Mechanics and Physics of Solids, 2015, 76: 127–143. doi: 10.1016/j.jmps.2014.12.008 [38] HIRTH J P, ZBIB H M, LOTHE J. Forces on high velocity dislocations [J]. Modelling and Simulation in Materials Science and Engineering, 1998, 6(2): 165–169. doi: 10.1088/0965-0393/6/2/006 [39] GURRUTXAGA-LERMA B. The role of the mobility law of dislocations in the plastic response of shock loaded pure metals [J]. Modelling and Simulation in Materials Science and Engineering, 2016, 24(6): 065006. doi: 10.1088/0965-0393/24/6/065006 [40] WANG Z Q, BEYERLEIN I J, LESAR R. Dislocation motion in high strain-rate deformation [J]. Philosophical Magazine, 2007, 87(16): 2263–2279. doi: 10.1080/14786430601153422 [41] SHEHADEH M A, BRINGA E M, ZBIB H M, et al. Simulation of shock-induced plasticity including homogeneous and heterogeneous dislocation nucleations [J]. Applied Physics Letters, 2006, 89(17): 171918. doi: 10.1063/1.2364853 [42] GURRUTXAGA-LERMA B, BALINT D S, DINI D, et al. The mechanisms governing the activation of dislocation sources in aluminum at different strain rates [J]. Journal of the Mechanics and Physics of Solids, 2015, 84: 273–292. doi: 10.1016/j.jmps.2015.08.008 [43] GURRUTXAGA-LERMA B, BALINT D S, DINI D, et al. The role of homogeneous nucleation in planar dynamic discrete dislocation plasticity [J]. Journal of Applied Mechanics, 2015, 82(7): 071008. doi: 10.1115/1.4030320 [44] TSCHOPP M A, SPEAROT D E, MCDOWELL D L. Atomistic simulations of homogeneous dislocation nucleation in single crystal copper [J]. Modelling and Simulation in Materials Science and Engineering, 2007, 15(7): 693–709. doi: 10.1088/0965-0393/15/7/001 [45] SPEAROT D E, TSCHOPP M A, MCDOWELL D L. Orientation and rate dependence of dislocation nucleation stress computed using molecular dynamics [J]. Scripta Materialia, 2009, 60(8): 675–678. doi: 10.1016/j.scriptamat.2008.12.037 [46] AUSTIN R A, MCDOWELL D L. A dislocation-based constitutive model for viscoplastic deformation of fcc metals at very high strain rates [J]. International Journal of Plasticity, 2011, 27(1): 1–24. doi: 10.1016/j.ijplas.2010.03.002 [47] AUSTIN R A, MCDOWELL D L. Parameterization of a rate-dependent model of shock-induced plasticity for copper, nickel, and aluminum [J]. International Journal of Plasticity, 2012, 32/33: 134–154. doi: 10.1016/j.ijplas.2011.11.002 [48] LLOYD J T, CLAYTON J D, AUSTIN R A, et al. Plane wave simulation of elastic-viscoplastic single crystals [J]. Journal of the Mechanics and Physics of Solids, 2014, 69: 14–32. doi: 10.1016/j.jmps.2014.04.009 [49] HU J Q, LIU Z L, VAN DER GIESSEN E, et al. Strain rate effects on the plastic flow in submicron copper Pillars: considering the influence of sample size and dislocation nucleation [J]. Extreme Mechanics Letters, 2017, 17: 33–37. doi: 10.1016/j.eml.2017.09.011 [50] MEYERS M A. Dynamic behavior of materials [M]. New York, USA: John Wiley & Sons, 1994. [51] HU J Q, LIU Z L, CHEN K G, et al. Investigations of shock-induced deformation and dislocation mechanism by a multiscale discrete dislocation plasticity model [J]. Computational Materials Science, 2017, 131: 78–85. doi: 10.1016/j.commatsci.2017.01.035 [52] CAO B Y, BRINGA E M, MEYERS M A. Shock compression of monocrystalline copper: atomistic simulations [J]. Metallurgical and Materials Transactions A, 2007, 38(11): 2681–2688. doi: 10.1007/s11661-007-9248-9 [53] MEYERS M A, GREGORI F, KAD B K, et al. Laser-induced shock compression of monocrystalline copper: characterization and analysis [J]. Acta Materialia, 2003, 51(5): 1211–1228. doi: 10.1016/S1359-6454(02)00420-2 [54] GURRUTXAGA-LERMA B, BALINT D S, DINI D, et al. Attenuation of the dynamic yield point of shocked aluminum using elastodynamic simulations of dislocation dynamics [J]. Physical Review Letters, 2015, 114(17): 174301. doi: 10.1103/PhysRevLett.114.174301 [55] GURRUTXAGA-LERMA B, SHEHADEH M A, BALINT D S, et al. The effect of temperature on the elastic precursor decay in shock loaded FCC aluminium and BCC iron [J]. International Journal of Plasticity, 2017, 96: 135–155. doi: 10.1016/j.ijplas.2017.05.001 [56] YANG L H, TANG M J, MORIARTY J A. Chapter 92 dislocations and plasticity in bcc transition metals at high pressure [M]//Dislocations in Solids. Elsevier, 2010: 1–46. [57] HU J Q, CHEN Z, LIU Z L, et al. Pressure sensitivity of dislocation density in copper single crystals at submicron scale [J]. Materials Research Express, 2018, 5(1): 016504. doi: 10.1088/2053-1591/aaa0b8 [58] LAZAR M, PELLEGRINI Y P. Distributional and regularized radiation fields of non-uniformly moving straight dislocations, and elastodynamic Tamm problem [J]. Journal of the Mechanics and Physics of Solids, 2016, 96: 632–659. doi: 10.1016/j.jmps.2016.07.011 [59] NI L, MARKENSCOFF X. The self-force and effective mass of a generally accelerating dislocation Ⅰ: screw dislocation [J]. Journal of the Mechanics and Physics of Solids, 2008, 56(4): 1348–1379. doi: 10.1016/j.jmps.2007.09.002 [60] XIONG L M, RIGELESAIYIN J, CHEN X, et al. Coarse-grained elastodynamics of fast moving dislocations [J]. Acta Materialia, 2016, 104: 143–155. doi: 10.1016/j.actamat.2015.11.037 [61] GURRUTXAGA-LERMA B, BALINT D S, DINI D, et al. A dynamic discrete dislocation plasticity method for the simulation of plastic relaxation under shock loading [J]. Proceedings of the Royal Society A: Mathematical, Physical and Engineering Sciences, 2013, 469(2156): 20130141. doi: 10.1098/rspa.2013.0141 [62] CLIFTON R J, MARKENSCOFF X. Elastic precursor decay and radiation from nonuniformly moving dislocations [J]. Journal of the Mechanics and Physics of Solids, 1981, 29(3): 227–251. doi: 10.1016/0022-5096(81)90028-4 [63] CUI Y N, PO G, PELLEGRINI Y P, et al. Computational 3-dimensional dislocation elastodynamics [J]. Journal of the Mechanics and Physics of Solids, 2019, 126: 20–51. doi: 10.1016/j.jmps.2019.02.008 [64] ARGON A, PRINZ F, MOFFATT W. Dislocation creep in subgrain-forming pure metals and alloys [J]. Creep and Fracture of Engineering Materials and Structures, 1981: 1–15. [65] AMODEO R J, GHONIEM N M. Dislocation dynamics.Ⅰ. a proposed methodology for deformation micromechanics [J]. Physical Review B, 1990, 41(10): 6958. doi: 10.1103/PhysRevB.41.6958 [66] CAILLARD D, MARTIN J L. Thermally activated mechanisms in crystal plasticity [M]. The Netherlands: Elsevier, 2003. [67] FERRONI F, YI X O, ARAKAWA K, et al. High temperature annealing of ion irradiated tungsten [J]. Acta Materialia, 2015, 90: 380–393. doi: 10.1016/j.actamat.2015.01.067 [68] MURAKUMO T, KOBAYASHI T, KOIZUMI Y, et al. Creep behaviour of Ni-base single-crystal superalloys with various γ' volume fraction [J]. Acta Materialia, 2004, 52(12): 3737–3744. doi: 10.1016/j.actamat.2004.04.028 [69] WANG J, HOAGLAND R G, MISRA A. Room-temperature dislocation climb in metallic interfaces [J]. Applied Physics Letters, 2009, 94(13): 131910. doi: 10.1063/1.3111137 [70] LEE G, KIM J Y, BUREK M J, et al. Plastic deformation of indium nanostructures [J]. Materials Science and Engineering A, 2011, 528(19/20): 6112–6120. [71] ASHKENAZY Y, AVERBACK R S. Irradiation induced grain boundary flow: a new creep mechanism at the nanoscale [J]. Nano Letters, 2012, 12(8): 4084–4089. doi: 10.1021/nl301554k [72] HIRTH J P, LOTHE J. Theory of dislocations [M]. 2nd ed. New York: Wiley, 1982: 1–800. [73] GEERS M G D, COTTURA M, APPOLAIRE B, et al. Coupled glide-climb diffusion-enhanced crystal plasticity [J]. Journal of the Mechanics and Physics of Solids, 2014, 70: 136–153. doi: 10.1016/j.jmps.2014.05.007 [74] KERALAVARMA S M, CAGIN T, ARSENLIS A, et al. Power-law creep from discrete dislocation dynamics [J]. Physical Review Letters, 2012, 109(26): 265504. doi: 10.1103/PhysRevLett.109.265504 [75] BAKÓ B, CLOUET E, DUPUY L M, et al. Dislocation dynamics simulations with climb: kinetics of dislocation loop coarsening controlled by bulk diffusion [J]. Philosophical Magazine, 2011, 91(23): 3173–3191. doi: 10.1080/14786435.2011.573815 [76] KERALAVARMA S M, BENZERGA A A. High-temperature discrete dislocation plasticity [J]. Journal of the Mechanics and Physics of Solids, 2015, 82: 1–22. [77] DAVOUDI K M, NICOLA L, VLASSAK J J. Dislocation climb in two-dimensional discrete dislocation dynamics [J]. Journal of Applied Physics, 2012, 111(10): 103522. doi: 10.1063/1.4718432 [78] LIU F X, LIU Z L, LIN P, et al. Numerical investigations of helical dislocations based on coupled glide-climb model [J]. International Journal of Plasticity, 2017, 92: 2–18. doi: 10.1016/j.ijplas.2017.02.015 [79] MORDEHAI D, CLOUET E, FIVEL M, et al. Annealing of dislocation loops in dislocation dynamics simulations [J]. IOP Conference Series: Materials Science and Engineering, 2009, 3: 012001. doi: 10.1088/1757-899X/3/1/012001 [80] AYAS C, DESHPANDE V. Climb enabled discrete dislocation plasticity of superalloys [J]. Key Engineering Materials, 2015, 651/652/653: 981–986. [81] GU Y J, XIANG Y, QUEK S S, et al. Three-dimensional formulation of dislocation climb [J]. Journal of the Mechanics and Physics of Solids, 2015, 83: 319–337. doi: 10.1016/j.jmps.2015.04.002 [82] MORDEHAI D, CLOUET E, FIVEL M, et al. Introducing dislocation climb by bulk diffusion in discrete dislocation dynamics [J]. Philosophical Magazine, 2008, 88(6): 899–925. doi: 10.1080/14786430801992850 [83] GAO Y, ZHUANG Z, LIU Z L, et al. Investigations of pipe-diffusion-based dislocation climb by discrete dislocation dynamics [J]. International Journal of Plasticity, 2011, 27(7): 1055–1071. doi: 10.1016/j.ijplas.2010.11.003 [84] GAO Y, ZHUANG Z, YOU X C. A study of dislocation climb model based on coupling the vacancy diffusion theory with 3d discrete dislocation dynamics [J]. International Journal for Multiscale Computational Engineering, 2013, 11(1): 59–69. doi: 10.1615/IntJMultCompEng.2012003177 [85] CLOUET E. Predicting dislocation climb: classical modeling versus atomistic simulations [J]. Physical Review B, 2011, 84(9): 092106. doi: 10.1103/PhysRevB.84.092106 [86] HUANG M S, LI Z H, TONG J. The influence of dislocation climb on the mechanical behavior of polycrystals and grain size effect at elevated temperature [J]. International Journal of Plasticity, 2014, 61: 112–127. doi: 10.1016/j.ijplas.2014.06.002 [87] YANG H, HUANG M S, LI Z H. The influence of vacancies diffusion-induced dislocation climb on the creep and plasticity behaviors of nickel-based single crystal superalloy [J]. Computational Materials Science, 2015, 99: 348–360. doi: 10.1016/j.commatsci.2014.12.035 [88] GHONIEM N M, TONG S H, SUN L Z. Parametric dislocation dynamics: a thermodynamics-based approach to investigations of mesoscopic plastic deformation [J]. Physical Review B, 2000, 61(2): 913. doi: 10.1103/PhysRevB.61.913 [89] LIU F X, LIU Z L, PEI X Y, et al. Modeling high temperature anneal hardening in Au submicron pillar by developing coupled dislocation glide-climb model [J]. International Journal of Plasticity, 2017, 99: 102–119. doi: 10.1016/j.ijplas.2017.09.003 [90] MARIAN J, FITZGERALD S, PO G. Discrete dislocation dynamics simulations of irradiation hardening in nuclear materials [M]//Handbook of Materials Modeling. Cham: Springer International Publishing, 2018: 1–29. [91] CUI Y N, PO G, GHONIEM N. Does irradiation enhance or inhibit strain bursts at the submicron scale? [J]. Acta Materialia, 2017, 132: 285–297. doi: 10.1016/j.actamat.2017.04.055 [92] ARSENLIS A, RHEE M, HOMMES G, et al. A dislocation dynamics study of the transition from homogeneous to heterogeneous deformation in irradiated body-centered cubic iron [J]. Acta Materialia, 2012, 60(9): 3748–3757. doi: 10.1016/j.actamat.2012.03.041 [93] RUBIA T D D L, ZBIB H M, KHRAISHI T A, et al. Multiscale modelling of plastic flow localization in irradiated materials [J]. Nature, 2000, 406(6798): 871–874. doi: 10.1038/35022544 [94] GHONIEM N M, TONG S H, SINGH B N, et al. On dislocation interaction with radiation-induced defect clusters and plastic flow localization in fcc metals [J]. Philosophical Magazine A, 2001, 81(11): 2743–2764. doi: 10.1080/01418610108216667 [95] OSETSKY Y N, RODNEY D, BACON D J. Atomic-scale study of dislocation-stacking fault tetrahedron interactions. Part Ⅰ: mechanisms [J]. Philosophical Magazine, 2006, 86(16): 2295–2313. doi: 10.1080/14786430500513783 [96] TERENTYEV D, MONNET G, GRIGOREV P. Transfer of molecular dynamics data to dislocation dynamics to assess dislocation-dislocation loop interaction in iron [J]. Scripta Materialia, 2013, 69(8): 578–581. doi: 10.1016/j.scriptamat.2013.06.026 [97] CUI Y N, PO G, GHONIEM N M. A coupled dislocation dynamics-continuum barrier field model with application to irradiated materials [J]. International Journal of Plasticity, 2018, 104: 54–67. doi: 10.1016/j.ijplas.2018.01.015 [98] SOBIE C, BERTIN N, CAPOLUNGO L. Analysis of obstacle hardening models using dislocation dynamics: application to irradiation-induced defects [J]. Metallurgical and Materials Transactions A, 2015, 46(8): 3761–3772. doi: 10.1007/s11661-015-2935-z [99] MONNET G. New insights into radiation hardening in face-centered cubic alloys [J]. Scripta Materialia, 2015, 100: 24–27. doi: 10.1016/j.scriptamat.2014.12.003 [100] GHONIEM N M, SINGH B N, SUN L Z, et al. Interaction and accumulation of glissile defect clusters near dislocations [J]. Journal of Nuclear Materials, 2000, 276(1/2/3): 166–177. [101] RODNEY D, MARTIN G, BRÉCHET Y. Irradiation hardening by interstitial loops: atomistic study and micromechanical model [J]. Materials Science and Engineering: A, 2001, 309/310: 198–202. doi: 10.1016/S0921-5093(00)01723-8 [102] OSETSKY Y N, STOLLER R E, RODNEY D, et al. Atomic-scale details of dislocation-stacking fault tetrahedra interaction [J]. Materials Science and Engineering A, 2005, 400/401: 370–373. doi: 10.1016/j.msea.2005.03.038 [103] PATRA A, MCDOWELL D L. Crystal plasticity investigation of the microstructural factors influencing dislocation channeling in a model irradiated bcc material [J]. Acta Materialia, 2016, 110: 364–376. doi: 10.1016/j.actamat.2016.03.041 [104] CUI Y N, PO G, GHONIEM N. Size-tuned plastic flow localization in irradiated materials at the submicron scale [J]. Physical Review Letters, 2018, 120(21): 215501. doi: 10.1103/PhysRevLett.120.215501 [105] CUI Y N, PO G, GHONIEM N. Suppression of localized plastic flow in irradiated materials [J]. Scripta Materialia, 2018, 154: 34–39. doi: 10.1016/j.scriptamat.2018.04.046 -

下载: