Influence of External Conditions on Implosion Shock Wave of Hollow Structure
-
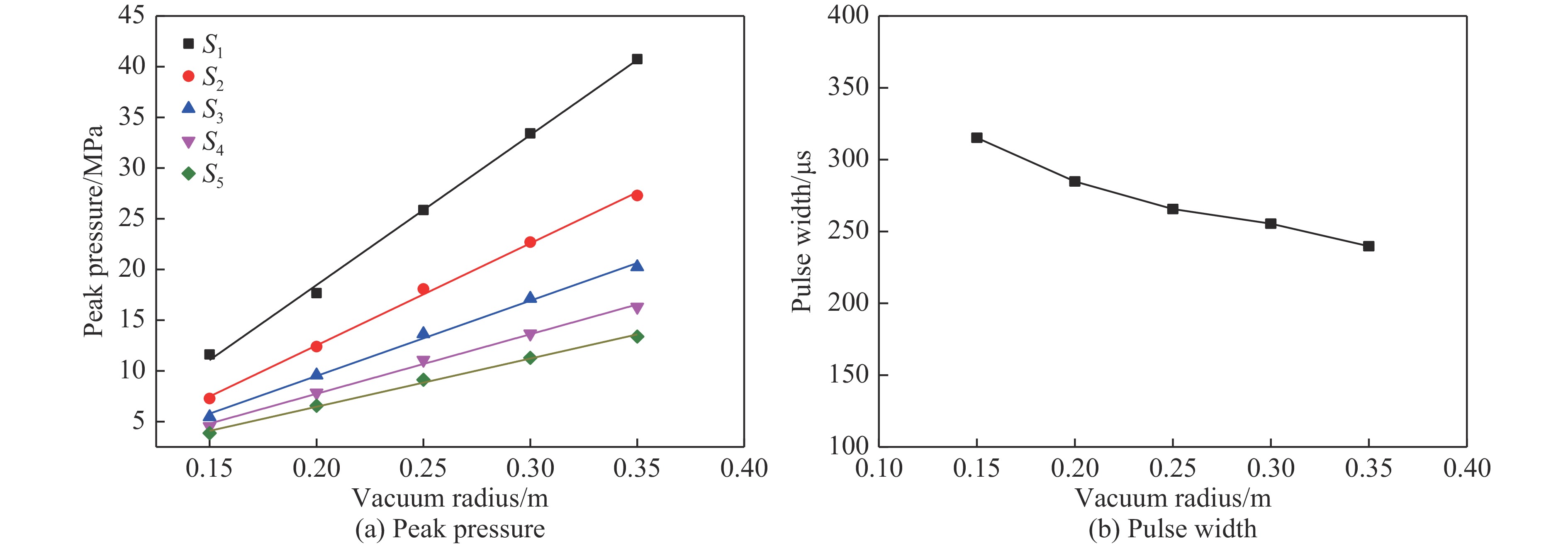
摘要: 在深水中工作的中空结构物承受巨大的静水压,突然被压溃时会发生内爆,产生冲击波,对周围结构造成损伤。针对内爆冲击波受静水压力、真空体积影响机理不清的问题,开展了光电倍增管水下内爆试验,验证了ABAQUS中CEL耦合计算方法满足光电倍增管内爆模拟精度的要求,并通过数值模拟分析了外界静水压、中空结构物的真空体积对内爆冲击波的影响规律。结果表明:随着静水压、真空体积的增加,冲击波压力峰值呈线性增加,且距离内爆中心越远,冲击波峰值增加越缓慢;冲击波脉宽随静水压力的增加基本保持不变,随真空半径的增加缓慢降低。Abstract: The hollow structure working in deep water is subjected to huge hydrostatic pressure. When it is suddenly crushed, it will explode and generate shock waves, and cause damages to the surrounding structure. Aiming at the problem that the implosion shock wave is affected unclearly by hydrostatic pressure and vacuum volume, the underwater implosion test of photomultiplier tube (PMT) was carried out. It was verified that the CEL coupling calculation method in ABAQUS satisfies the requirements of PMT implosion simulation accuracy, and then the effects of external hydrostatic pressure and vacuum volume of hollow structures on implosion shock waves were analyzed by simulation. The results show that with the increase of hydrostatic pressure and vacuum volume, the peak value of the shock wave increases linearly, and the farther away from the implosion center, the slower the increase of peak value of the shock wave. The pulse width of the shock wave remains basically unchanged with the increase of hydrostatic pressure, and decreases slowly with the increase of vacuum radius.
-
表 1 试验和模拟得到的冲击波压力峰值对比
Table 1. Comparison of tested and simulated shock wave pressure peaks
Measuring point Pressure peak/MPa Error/% Test Simulation F1 14.63 11.28 22.90 F2 7.68 5.53 27.90 F3 6.18 5.53 10.51 F4 3.19 2.49 21.90 表 2 拟合系数值
Table 2. Fitting coefficient values
Hydrostatic pressure/MPa a b 0.3 4.216 −1.067 0.4 4.957 −1.096 0.5 5.761 −1.084 0.6 6.488 −1.079 0.7 7.001 −1.107 表 3 拟合系数值
Table 3. Fitting coefficient values
Measuring point distance/m c d 0.25 34.075 8.631 0.35 23.771 6.004 0.45 17.434 4.770 0.55 14.026 3.932 0.65 11.409 3.338 表 4 拟合系数值
Table 4. Fitting coefficient values
Measuring point distance/m m n 0.25 147.97 −11.125 0.35 100.68 −7.623 0.45 74.26 −5.351 0.55 58.72 −3.998 0.65 47.55 −3.045 -
[1] HARBEN P E, BORO C. Implosion source development and diego garcia reflections [C]//23rd Seismic Research Review Worldwide Monitoring of Nuclear Explosions. Jackson Hole, WY, 2001: 21−23. [2] TACEY R K. Implosion research [J]. Sea Frame, 2008, 4(1): 13–15. [3] LING J J, MARY B, MILIND D. Implosion chain reaction mitigation in underwater assemblies of photomultiplier tubes [J]. Nuclear Instruments and Methods in Physics Research, 2013, 729: 491–499. doi: 10.1016/j.nima.2013.07.056 [4] 曹俊. 大亚湾与江门中微子试验 [J]. 中国科学(物理学 力学 天文学), 2014, 44(10): 1025–1040.CAO J. Daya bay and Jiangmen underground neutrino observatory (JUNO) neutrino experiments [J]. Scientia Sinica Physica, Mechanica & Astronomica, 2014, 44(10): 1025–1040. [5] 吉村太彦. 超级神冈事故原因究明等委员会报告 [R]. 日本: 宇宙科学研究所, 2002.YOSHIMURA M. Report on the Super-Kamiokande accident [R]. Japan: Institute of Space and Astronautical Science, 2002. [6] NAVAL U W C. Underwater implosion of cylindrical metal tubes [J]. Journal of Applied Mechanics, 2013, 80: 1–11. [7] DIWAN M, DOLPH J, LING J J, et al. Underwater implosions of large format photo-multiplier tubes [J]. Nuclear Instruments and Methods in Physics Research Section A: Accelerators, Spectrometers, Detectors and Associated Equipment, 2012, 670: 61–67. [8] 杜志鹏, 杜俭业, 李营, 等. 不可压缩流体中球型容器内爆理论模型研究 [J]. 兵工学报, 2015, 36(Suppl 1): 92–96.DU Z P, DU J Y, LI Y, et al. An implosion theory for the spherical hollow vessel in the incompressible fluid [J]. Acta Armamentarii, 2015, 36(Suppl 1): 92–96. [9] 黄治新, 喻敏, 杜志鹏, 等. 水下中空结构物内爆试验方法研究 [J]. 振动与冲击, 2017, 36(3): 27–31.HUANG Z X, YU M, DU Z P, et al. Implosion test method for underwater hollow structures [J]. Journal of Vibrtion and Shock, 2017, 36(3): 27–31. -

下载: