Dynamic Response Analysis of Buried X70 Steel Pipe near Weld Zone under Blast Loads
-
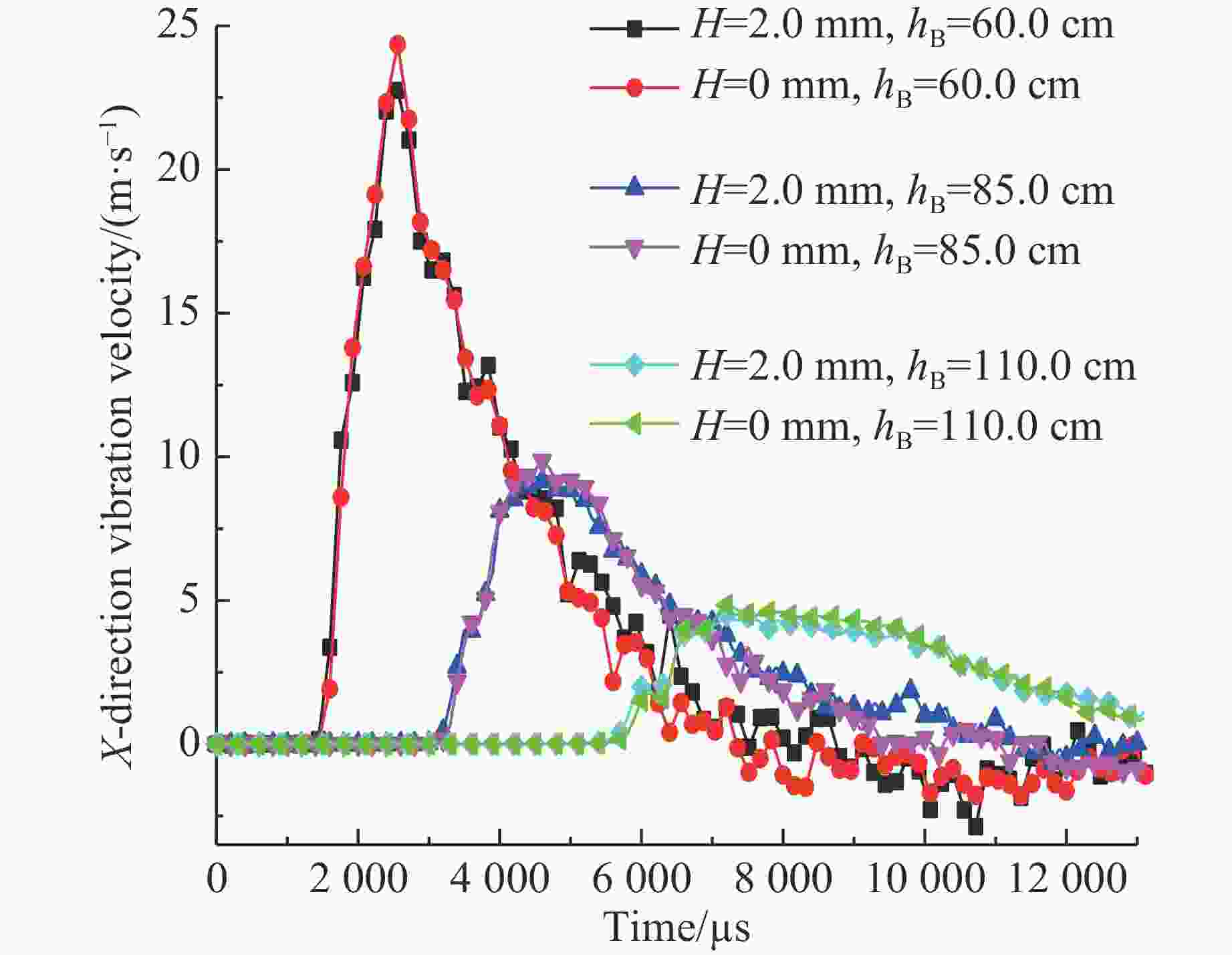
摘要: 爆破地震效应对埋地管线的影响已成为工程爆破领域研究的热点。基于有限元软件ANSYS/LS-DYNA,以两种含Y型焊缝(坡口有2 mm余高焊缝和坡口无余高焊缝)的埋地X70钢管为例,数值模拟研究了TNT炸药量相同(4.473 kg)而炸高(60.0、85.0和110.0 cm)不同时,焊缝区附近埋地X70钢管的动力响应规律。研究表明:当炸高为60.0 cm时,焊缝有余高的管道受应力集中的影响较大,且先于焊缝无余高的管道进入屈服阶段;当炸高为60.0和85.0 cm时,焊缝有余高的管道整体抵抗变形的能力明显弱于焊缝无余高的管道。管土间的相互作用对X70管道背爆面有支撑作用,可有效地减小管道背爆面的位移。在相同条件下,焊缝有余高的X70管道抵抗振动的性能弱于焊缝无余高的管道,且与焊缝形式相比,炸高对含焊缝区的X70管道的最大振速起主要影响作用。Abstract: The influence of blasting seismic effect on buried pipes has been an important research hotspot in the field of engineering blasting. Taking two kinds of buried X70 steel pipes with Y-type welds (groove with 2 mm weld reinforcement and groove without weld reinforcement) as examples, the dynamic behaviors of buried X70 steel pipes near the weld zone under blast loads were studied numerically by the finite element software ANSYS/LS-DYNA. The blast loads are formed by detonating 4.473 kg TNT with different blast heights (60.0, 85.0 and 110.0 cm). The results show that when the blast height is 60.0 cm, the pipe with weld reinforcement is greatly affected by stress concentration and that it yields earlier than the pipe without weld reinforcement. When the blast heights are 60.0 cm and 85.0 cm, the ability of the pipe with weld reinforcement to resist deformation is significantly weaker than that of the pipe without weld reinforcement. The interaction between soil and pipe supports the explosion-back surface of the X70 pipe, which can effectively reduce the displacement of the explosion-back surface of the X70 pipe. Under the same conditions, the vibration resistance performance of the X70 pipe with weld reinforcement is weaker than that of pipe without weld reinforcement. Moreover, compared with the weld form, blast height plays an important role in the maximum vibration velocity of the X70 pipe near weld zone.
-
Key words:
- blast loads /
- X70 steel pipe /
- buried pipeline /
- dynamic response
-
表 1 计算工况
Table 1. Calculation conditions
Weld type Buried depth of pipeline/m Size of TNT/(cm × cm × cm) hB/cm No weld reinforcement (H = 0) 1.5 14.0 × 14.0 × 14.0 60.0, 85.0, 110.0 Weld reinforcement (H = 2.0 mm) 1.5 14.0 × 14.0 × 14.0 60.0, 85.0, 110.0 ρz/(g·cm–3) D/(m·s–1) p/GPa A/GPa B/GPa R1 R2 ω E/(J·cm–3) 1.58 6 930 21 373.77 3.75 4.15 0.90 0.35 6 000 ρt/(g·cm–3) G/MPa K/MPa a0/Pa2 a1/Pa a2 1.8 41.14 87.87 2.12 × 108 5.23 × 103 3.22 × 10–2 表 5 埋地X70管道的迎爆面和背爆面的最大位移
Table 5. Maximum displacement of explosion-front and explosion-back surfaces of buried X70 pipeline
Types of weld hB/cm Maximum displacement/cm Explosion-front surface Explosion-back surface Weld reinforcement (H = 2.0 mm) 60.0 5.482 0.846 85.0 3.179 0.455 110.0 2.464 0.220 No weld reinforcement (H = 0) 60.0 5.212 0.943 85.0 2.912 0.570 110.0 2.340 0.290 表 6 不同炸高时埋地X70管道的最大等效应变
Table 6. Maximum effective strain of buried X70 pipeline with different blasting heights
Types of weld hB/cm Peak effective strain/10–3 Weld reinforcement
(H = 2.0 mm)60.0 9.937 85.0 4.162 110.0 2.251 No weld reinforcement
(H = 0)60.0 6.877 85.0 2.673 110.0 1.656 表 7 埋地X70管道的迎爆面和背爆面最大振速
Table 7. Maximum vibration velocity of explosion-front and explosion-back surfaces of buried X70 pipeline
Types of weld hB/cm Maximum vibration velocity/(m·s–1) Explosion-front surface Explosion-back surface Weld reinforcement (H = 2.0 mm) 60.0 22.748 4.431 85.0 9.316 2.817 110.0 4.503 1.693 No weld reinforcement (H = 0) 60.0 24.348 4.294 85.0 9.855 2.867 110.0 4.832 1.746 -
[1] 董绍华, 韩忠晨, 刘刚. 管道系统完整性评估技术进展及应用对策 [J]. 油气储运, 2014, 33(2): 121–128.DONG S H, HAN Z C, LIU G. Advancement and application measures of pipeline integrity assessment technology [J]. Oil & Gas Storage and Transportation, 2014, 33(2): 121–128. [2] 张震, 周传波, 路世伟, 等. 爆破振动作用下邻近埋地混凝土管道动力响应特性 [J]. 哈尔滨工业大学学报, 2017, 46(9): 79–84. doi: 10.11918/j.issn.0367-6234.201611089ZHANG Z, ZHOU C B, LU S W, et al. Dynamic response characteristic of adjacent buried concrete pipeline subjected to blasting vibration [J]. Journal of Harbin Institute of Technology, 2017, 46(9): 79–84. doi: 10.11918/j.issn.0367-6234.201611089 [3] 钟冬望, 黄雄, 卢哲, 等. 爆破荷载作用下不同尺寸埋地钢管的动态响应实验研究 [J]. 科学技术与工程, 2018, 18(13): 219–223. doi: 10.3969/j.issn.1671-1815.2018.13.035ZHONG D W, HUANG X, LU Z, et al. Experimental study on dynamic response of buried steel tubes with different sizes under blasting loading [J]. Science Technology and Engineering, 2018, 18(13): 219–223. doi: 10.3969/j.issn.1671-1815.2018.13.035 [4] 都的箭, 马书广, 杨惊东. 埋地管道爆炸地冲击作用的试验研究 [J]. 工程爆破, 2006, 12(2): 19–23. doi: 10.3969/j.issn.1006-7051.2006.02.006DU D J, MA S G, YANG J D. Experimental study of dynamical stress of buried pipelines under explosion ground shock waves [J]. Engineering Blasting, 2006, 12(2): 19–23. doi: 10.3969/j.issn.1006-7051.2006.02.006 [5] JI C, SONG K J, GAO F Y, et al. Experimental and numerical studies on the deformation and tearing of X70 pipelines subjected to localized blast loading [J]. Thin-Walled Structures, 2016, 107: 156–168. doi: 10.1016/j.tws.2016.03.010 [6] QU Y D, LIU W L, GWARZO M, et al. Parametric study of anti-explosion performance of reinforced concrete T-shaped beam strengthened with steel plates [J]. Construction and Building Materials, 2017, 156(15): 692–707. [7] 曲艳东, 刘万里, 翟诚, 等. 水下爆破破冰爆炸冲击波传播规律数值分析 [J]. 爆破, 2017, 34(2): 100–104. doi: 10.3963/j.issn.1001-487X.2017.02.019QU Y D, LIU W L, ZHAI C, et al. Numerical simulation of propagation law of shock waves in process of breaking ice by underwater blasting [J]. Blasting, 2017, 34(2): 100–104. doi: 10.3963/j.issn.1001-487X.2017.02.019 [8] 梁政, 张澜, 张杰. 地面爆炸载荷下埋地管道动力响应分析 [J]. 安全与环境学报, 2016, 16(3): 158–163.LIANG Z, ZHANG L, ZHANG J. Dynamic response analysis of the underground-buried pipeline under the ground-surface explosive load [J]. Journal of Safety and Environment, 2016, 16(3): 158–163. [9] 房冲. 内空和充水管道在爆炸冲击荷载下的数值模拟分析 [J]. 山西建筑, 2017, 43(11): 130–132. doi: 10.3969/j.issn.1009-6825.2017.11.071FANG C. The numerical simulation analysis of inner air pipes and water-filled pipes on the basis of explosive blast [J]. Shanxi Architecture, 2017, 43(11): 130–132. doi: 10.3969/j.issn.1009-6825.2017.11.071 [10] 余洋, 纪冲, 周游, 等. 侧向局部爆炸荷载下钢质方管的损伤破坏及影响因素研究 [J]. 振动与冲击, 2018, 37(15): 191–198.YU Y, JI C, ZHOU Y, et al. Damage and failure of steel square tubes under lateral local explosion loading and their influencing factors [J]. Journal of Vibration and Shock, 2018, 37(15): 191–198. [11] 杨天冰, 郭瑞杰. X70管道环焊缝接头残余应力数值模拟 [J]. 电焊机, 2008, 38(11): 9–14. doi: 10.3969/j.issn.1001-2303.2008.11.004YANG T B, GUO R J. Residual stress simulation of X70 pipeline girth welding joint [J]. Electric Welding Machine, 2008, 38(11): 9–14. doi: 10.3969/j.issn.1001-2303.2008.11.004 [12] 曲艳东, 杨尚, 李思宇, 等. TNT炸药爆炸场中三波点的数值模拟 [J]. 工程爆破, 2019, 25(1): 1–6. doi: 10.3969/j.issn.1006-7051.2019.01.001QU Y D, YANG S, LI S Y, et al. Numerical simulation of triple point in the explosion field of TNT explosive [J]. Engineering Blasting, 2019, 25(1): 1–6. doi: 10.3969/j.issn.1006-7051.2019.01.001 [13] 李海超, 魏连雨, 常春伟. 黄土中爆炸挤密实验与数值模拟 [J]. 爆炸与冲击, 2018, 38(2): 289–294. doi: 10.11883/byzcj-2016-0251LI H C, WEI L Y, CHANG C W. Experiment and numerical simulation of explosion compaction in loess [J]. Explosion and Shock Waves, 2018, 38(2): 289–294. doi: 10.11883/byzcj-2016-0251 [14] 杨秀敏. 爆炸冲击现象数值模拟 [M]. 合肥: 中国科学技术大学出版社, 2010: 335–338.YANG X M. Numerical simulation for explosion and phenomena [M]. Hefei: China University of Science and Technology Press, 2010: 335–338. [15] 倪玲英, 郎健, 陈良路. 爆炸载荷作用下海底管道动力响应数值模拟 [J]. 油气储运, 2018, 37(2): 222–227.NI L Y, LANG J, CHEN L L. Numerical simulation on the dynamic response of submarine pipelines under blast loading [J]. Oil & Gas Storage and Transportation, 2018, 37(2): 222–227. [16] 姚安林, 赵师平, 么惠全, 等. 地下爆炸对埋地输气管道冲击响应的数值分析 [J]. 西南石油大学学报(自然科学版), 2009, 31(4): 168–172. doi: 10.3863/j.issn.1674-5086.2009.04.037YAO A L, ZHAO S P, YAO H Q, et al. Numerical simulation of response of underground explosion ground shock to buried gas pipeline [J]. Journal of Southwest Petroleum University (Science & Technology Edition), 2009, 31(4): 168–172. doi: 10.3863/j.issn.1674-5086.2009.04.037 [17] 蒋勇. 超低氢高韧性X70管线钢配套焊条CHE607GX的研制及应用 [D]. 重庆: 重庆大学, 2006: 5–46.JIANG Y. Study on ultra-low hydrogen high strength CHE607GX electrode for X70 pipeline [D]. Chongqing: Chongqing University, 2006: 5–46. [18] 邓祎楠. X70管线钢液相扩散焊数值模拟 [D]. 北京: 北京石油化工学院, 2017: 11–66.DENG Y N. Numerical simulation of transient liquid phase welding of X70 pipeline steel [D]. Beijing: Beijing Institute of Petrochemical Technology, 2017: 11–66. [19] 王福山, 孙杨, 杨鑫华. 基于Battelle结构应力法的对接接头应力集中系数回归分析 [J]. 焊接技术, 2019, 48(6): 76–80.WANG F S, SUN Y, YANG X H. Regression analysis of stress concentration coefficient of butt joint based on battelle structural stress method [J]. Welding Technology, 2019, 48(6): 76–80. [20] 黄雄. 爆破荷载作用下埋地钢管的动力响应研究 [D]. 武汉: 武汉科技大学, 2018: 17–46.HUANG X. Dynamic response of buried steel pipe subjected to blast loads [D]. Wuhan: Wuhan University of Science and Technology, 2018: 17–46. -

下载: