Dynamic Characteristics of Phase Transition of Tin under Ramp Wave Loading
-
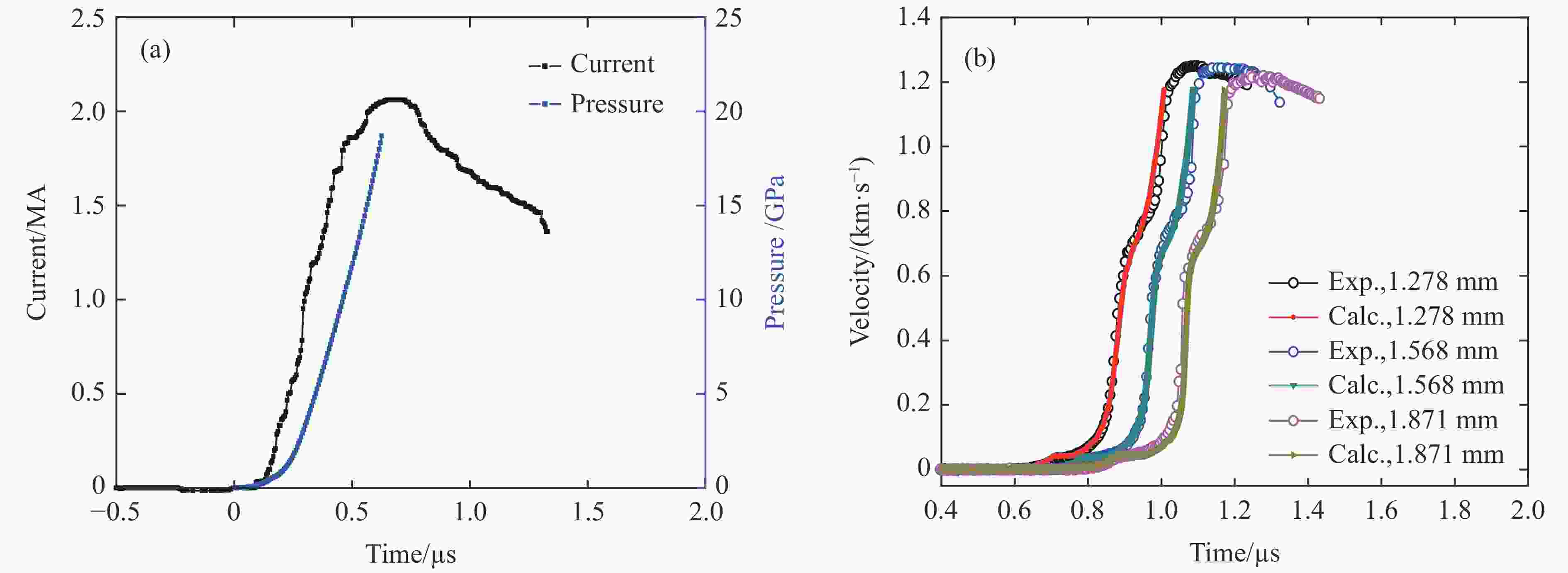
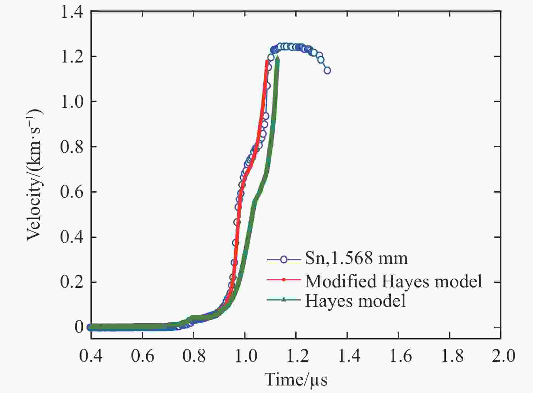
摘要: 利用磁驱动加载装置(CQ-4)和高精度速度测试装置(DPV),开展了斜波加载下锡的动态压缩实验。实验结果表明:锡在加载阶段经历了弹塑性转变和相变等物理过程,相变压力约为7.5 GPa。β–γ相变对应的特征速度随着锡厚度的增加,从676.3 m/s减小到636.8 m/s,对应的压力从7.62 GPa降低到7.11 GPa。结合Hayes多相状态方程和非平衡相变动力学模型,对锡的斜波压缩实验过程进行了模拟,数值计算结果可以较好地描述锡在加载阶段的弹塑性转变和相变等物理过程。讨论了体模量在不同热力学过程中的物理形式,计算结果显示,斜波压缩过程需考虑压力对体模量的修正。分析了相变弛豫时间、体模量等典型物理参数对速度波形的影响,结果表明,相变弛豫时间和各相初始自由能主要影响混合区部分速度波形,γ相的体模量参数只影响相变后的速度波形,β相的体模量参数会影响整体速度波形。Abstract: The dynamics of phase transition of tin under ramp wave loading was studied with experiment and simulation. The ramp wave compression experiment of tin was carried out with photonic Doppler velocimetry (PDV) and compact pulsed power generator CQ-4. The velocity wave profiles obtained experimentally show that tin undergoes physical processes such as elastoplastic transition and phase transition in the loading section, and the phase transition pressure is about 7.5 GPa. As the increase of thickness of tin, the characteristic velocity corresponding to the onset of phase transition decreased slightly from 676.3 m/s to 636.8 m/s, and the corresponding pressure was from 7.62 GPa to 7.11 GPa. The Hayes multi-phase equation of state and non-equilibrium phase transition kinetic model were employed to simulate the experimental process, and the numerical results can well describe the physical processes such as elastoplastic transformation and phase transformation in the loading section. The calculated results revealed that the correction of the bulk modulus with pressure needed to be considered under ramp wave compression. The influence of typical physical parameters, such as phase transition relaxation time and bulk modulus, on the velocity waveform was discussed. The results show that phase transition relaxation time and initial free energy mainly affect the velocity waveform in the mixing zone, the bulk modulus of the two phases affect the velocity waveform after phase transition and overall velocity waveform respectively.
-
Key words:
- phase transition /
- multi-phase equation of state /
- ramp wave loading /
- tin
-
表 1 实验条件
Table 1. Experimental condition
Exp. No. Position Material Size/(mm × mm) Plate_top left 1100Al 8.0 × 1.006 Sample_top left Sn $\varnothing $8.0 × 1.278 Plate_top right 1100Al 8.0 × 1.006 Shot 696 Sample_top right Sn $\varnothing $8.0 × 1.568 Plate_bottom left 1100Al 8.0 × 0.998 Sample_bottom left Sn $\varnothing $8.0 × 1.871 Plate_bottom right 1100Al 8.0 × 0.996 表 2 速度波剖面上的特征值
Table 2. Characteristic values of the velocity profiles
Thickness of Sn/mm uEP/(m·s–1) uPT/(m·s–1) pPT/GPa 1.278 40.0 676.3 7.62 1.568 39.6 660.0 7.41 1.871 40.2 636.8 7.11 Phase vR/(cm3·g–1) TR/K pR/GPa $\varTheta ({v_{{\rm R}}})$/K q1 BR/GPa $B_{{\rm R}}'$ Φ0/(J·kg–1) Γ/(J·kg–1·K–2) α β 0.137 2 298.15 0 180.91 1.60 58.0 2.8 0 0.015 1.0 γ 0.119 8 298.15 8.664 187.77 1.38 78.1 0.2 85.3 × 103 0.015 1.0 -
[1] DUDLEY J D, HALL H T. Experimental fusion curves of indium and tin to 105 000 atmospheres [J]. Physical Review, 1960, 118(5): 1211–1216. doi: 10.1103/PhysRev.118.1211 [2] BARNETT J D, BEAN V E, HALL H T. X-ray diffraction studies on tin to 100 kilobars [J]. Journal of Applied Physics, 1966, 37(2): 875–877. doi: 10.1063/1.1708275 [3] DESGRENIERS S, VOHRA Y K, RUOFF A L. Tin at high pressure: an energy-dispersive X-ray-diffraction study to 120 GPa [J]. Physical Review B, 1989, 39(14): 10359–10361. doi: 10.1103/PhysRevB.39.10359 [4] LIU M, LIU L G. Compressions and phase transitions of tin to half a megabar [J]. High Temperatures-High Pressures, 1986, 18: 79–85. [5] SERVAS E M. Sound-velocity doppler laser interferometry measurements on tin [C]//Shock Compression of Condensed Matter-2001. Atlanta, GA(USA): American Institute of Physics, 2002, 620: 1200–1203. [6] CHEONG B H, CHANG K J. First-principles study of the structural properties of tin under pressure [J]. Physical Review B: Condensed Matter, 1991, 44(9): 4103–4108. doi: 10.1103/PhysRevB.44.4103 [7] CORKILL J L, GARCA A, COHEN M L. Erratum: Theoretical study of high-pressure phases of tin [J]. Physical Review B, 1991, 43(11): 9251–9254. doi: 10.1103/PhysRevB.43.9251 [8] CHRISTENSEN N E, METHFESSEL M. Density-functional calculations of the structural properties of tin under pressure [J]. Physical Review B, 1993, 48(9): 5797–5807. doi: 10.1103/PhysRevB.48.5797 [9] RAVELO R, BASKES M. Equilibrium and thermodynamic properties of grey, white, and liquid tin [J]. Physical Review Letters, 1997, 79(13): 2482–2485. doi: 10.1103/PhysRevLett.79.2482 [10] BERNARD S, MAILLET J B. First-principles calculation of the melting curve and hugoniot of tin [J]. Physical Review B, 2002, 66(1): 012103. doi: 10.1103/PhysRevB.66.012103 [11] AGUADO A. First-principles study of elastic properties and pressure-induced phase transitions of Sn: LDA versus GGA results [J]. Physical Review B: Condensed Matter and Materials Physics, 2003, 67(21): 212104. doi: 10.1103/PhysRevB.67.212104 [12] YU C, LIU J, LU H, et al. Ab initio calculation of the properties and pressure induced transition of Sn [J]. Solid State Communications, 2006, 140(11/12): 538–543. [13] CUI S X, CAI L C, FENG W X, et al. First-principles study of phase transition of tin and lead under high pressure [J]. Physica Status Solidi, 2008, 245(1): 53–57. doi: 10.1002/pssb.200743240 [14] TONKOV E Y, PONYATOVSKY E G. Phase transformations of elements under high pressure [M].Boca Raton, FL: CRC Press, 2005. [15] ANDERSON W W, CVERNA F, HIXSON R S, et al. Phase transition and spall behavior in β-tin [C]//AIP Conference Proceedings. American Institute of Physics, 2000: 443–446. [16] MABIRE C, HEREIL P L. Shock induced polymorphic transition and melting of tin [C]//Shock Compression of Condensed Matter-1999. New York: American Institute of Physics, 2000, 505(1): 93–96. [17] STAGER R A, BALCHAN A S, DRICKMER H G. High-pressure phase transition in metallic tin [J]. Journal of Chemical Physics, 1962, 37(5): 1154–1154. [18] STROMBERG H D, STEPHENS D R. Effects of pressure on the electrical resistance of certain metals [J]. Journal of Physics and Chemistry of Solids, 1964, 25(9): 1015–1022. doi: 10.1016/0022-3697(64)90039-3 [19] MARTIN J E, SMITH P L. Tin and indium antimonide at very high pressures [J]. British Journal of Applied Physics, 1965, 16(4): 495–500. doi: 10.1088/0508-3443/16/4/313 [20] VABOYA S N, KENNEDY G C. Compressibility of 18 metals to 45 kbar [J]. Journal of Physics and Chemistry of Solids, 1970, 31(10): 2329–2345. doi: 10.1016/0022-3697(70)90247-7 [21] OHTANI A, MIZUKAMI S, KATAYAMA M, et al. Multi-anvil apparatus for high pressure X-ray diffraction [J]. Japanese Journal of Applied Physics, 1977, 16(10): 1843–1848. doi: 10.1143/JJAP.16.1843 [22] MARSH S P. LASL shock hugoniot data [M]. Berkeley: University of California Press, 1980: 141. [23] CAVALERI M E, PLYMATE T G, STOUT J H. A pressure volume temperature equation of state for Sn (β) by energy dispersive X-ray diffraction in a heated diamond anvil cell [J]. Journal of Physics and Chemistry of Solids, 1988, 49(8): 945–956. doi: 10.1016/0022-3697(88)90012-1 [24] RAYNE J A, CHANDRASEKHAR B S. Elastic constants of β tin from 4.2 K to 300 K [J]. Physical Review, 1960, 120(6): 1658–1663. [25] KAMIOKA H. Temperature variations of elastic moduli up to eutectic temperature in tin-bismuth alloys [J]. Japanese Journal of Applied Physics, 1983, 22(12): 1805–1809. [26] HU J B, ZHOU X M, DAI C D, et al. Shock-induced bct-bcc transition and melting of tin identified by sound velocity measurements [J]. Journal of Applied Physics, 2008, 104(8): 083520. doi: 10.1063/1.3003325 [27] SONG H F, LIU H F, ZHANG G C, et al. Numerical simulation of wave propagation and phase transition of tin under shock-wave loading [J]. Chinese Physics Letters, 2009, 26(6): 066401. doi: 10.1088/0256-307X/26/6/066401 [28] KIEFER B, DUFFY T, UCHIDA T, et al. Melting of tin at high pressures [R]. APS User Activity Report, 2002. [29] DAVIS J, HAYES D B. Isentropic compression experiments on dynamic solidification in tin [J]. Journal of Membrane Science, 2004, 476(1): 20–29. [30] HAYES D B. Wave propagation in a condensed medium with N transforming phases: application to solid-I-solid-Ⅱ-liquid bismuth [J]. Journal of Applied Physics, 1975, 46(8): 3438–3443. doi: 10.1063/1.322065 [31] COX G A. A Multi-phase equation of state and strength model for tin [C]//Shock Compression of Condensed Matter-2005. Baltimore, Maryland (USA) : American Institute of Physics, 2006, 845(1): 208–211. [32] BUY F, VOLTZ C, LLORCA F. Thermodynamically based equation of state for shock wave studies: application to the design of experiments on tin [C]//Shock Compression of Condensed Matter-2005. Baltimore, Maryland (USA): American Institute of Physics, 2006, 845(1): 41–44. [33] KHISHCHENKO K V. Equation of state and phase diagram of tin at high pressures [J]. Journal of Physics: Conference Series, 2008, 121(2): 022025. doi: 10.1088/1742-6596/121/2/022025 [34] 张林, 李英华, 李雪梅, 等. 锡的β和γ两相物态方程 [C]//第六届全国爆炸力学实验技术学术会议, 2010: 301–307. [35] 种涛, 王桂吉, 谭福利, 等. 磁驱动准等熵压缩下铁的相变 [J]. 中国科学:物理学 力学 天文学, 2014, 44(6): 630–636.CHONG T, WANG G J, TAN F L, et al. Phase transition of iron under magnetically driven quasi-isentropic compression [J]. Scientia Sinica: Physica, Mechanica & Astronomica, 2014, 44(6): 630–636. [36] WANG G J, LUO B Q, ZHANG X P, et al. A 4 MA, 500 ns pulsed power generator CQ-4 for characterization of material behaviors under ramp wave loading [J]. Review of Scientific Instruments, 2013, 84(1): 015117. doi: 10.1063/1.4788935 [37] HALL C A, ASAY J R, KNUGSON M D, et al. Experimental configuration for isentropic compression of solids using pulsed magnetic loading [J]. Review of Scientific Instruments, 2001, 72(9): 3587–3595. doi: 10.1063/1.1394178 [38] STEINBERG D J. Equation of state and strength properties of selected materials [R]. Livermore, California: Lawrence Livermore National Laboratory, 1996. -

下载:





