Experimental Study of the Hydrogen Proportion and Ignition Energy Effects on the CH4-H2 Mixture Explosion Intensity
-
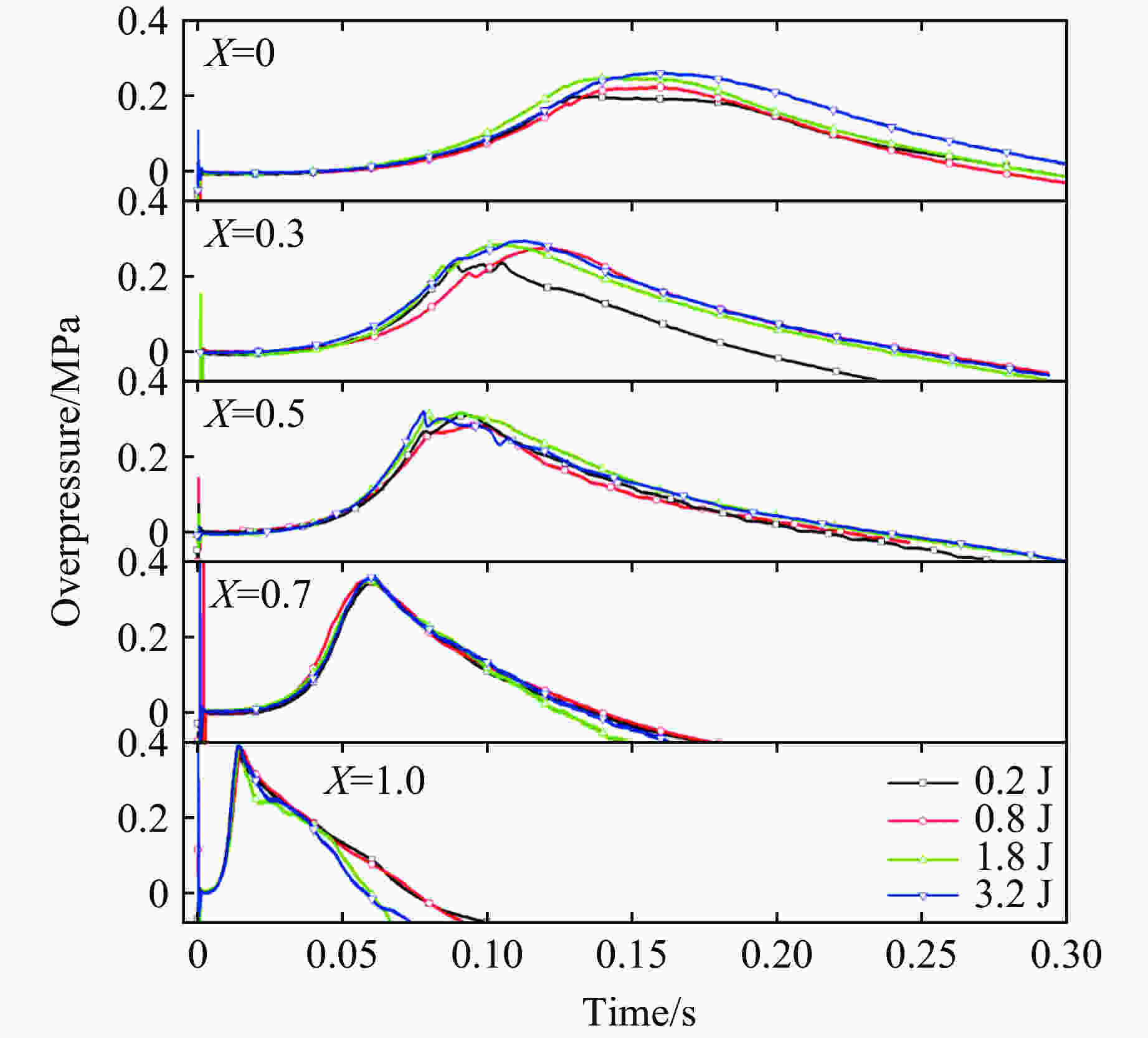
摘要: 在20 L标准球形爆炸罐内开展了当量比为1的甲烷-氢气-空气混合气体爆炸实验,通过改变点火能量和氢气体积分数,探讨点火能量和气体比例对其爆炸压力和爆炸强度的影响。研究发现:氢气比例越高,爆炸冲击波传播速度越快,点火能对冲击波传播速度的影响相对较小;点火能量的提高对峰值超压有增强作用,氢气比例低时,此增强作用较显著,氢气比例高时,此增强作用较弱;点火能量对爆炸强度指数KG的影响较小,而氢气比例对爆炸强度指数KG的影响十分明显,氢气比例低于50%时,氢气比例的增加对爆炸强度的增强作用较弱,氢气比例高于50%时,氢气的增加对爆炸强度的激励作用急剧增强。另外发现,相同当量比条件下,氢气的爆炸强度指数近似为甲烷爆炸强度指数的10倍。
-
关键词:
- CH4-H2混合气体 /
- 点火能量 /
- 氢气比例 /
- 爆炸超压 /
- 爆炸强度指数
Abstract: CH4-H2 mixture explosion experiments were performed in a 20 L spherical explosion vessel with the equivalence ratio of 1. Gas proportion and ignition energy were varied to explore their effects on the explosion pressure and intensity. It is found that higher hydrogen proportion causes higher explosion shock wave propagation speed, while the ignition energy has little effects on the explosion shock wave propagation speed. Higher ignition energy can enhance the explosion overpressure, and this enhancement effect is remarkable when the hydrogen proportion is lower, and is not evident when the hydrogen proportion is higher. The effect of ignition energy on the explosion severity index KG is not evident, but the effect of hydrogen proportion on KG is remarkable. The positive effect of hydrogen addition on KG is very slight at low hydrogen proportion while it becomes much more pronounced at higher hydrogen contents. Furthermore, the explosion intensity of hydrogen is approximately tenfold of that of methane explosion with corresponding same equivalent ratio, and therefore, the presence of hydrogen will greatly enhance the explosion hazard of methane. -
表 1 实验中CH4-H2-Air混合物的组分比例
Table 1. Mixture compositions in the explosion test
X/% Equivalence ratio ψ = 1 w(H2)/% w(CH4)/% w(Air)/% 0 0 9.50 90.50 0.3 3.58 8.35 88.07 0.5 7.19 7.19 85.62 0.7 12.67 5.43 81.90 1.0 29.58 0 70.42 -
[1] SHRESTHA S O B, KARIM G A. Hydrogen as an additive to methane for spark ignition engine applications [J]. International Journal of Hydrogen Energy, 1999, 24(6): 577–586. doi: 10.1016/S0360-3199(98)00103-7 [2] WIERZBA I, KILCHYK V. Flammability limits of hydrogen-carbon monoxide mixtures at moderately elevated temperatures [J]. International Journal of Hydrogen Energy, 2001, 26(6): 639–43. doi: 10.1016/S0360-3199(00)00114-2 [3] TROINAI G. Effect of velocity inflow conditions on the stability of a CH4/air jet-flame [J]. Combustion and Flame, 2009, 156(2): 539–42. doi: 10.1016/j.combustflame.2008.11.020 [4] YU G, LAW C K, WU C K. Laminar flame speeds of hydrocarbon air mixtures with hydrogen addition [J]. Combustion and Flame, 1986, 63(3): 339–47. doi: 10.1016/0010-2180(86)90003-9 [5] MIDDHA P, ENGEL D, HANSEN O R. Can the addition of hydrogen to natural gas reduce the explosion risk? [J]. International Journal of Hydrogen Energy, 2011, 36(3): 2628–2636. doi: 10.1016/j.ijhydene.2010.04.132 [6] 仇锐来, 张延松, 张兰, 等. 点火能量对瓦斯爆炸传播压力的影响实验研究 [J]. 煤矿安全, 2011, 42(7): 8–11.QIU R L, ZHANG Y S, ZHANG L, et al. Experimental study on impact of ignition energy on gas explosion dissemination pressure [J]. Safety in Coal Mines, 2011, 42(7): 8–11. [7] 李润之, 司荣军. 点火能量对瓦斯爆炸压力影响的实验研究 [J]. 矿业安全与环保, 2010, 37(2): 14–16, 19. doi: 10.3969/j.issn.1008-4495.2010.02.005LI R Z, SI R J. Experiment study on the effects of ignition energy on the methane explosion overpressure [J]. Mining Safety and Environmental Protection, 2010, 37(2): 14–16, 19. doi: 10.3969/j.issn.1008-4495.2010.02.005 [8] 康杨, 白桥栋, 翁春生. 不同点火因素对爆轰波传播影响的数值模拟 [J]. 南通大学学报(自然科学版), 2015, 14(1): 8–15. doi: 10.3969/j.issn.1673-2340.2015.01.002KANG Y, BAI Q D, WENG C S. Numerical simulation of the effect of different ignition factors on detonation wave propagation [J]. Journal of Nantong University (Natural Science Edition), 2015, 14(1): 8–15. doi: 10.3969/j.issn.1673-2340.2015.01.002 [9] 仇锐来. 点火能量对瓦斯爆炸传播的数值模拟研究 [J]. 煤矿安全, 2011, 42(1): 5–8.QIU R L. Numerical simulation of the effect of ignition energy on the gas explosion propagation [J]. Safety in Coal Mines, 2011, 42(1): 5–8. [10] LAW C K. Combustion physics [M]. New York: Cambridge University Press, 2006: 95. [11] SHER E, REFAEL S. A simplified reaction scheme for the combustion of hydrogen enriched methane/air flame [J]. Combustion Science and Technology, 1988, 59(4): 371–389. [12] RAZUS D, MOVILEANUA C, OANCEA D. The rate of pressure rise of gaseous propylene-air explosions in spherical and cylindrical enclosures [J]. Journal of Hazardous Materials, 2007, 139(1): 1–8. doi: 10.1016/j.jhazmat.2006.05.103 [13] National Fluid Power Association. Guide for venting of deflagrations: NFPA 68-1998 [S]. Quincy, MA: National Fire Protection Association, 1998: 92–95. -

下载: