Structure and Elasticity of Garnet under High Pressure by First-Principles Simulation
-
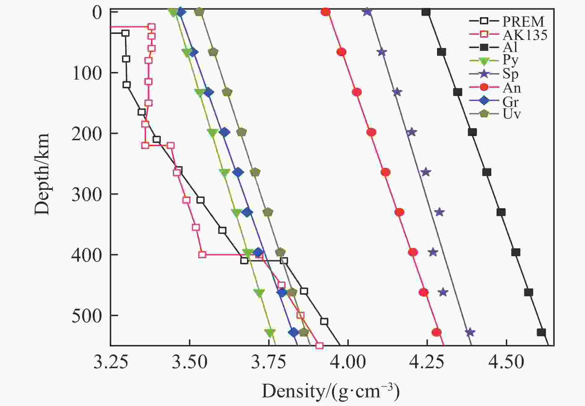
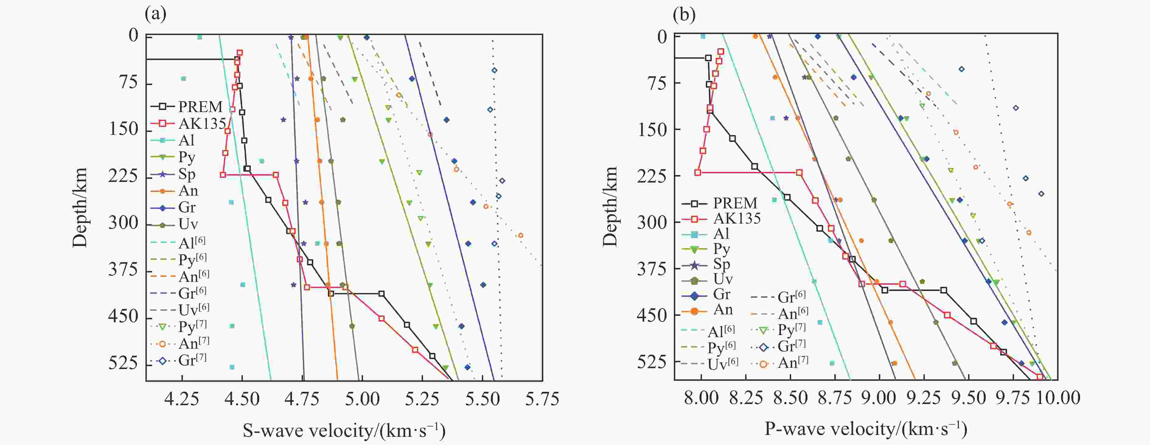
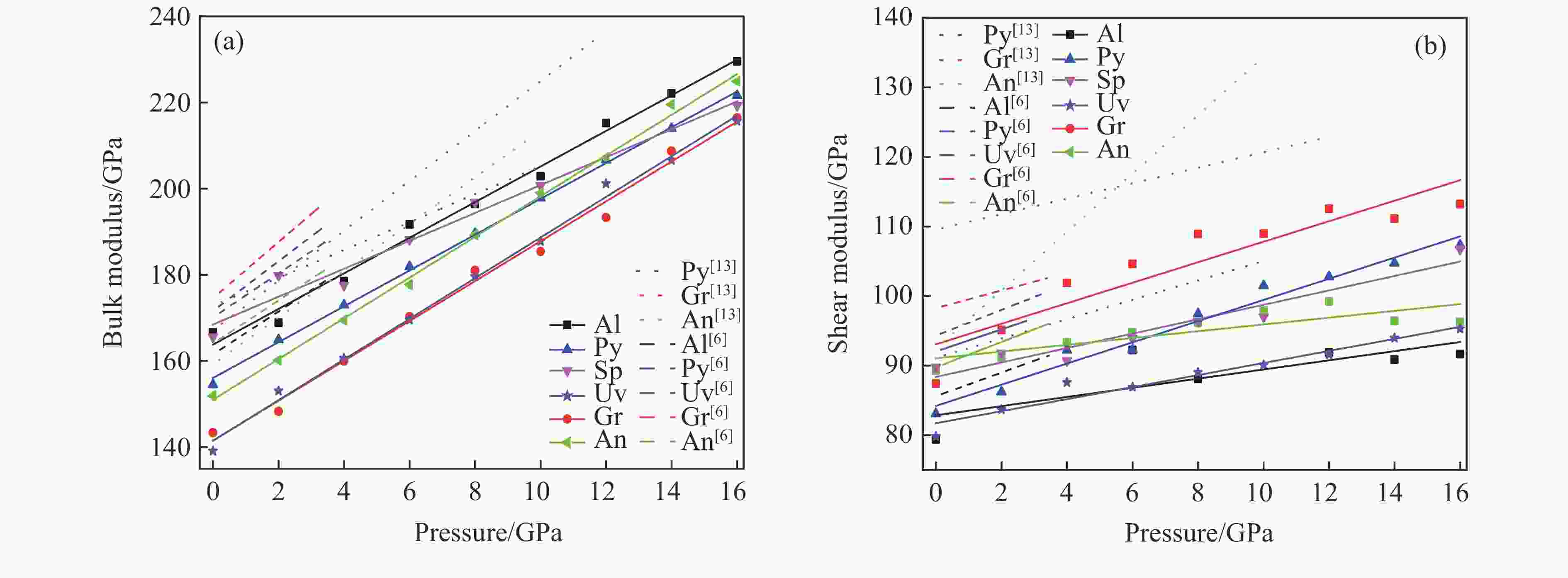
摘要: 石榴子石是上地幔和地幔转换带的重要成分,掌握其高温高压下的物性演化特征对了解地幔物质组成、结构以及动力学过程具有重要意义。为此,利用第一性原理计算了0~16 GPa压力下铝系列和钙系列常见的6种榴石(镁铝榴石、铁铝榴石、锰铝榴石、钙铬榴石、钙铝榴石和钙铁榴石)的晶体结构和弹性性质。结果表明:铝系列榴石的晶胞体积小于钙系列榴石;除镁铝榴石外,铝系列榴石的密度高于钙系列榴石。在石榴子石压缩过程中,多面体体积变化率由大到小依次为[XO8]十二面体、[YO6]八面体、[SiO4]四面体,且变化率之比接近3∶2∶1,表明石榴子石的压缩机制主要受其结构中的十二面体控制。键角方差的变化表明:高压可以使钙系列榴石的四面体和八面体变得更加规则;而铝系列榴石则与其不同,高压下铝系列榴石的四面体变得更加不规则。研究发现:石榴子石的体弹模量随着铁铝榴石含量的增加而增大,随着钙铬榴石和钙铝榴石含量的增加而减小;而剪切模量则随着钙铝榴石含量的增加而增大,随着铁铝榴石和钙铬榴石含量的增加而减小。除镁铝榴石外,铝系列榴石的波速整体小于钙系列榴石。通过计算结果发现,石榴子石及其固溶体的波速在410 km附近与地球典型波速模型有交点,证明了石榴子石是地幔中的重要组分,且不同组成的石榴子石及固溶体的存在可能对地球地幔的波速结构产生重要影响。Abstract: Garnet is an important component of the upper mantle and mantle transition zone, and its properties under high temperature and pressure are of great significance to understand the composition, structure and dynamic process of mantle. Therefore, the crystal structure and elastic properties of pyrope, almandine, spessartite, uvarovite, grossular and andradite under 0–16 GPa, the six most common garnet in the Earth, were calculated by first principle method. The results show the unit cell volume of pyralaspite (pyrope, almandine, spessartite) is smaller than that of ugrandite (uvarovite, grossular and andradite), and the density of pyralaspite is higher than that of ugrandite except for pyrope. During structural compression, the volume change of polyhedron is from large to small as [XO8] dodecahedron, [YO6] octahedron and [SiO4] tetrahedron, and their ratio is close to 3∶2∶1, indicating that the compression mechanism of garnet is mainly controlled by the dodecahedron. The variation of bond angle shows that tetrahedron and octahedron of the ugrandite would be more regular under high pressure; while the tetrahedron of pyralaspite becomes more irregular under high pressure. The bulk modulus of garnet increases with the increase of almandine, and decreases with the increase of uvarovite and grossular; while the shear modulus of garnet increases with the increase of grossular, and decreases with the increase of almandine and uvarovite. The wave velocity of pyralaspite is smaller than that of ugrandite except for pyrope. Calculation results show that the wave velocities of garnet intersect with the typical wave velocity model of the Earth near 410 km, proving that garnet is an important component of the mantle, and the existence of garnet and its solid solution with different compositions may have an important influence on the wave velocity structure of the Earth’s mantle.
-
Key words:
- garnet /
- crystal structure /
- elasticity /
- high pressure /
- first principle simulation
-
表 1 常压下石榴子石晶胞参数和弹性模量
Table 1. Lattice parameters and elastic modulus of garnet under normal pressure
Garnet Lattice parameter/Å Density/(g·cm–3) Method Bulk modulus/GPa Shear modulus/GPa Pyrope 11.559 Exp.[35] 199.0 11.466 3.582 Exp.[7] 172.7 92.0 Exp.[36] 173.6 94.9 3.610 Exp.[6] 170.1 90.2 11.447 3.569 Exp.[37] 167.0 11.472 Exp.[38] 173.7 11.486 3.587 Average 176.0 92.4 11.581 3.448 This study 154.5 83.1 Almandine 11.532 4.312 Exp.[14] 168.0 4.289 Exp.[6] 175.1 92.1 11.519 Exp.[13] 185.0 11.507 3.916 Exp.[8] 173.7 95.4 11.535 3.930 Exp.[8] 174.9 95.5 11.523 4.110 Average 175.3 94.3 11.591 4.250 This study 166.6 79.4 Uvarovite 11.99 3.850 Exp.[39] 162.0 92.0 3.841 Exp.[6] 164.8 89.9 11.990 3.846 Average 163.4 91.0 12.070 3.780 This study 139.1 79.8 Spessartine 11.617 4.195 Exp.[40] 178.8 96.3 11.611 4.172 Exp.[8] 176.4 96.5 11.608 4.185 Exp.[8] 171.8 93.3 11.612 4.184 Average 175.7 95.4 11.744 4.060 This study 165.6 89.8 Grossular 11.849 3.600 Exp.[7] 166.8 108.9 11.848 3.602 Exp.[40] 168.4 109.0 11.870 3.659 Exp.[8] 161.2 102.6 11.910 3.667 Exp.[8] 162.4 102.9 11.869 3.632 Average 164.7 105.9 11.991 3.471 This study 143.4 87.4 Andradite 12.048 3.840 Exp.[7] 159.4 90.0 12.054 3.836 Exp.[39] 157.0 90.0 12.009 3.775 Exp.[8] 147.3 92.7 3.938 Exp.[6] 162.5 86.0 12.037 3.847 Average 156.6 89.7 11.977 3.930 This study 151.9 89.3 表 2 石榴子石的弹性常数(C11、C12、C44)和波速
Table 2. Elastic constants (C11, C12, C44) and wave velocity of garnet
Garnet C11/GPa C12/GPa C44/GPa vP/(m·s–1) vS/(m·s–1) Ref. Pyrope 297.6 109.8 92.7 9.08 5.07 [7] 301.0 110.0 94.3 [36] 8.94 5.02 [6] 90.7 8.92 4.99 [8] 91.7 8.92 5.00 [8] 263.1 100.1 84.2 8.78 4.91 This study Almandine 309.0 111.0 96.0 [41] 8.33 4.64 [6] 95.0 8.77 4.94 [8] 94.9 8.77 4.93 [8] 270.9 114.4 80.1 8.01 4.32 This study Uvarovite 304 91 84 8.85 4.64 [39] 8.60 4.83 [6] 259.7 78.7 73.4 8.34 4.75 This study Spessartine 309.5 113.5 95.2 [41] 96.2 8.55 4.81 [8] 92.0 8.41 4.72 [8] 283.1 114.4 90.9 8.38 4.70 This study Grossular 321.7 104.6 91.4 9.49 5.54 [7] 321.7 104.6 91.4 [40] 98.8 9.02 5.30 [8] 9.04 5.30 [8] 274.7 80.7 77.7 8.65 5.02 This study Andradite 8.49 4.73 [6] 87.9 8.47 4.96 [8] 289 92 85 9.05 5.09 [7] 289 92 85 8.38 4.95 [39] 285.5 85.1 82.7 8.30 4.77 This study -
[1] PALKE A C, STEBBINS J F, GEIGER C A, et al. Cation order-disorder in Fe-bearing pyrope and grossular garnets: a 27Al and 29Si MAS NMR and 57Fe Mossbauer spectroscopy study [J]. American Mineralogist, 2015, 100(2/3): 536–547. [2] 范大伟, 李博, 陈伟, 等. 石榴子石族矿物状态方程研究进展 [J]. 高压物理学报, 2018, 32(1): 010101. doi: 10.11858/gywlxb.20170597FAN D W, LI B, CHEN W, et al. Research progress of the equation of state for garnet minerals [J]. Chinese Journal of High Pressure Physics, 2018, 32(1): 010101. doi: 10.11858/gywlxb.20170597 [3] FEI Y, BERTKA C M. Phase transitions in the Earth’s mantle and mantle mineralogy [J]. Mantle Petrology: Field Observations and High Pressure Experimentation, 1999, 6: 189–207. [4] RINGWOOD A E. Phase transformations and their bearing on the constitution and dynamics of the mantle [J]. Geochimica et Cosmochimica Acta, 1991, 55(8): 2083–2110. doi: 10.1016/0016-7037(91)90090-R [5] IRIFUNE T, RINGWOOD A E. Phase transformations in subducted oceanic crust and buoyancy relationships at depths of 600–800 km in the mantle [J]. Earth and Planetary Science Letters, 1993, 117(1/2): 101–110. [6] WANG Z, JI S. Elasticity of six polycrystalline silicate garnets at pressure up to 3.0 GPa [J]. American Mineralogist, 2001, 86(10): 1209–1218. doi: 10.2138/am-2001-1009 [7] CONRAD P G, ZHA C S, MAO H K, et al. The high-pressure, single-crystal elasticity of pyrope, grossular, and andradite [J]. American Mineralogist, 1999, 84(3): 374–383. doi: 10.2138/am-1999-0321 [8] BABUŠKA V, FIALA J, KUMAZAWA M, et al. Elastic properties of garnet solid-solution series [J]. Physics of the Earth and Planetary Interiors, 1978, 16(2): 157–176. doi: 10.1016/0031-9201(78)90086-9 [9] ANDERSON O L, NAFE J E. The bulk modulus-volume relationship for oxide compounds and related geophysical problems [J]. Journal of Geophysical Research, 1965, 70(16): 3951–3963. doi: 10.1029/JZ070i016p03951 [10] ANDERSON D L, ANDERSON O L. The bulk modulus-volume relationship for oxides [J]. Journal of Geophysical Research, 1970, 75(26): 3494–3500. [11] HAZEN R M. Crystal structures and compressibilities of pyrope and grossular to 60 kbar [J]. American Mineralogist, 1978, 63(3/4): 297–303. [12] LEGER J M, REDON A M, CHATEAU C. Compressions of synthetic pyrope, spessartine and uvarovite garnets up to 25 GPa [J]. Physics and Chemistry of Minerals, 1990, 17(2): 161–167. [13] ZHANG L, AHSBAHS H, KUTOGLU A, et al. Single-crystal hydrostatic compression of synthetic pyrope, almandine, spessartine, grossular and andradite garnets at high pressures [J]. Physics and Chemistry of Minerals, 1999, 27(1): 52–58. doi: 10.1007/s002690050240 [14] TAKAHASHI T, LIU L G. Compression of ferromagnesian garnets and the effect of solid solutions on the bulk modulus [J]. Journal of Geophysical Research, 1970, 75(29): 5757–5766. doi: 10.1029/JB075i029p05757 [15] HUANG S, CHEN J. Equation of state of pyrope–almandine solid solution measured using a diamond anvil cell and in situ synchrotron X-ray diffraction [J]. Physics of the Earth and Planetary Interiors, 2014, 228: 88–91. doi: 10.1016/j.pepi.2014.01.014 [16] MILANI S, NESTOLA F, ALVARO M, et al. Diamond-garnet geobarometry: the role of garnet compressibility and expansivity [J]. Lithos, 2015, 227: 140–147. doi: 10.1016/j.lithos.2015.03.017 [17] FAN D, XU J, MA M, et al. P-V-T equation of state of spessartine-almandine solid solution measured using a diamond anvil cell and in situ synchrotron X-ray diffraction [J]. Physics and Chemistry of Minerals, 2015, 42(1): 63–72. doi: 10.1007/s00269-014-0700-2 [18] MURAKAMI M, SINOGEIKIN S V, LITASOV K, et al. Single-crystal elasticity of iron-bearing majorite to 26 GPa: implications for seismic velocity structure of the mantle transition zone [J]. Earth and Planetary Science Letters, 2008, 274(3/4): 339–345. [19] FAN D W, WEI S Y, LIU J, et al. High pressure X-ray diffraction study of a grossular-andradite solid solution and the bulk modulus variation along this solid solution [J]. Chinese Physics Letters, 2011, 28(7): 076101. doi: 10.1088/0256-307X/28/7/076101 [20] FAN D W, KUANG Y, XU J, et al. Thermoelastic properties of grossular-andradite solid solution at high pressures and temperatures [J]. Physics and Chemistry of Minerals, 2017, 44(2): 137–147. doi: 10.1007/s00269-016-0843-4 [21] DU W, CLARK S M, WALKER D. Thermo-compression of pyrope-grossular garnet solid solutions: non-linear compositional dependence [J]. American Mineralogist, 2014, 100(1): 215–222. [22] GILLAN M J, ALFÈD, BRODHOLT J, et al. First-principles modelling of Earth and planetary materials at high pressures and temperatures [J]. Reports on Progress in Physics, 2006, 69(8): 2365–2441. doi: 10.1088/0034-4885/69/8/R03 [23] PERDEW J P, ZUNGER A. Self-interaction correction to density-functional approximations for many-body systems [J]. Physical Review B, 1981, 23(10): 5048–5079. doi: 10.1103/PhysRevB.23.5048 [24] WENTZCOVITCH R M, MARTINS J L, PRICE G D. Ab initio molecular dynamics with variable cell shape: application to MgSiO3 [J]. Physical Review Letters, 1993, 70(25): 3947–3950. doi: 10.1103/PhysRevLett.70.3947 [25] DA SILVA C, STIXRUDE L, WENTZCOVITCH R M. Elastic constants and anisotropy of forsterite at high pressure [J]. Geophysical Research Letters, 1997, 24(15): 1963–1966. doi: 10.1029/97GL01756 [26] KARKI B B, STIXRUDE L, WENTZCOVITCH R M. High-pressure elastic properties of major materials of Earth’s mantle from first principles [J]. Reviews of Geophysics, 2015, 39(4): 507–534. [27] LIU L, DU J G, ZHAO J, et al. Elastic properties of hydrous forsterites under high pressure: first-principle calculations [J]. Physics of the Earth and Planetary Interiors, 2009, 176(1): 89–97. [28] LIU L, DU J, LIU W, et al. Elastic behavior of (Mg xFe1- x)2SiO4 olivine at high pressure from first-principles simulations [J]. Journal of Physics and Chemistry of Solids, 2010, 71(8): 1094–1097. doi: 10.1016/j.jpcs.2010.03.013 [29] LIU L, DU J G, LIU H, et al. Differential stress effect on the structural and elastic properties of forsterite by first-principles simulation [J]. Physics of the Earth and Planetary Interiors, 2014, 233: 95–102. doi: 10.1016/j.pepi.2014.06.010 [30] LIU L, LV C J, ZHUANG C Q, et al. Effects of differential stress on the structure and Raman spectra of calcite from first-principles calculations [J]. American Mineralogist, 2016, 101(8): 1892–1897. doi: 10.2138/am-2016-5558 [31] CEPERLEY D M, ALDER B J. Ground state of the electron gas by a stochastic method [J]. Physical Review Letters, 1980, 45(7): 566–569. doi: 10.1103/PhysRevLett.45.566 [32] NIELSEN O H, MARTIN, RICHARD M. First-principles calculation of stress [J]. Physical Review Letters, 1983, 50(9): 697–700. doi: 10.1103/PhysRevLett.50.697 [33] VANDERBILT D. Soft self-consistent pseudopotentials in a generalized eigenvalue formalism [J]. Physical Review B, 1990, 41(11): 7892–7895. doi: 10.1103/PhysRevB.41.7892 [34] NIELSEN O H, MARTIN R M. Quantum-mechanical theory of stress and force [J]. Physical Review B, 1985, 32(6): 3780–3791. doi: 10.1103/PhysRevB.32.3780 [35] 马艳梅, 彭刚, 李敏. 镁铝石榴子石的高压X射线衍射研究 [J]. 高压物理学报, 2008, 22(3): 305–308. doi: 10.3969/j.issn.1000-5773.2008.03.014MA Y M, PENG G, LI M. X-ray diffraction investigation of pyrope under pressure [J]. Chinese Journal of High Pressure Physics, 2008, 22(3): 305–308. doi: 10.3969/j.issn.1000-5773.2008.03.014 [36] WEBB S L. The elasticity of the upper mantle orthosilicates olivine and garnet to 3 GPa [J]. Physics and Chemistry of Minerals, 1989, 16(7): 684–692. [37] ZOU Y, GRÉAUX S, IRIFUNE T, et al. Thermal equation of state of Mg3Al2Si3O12 pyrope garnet up to 19 GPa and 1700 K [J]. Physics and Chemistry of Minerals, 2012, 39(7): 589–598. doi: 10.1007/s00269-012-0514-z [38] HAZEN R M, DOWNS R T, CONRAD P G, et al. Comparative compressibilities of majorite-type garnets [J]. Physics and Chemistry of Minerals, 1994, 21(5): 344–349. [39] BASS J D. Elasticity of uvarovite and andradite garnets [J]. Journal of Geophysical Research: Solid Earth, 1986, 91(B7): 7505–7516. doi: 10.1029/JB091iB07p07505 [40] BASS J D. Elasticity of grossular and spessartite garnets by Brillouin spectroscopy [J]. Journal of Geophysical Research, 1989, 94(B6): 7621–7628. doi: 10.1029/JB094iB06p07621 [41] O’NEILL B, BASS J, R. SMYTH J, et al Elasticity of a grossular-pyrope-almandine garnet [J]. Journal of Geophysical Research Solid Earth, 1989, 94(B12): 17819–17824. doi: 10.1029/JB094iB12p17819 [42] SATO Y, AKAOGI M, AKIMOTO S I. Hydrostatic compression of the synthetic garnets pyrope and almandine [J]. Journal of Geophysical Research, 1978, 83(B1): 335–338. doi: 10.1029/JB083iB01p00335 [43] 徐光宪, 王祥云. 物质结构[M]. 2版. 北京: 高等教育出版社, 1987: 621–622.XU G X, WANG X Y. Material structure [M]. 2nd ed. Beijing: Higher Education Press, 1987: 621–622. [44] LI L, WEIDNER D J, BRODHOLT J, et al. Ab initio molecular dynamic simulation on the elasticity of Mg3Al2Si3O12 pyrope [J]. Journal of Earth Science, 2011, 22(2): 169–175. doi: 10.1007/s12583-011-0169-6 -

下载: