Numerical Simulation Analysis of Impact Resistance of Reinforced Concrete Wall
-
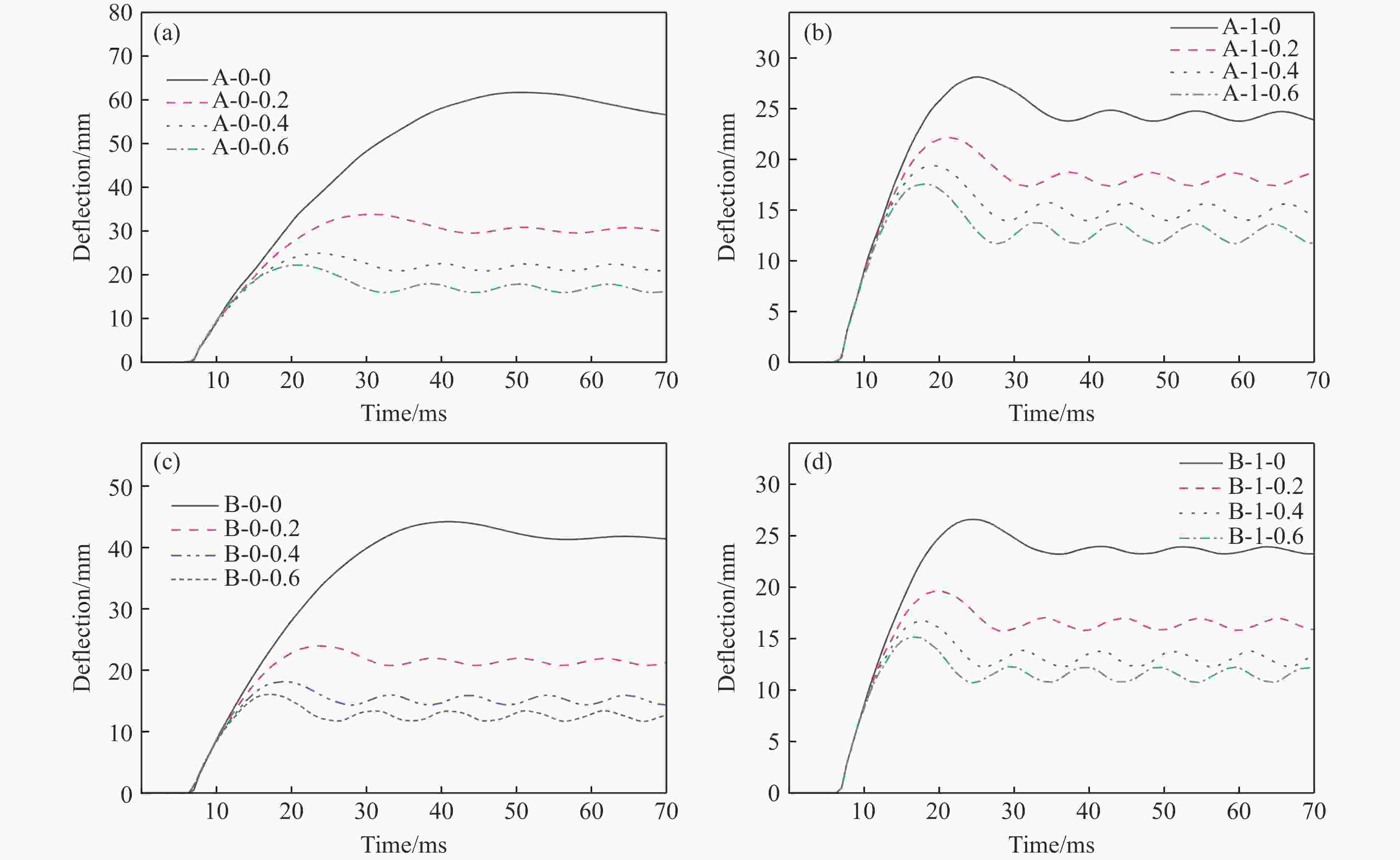
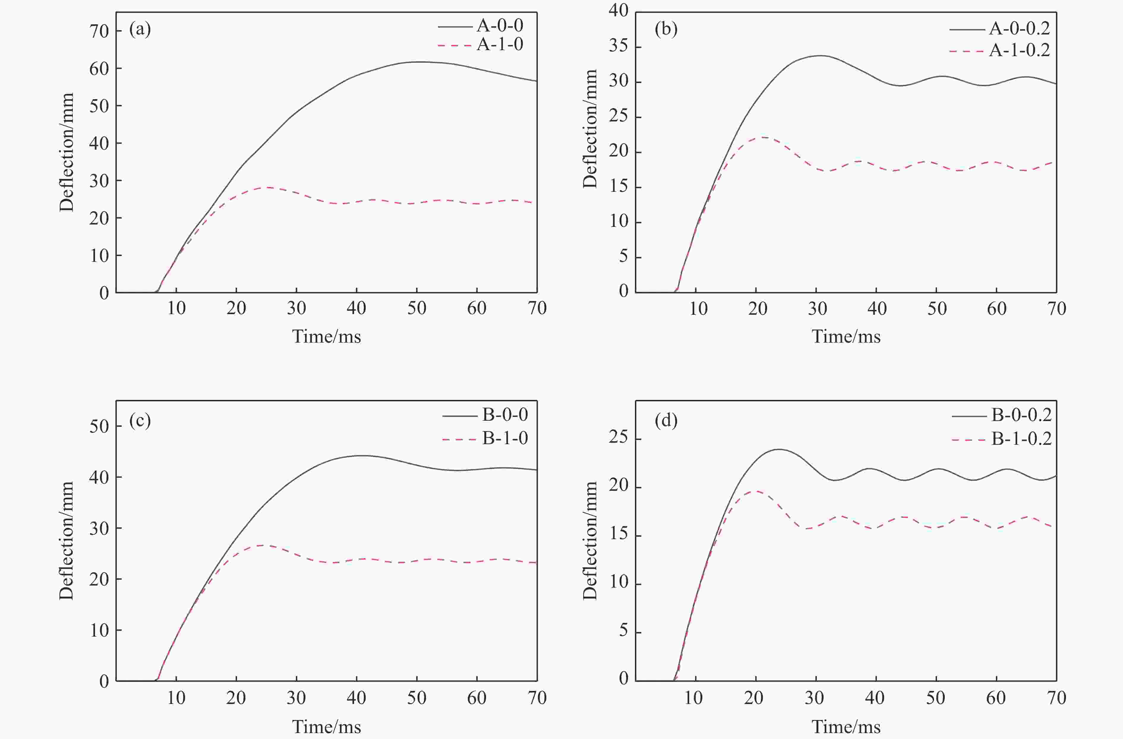
摘要: 为了研究钢筋混凝土墙在冲击荷载作用下的动态响应,借助ANSYS/LS-DYNA建立钢筋混凝土墙的有限元模型。冲击体质量为2 t,冲击速度为3 m/s,分析了轴压比、墙宽和边缘构件对钢筋混凝土墙抗冲击性能的影响。在此基础上,分析了墙体在极限荷载作用下经历的3个阶段,提出了一种在极限荷载作用下墙体破坏失效的判别准则;利用所提出的判别准则分析了在极限荷载作用下轴压比、墙宽和边缘构件的影响。结果表明:在一定范围内,随着轴压比的增加,墙体抗冲击性能提高,有轴压的墙体损伤区域较为集中;增加墙宽和加入边缘构件均能有效增强墙体的抗冲击性能;在极限荷载作用下,冲击质量一定时,随着轴压比的增加,结构破坏失效所需的冲击能变小。Abstract: In order to study the dynamic response of reinforced concrete wall under impact load, a finite element model of reinforced concrete wall is established by means of ANSYS/LS-DYNA. The impact mass is 2 t and the impact velocity is 3 m/s. The effects of axial compression ratio, wall width and boundary elements on the impact resistance of reinforced concrete walls are analyzed. On this basis, the three stages of wall failure under extreme loading conditions are analyzed, and a criterion of evaluating wall failure under extreme loading is proposed. The influence of axial compression ratio, wall width and boundary elements under extreme loading is analyzed by using the proposed criterion. The results show that, in a certain range, with the increase of the axial compression ratio, the impact resistance of the wall is improved, and the damage area of the wall with axial compression is concentrated. Increasing the wall width and adding edge components can effectively enhance the impact resistance of the wall. Under the ultimate load. When the impact mass is constant, the impact energy required for structural failure decreases with the increasing axial compression ratio.
-
表 1 材料参数
Table 1. Material parameters
Parts Material model Material parameters Hammer *MAT_ELASTIC $\rho = 7\;800\;{\rm{kg/} }{ {\rm{m} }^{\rm{3} } },\;E = 200\;{\rm{GPa,} }\;\nu = 0.27$ Concrete *MAT_CSCM $\rho = 2\;400\;{\rm{kg/}}{{\rm{m}}^{\rm{3}}},\;{f_{\rm{c}}} = 30\;{\rm{MPa}},\;d = 20\;{\rm{mm}}$ Distributed reinforcement *MAT_PLASTIC_KINEMATIC $ \rho = 7\;800\;{\rm{kg/} }{ {\rm{m} }^{\rm{3} } },\;E = 200\;{\rm{GPa} },\;\nu = 0.27,$ $ {f_{\rm{y} } } = 490\;{\rm{MPa} },\;{f_{\rm{u} } } = 656\;{\rm{MPa} },\;{E_{\rm{t} } } = 1.1\;{\rm{GPa} }$ Stirrups *MAT_PLASTIC_KINEMATIC $ \rho = 7\;800\;{\rm{kg/} }{ {\rm{m} }^{\rm{3} } },\;E = 210\;{\rm{GPa} }, \nu = 0.27,$ $ {f_{\rm{y}}} = 340\;{\rm{MPa}},\;{f_{\rm{u}}} = 521\;{\rm{MPa}},\;{E_{\rm{t}}} = 1.1\;{\rm{GPa}}$ 表 2 梁跨中最大位移比较
Table 2. Comparison of the maximum displacement in midspan
No. Maximum displacement/mm Relative error/% Measured Simulation A-1 81.0 82.8 2.22 A-2 74.0 74.0 0 A-3 83.6 90.6 8.37 A-4 89.5 86.6 –3.24 表 3 墙板中心最大位移
Table 3. Comparison of the maximum displacement at the center of wall
No. Measured maximum
displacement /mmMaximum displacement
simulation value /mmRelative error/% A-1 32.9 35.2 6.9 A-2 57.4 52.9 –7.8 表 4 钢筋混凝土墙破坏失效时的冲击能量
Table 4. The critical impact energy of failure for reinforced concrete wall
No. Impact energy/kJ No. Impact energy/kJ A-0-0.2 26 A-1-0.6 40 A-0-0.4 19 B-1-0.2 81 A-0-0.6 19 B-1-0.4 65 A-1-0.2 58 B-1-0.6 63 A-1-0.4 51 -
[1] SOROUSHIAN P, CHOI K B. Steel mechanical properties at different strain rates [J]. Journal of Structural Engineering, 1987, 113(4): 663–672. doi: 10.1061/(ASCE)0733-9445(1987)113:4(663) [2] 李杰, 任晓丹. 混凝土静力与动力损伤本构模型研究进展述评 [J]. 力学进展, 2010, 40(3): 284–297. doi: 10.6052/1000-0992-2010-3-J2008-043LI J, REN X D. Review of research progress on static and dynamic damage constitutive models of concrete [J]. Progress in Mechanics, 2010, 40(3): 284–297. doi: 10.6052/1000-0992-2010-3-J2008-043 [3] 许斌, 曾翔. 冲击荷载作用下钢筋混凝土梁性能试验研究 [J]. 土木工程学报, 2014, 47(2): 41–51.XU B, ZENG X. Exerimental study on the behavior of reinforced concrete beams under impact loading [J]. China Civil Engineering Journal, 2014, 47(2): 41–51. [4] 窦国钦, 杜修力, 李亮. 冲击荷载作用下高强钢筋混凝土梁性能试验 [J]. 天津大学学报, 2014, 47(12): 1072–1080.DOU G Q, DU X L, LI L. Experimental study on the behavior of high strength reinforeced concrete beam under impact load [J]. Journal of Tianjin University, 2014, 47(12): 1072–1080. [5] TACHIBANA S, MASUYA H, NAKAMURA S. Performance based design of reinforced concrete beams under impact [J]. Natural Hazards & Earth System Sciences, 2010, 10(6): 1069–1078. [6] 付应乾, 董新龙. 落锤冲击下钢筋混凝土梁响应及破坏的实验研究 [J]. 中国科学, 2016, 46(4): 400–406.FU Y Q, DONG X L. Experimental study on the response and failure of reinforced concrete beams under falling hammer impact [J]. Science in China, 2016, 46(4): 400–406. [7] KISHI N, MIKAMI H, MATSUOKA K G, et al. Impact behavior of shear-failure-type RC beams without shear rebar [J]. International Journal of Impact Engineering, 2002, 27(9): 955–968. doi: 10.1016/S0734-743X(01)00149-X [8] 窦国钦, 杜修力, 李亮. 冲击荷载作用下钢纤维混凝土配筋梁性能试验 [J]. 天津大学学报, 2015, 48(10): 864–872.DOU G Q, DU X L, LI L. Experimental on behavior of reinforced concrete beam with steel fiber under impact load [J]. Journal of Tianjin Universiry: Science and Technology, 2015, 48(10): 864–872. [9] 闫秋实, 邵慧芳, 李亮. 冲击荷载作用下装配式钢筋混凝土梁力学性能研究 [J]. 工程力学, 2017, 34(4): 196–205.YAN Q S, SHAO H F, LI L. Study on the behavior of precast reinforced concrete beams under impact loading [J]. Engineering Mechanics, 2017, 34(4): 196–205. [10] ZINEDDINA M, KRAUTHAMMER T. Dynamic response and behavior of reinforced concrete slabs nder impact loading [J]. International Journal of Impact Engineering, 2007(34): 1517–1534. [11] ÖZGÜR ANIL, KANTAR E, YILMAZ M C. Low velocity impact behavior of RC slabs with different support types [J]. Construction & Building Materials, 2015, 93: 1078–1088. [12] BHATTI A Q, KISHI N, TAN K H. Impact resistant behaviour of RC slab strengthenedwith FRP sheet [J]. Materials and Structures, 2011(44): 1855–1864. [13] 赵春风, 王强, 王静峰, 等. 近场爆炸作用下核电厂安全壳穹顶钢筋混凝土板的抗爆性能 [J]. 高压物理学报, 2019, 33(2): 025101. doi: 10.11858/gywlxb.20180598ZHAO C F, WANG Q, WANG J F, et al. Blast resistance of containment dome reinforced concrete slab in NPP under close-in explosion [J]. Chinese Journal of High Pressure Physics, 2019, 33(2): 025101. doi: 10.11858/gywlxb.20180598 [14] ZHANG X, HAO H, LI C. Experimental investigation of the response of precast segmental columns subjected to impact loading [J]. International Journal of Impact Engineering, 2016, 95: 105–124. [15] 刘飞, 罗旗帜, 严波, 等. RC柱破坏模式的数值模拟研究 [J]. 振动与冲击, 2017, 36(16): 122–127.LIU F, LUO Q Z, YAN B, et al. Numerical study on the failure of RC column subjected to lateral impact [J]. Journal of Vibration and Shock, 2017, 36(16): 122–127. [16] CHENG L, MCCOMB A M. Unreinforced concrete masonry walls strengthened with FRP sheets and strips under pendulum impact [J]. Journal of Composites for Construction, 2010, 14(6): 775–783. doi: 10.1061/(ASCE)CC.1943-5614.0000131 [17] 郭玉荣, 喻忠操, 郭磊. 砌体墙抗冲击落锤试验方法研究与应用 [J]. 结构工程师, 2012, 28(6): 123–127.GUO Y R, YU Z C, GUO L. Impact testing methods for masonry walls based on the drop hammer [J]. Structure Engineers, 2012, 28(6): 123–127. [18] WU Y, CRAWFORD J E, MAGALLANES J M. Performence of LS-DYNA concrete constitutive models [C]//12th International LS-DYNA Users Conference, 2012: 3–5. [19] 孟一, 易伟建. 混凝土圆柱体试件在低速冲击下动力效应的研究 [J]. 振动与冲击, 2011, 3(3): 205–210. doi: 10.3969/j.issn.1000-3835.2011.03.041MENG Y, YI W J. Dynamic behavior of concrete cylinder specimens under low velocity impact [J]. Journal of Vibration and Shock, 2011, 3(3): 205–210. doi: 10.3969/j.issn.1000-3835.2011.03.041 [20] 赵德博, 易伟建. 钢筋混凝土梁抗冲击性能和设计方法研究 [J]. 振动与冲击, 2015, 34(11): 139–145.ZHAO D B, YI W J. Anti-immpact behavior and design method for RC beam [J]. Journal of Vibration and Shock, 2015, 34(11): 139–145. [21] 史先达. 钢筋混凝土剪力墙平面外抗冲击性能试验与数值分析 [D]. 长沙: 湖南大学, 2016.SHI X D. Experiment and numerical analysis of reinforced concrete shear wall out-of-plane impact resisitance [D]. Changsha: Hunan University, 2016. -

下载: