Tension Mechanical Behavior of 3D Printed Composite Materials Inspired by Nacre
-
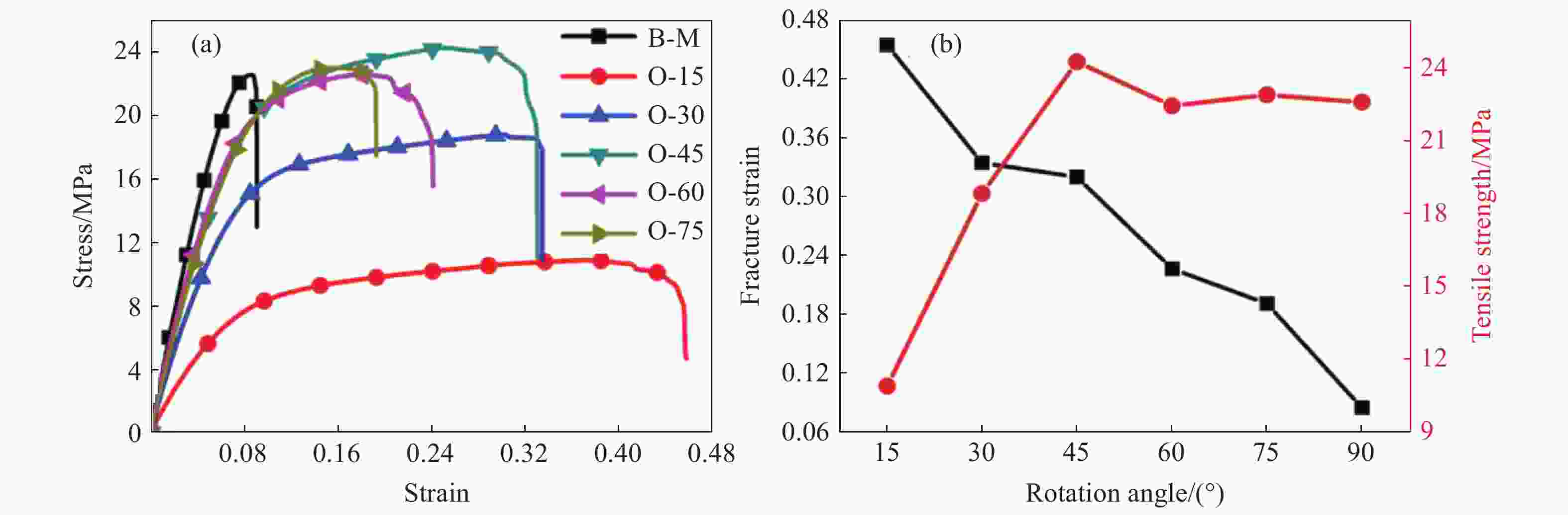
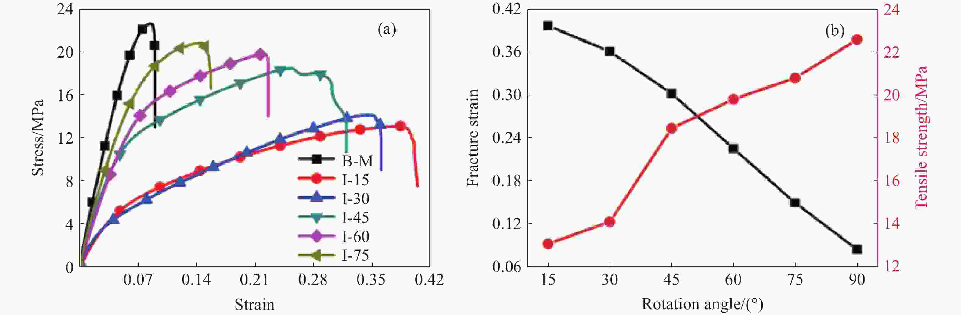
摘要: 采用硬质和软质双组分材料,通过调控两种基体材料的装配夹角,采用光固化3D打印技术制备了不同装配方式的仿贝壳珍珠层复合材料,开展了准静态拉伸实验,结合扫描电镜观察,分析了其拉伸力学性能、断裂及能量耗散机理。研究结果表明,保持胞元边长不变,随着面内装配角度增加,仿贝壳珍珠层复合材料的强度呈线性增加趋势,断裂应变呈线性减小的趋势;随着面外装配角度增大,断裂应变呈线性减小趋势,而强度在面外装配角小于45°时呈增强趋势,超过45°时趋于稳定;面外装配角度为45°时,材料的强度达到最大值。试样在断裂前主要通过硬质材料的拔出、软/硬相界面处微裂纹的生成及微裂纹在扩展过程中的合并和偏转等方式耗散能量。Abstract: Nacre inspired composite materials with different assembly modes were fabricated by photocurable 3D printing. The composite materials consist of two kinds of matrix materials. The tension mechanical properties, fracture and energy dissipation mechanism were analyzed by quasi-static tensile tests combined with scanning electron microscope (SEM). The results show that, keeping the length of the cell constant, the strength of nacre inspired composite materials increase linearly, while the fracture strain decreases linearly with the increasing of in-plane assembly angle. The fracture strain decreases linearly with the increasing of out-plane assembly angle. When the out-plane assembly angle is less than 45°, the strength of nacre inspired composite materials increases linearly with increasing such angle, but it tends to be stable when such angle exceeds 45°. The strength of the material reaches the maximum value when the out-plane assembly angle is 45°. Most of the tension energy is dissipated by pull-out of the hard materials, generation, propagation and combination of micro-cracks at the soft/hard interface and the crack deflection in the propagation process.
-
Key words:
- 3D printing /
- tension mechanical behavior /
- bio-inspired material /
- energy dissipation
-
表 1 模型及试件编号
Table 1. Number of models and specimens
Type Unit cell Specimens B-M 

I-15 

I-30 

I-45 

I-60 

I-75 

O-15 

O-30 

O-45 

O-60 

O-75 

-
[1] 贾贤. 天然生物材料及其仿生工程材料[M]. 北京: 化学工业出版社, 2007.JIA X. Natural biomaterials and biomimetic engineering eaterials [M]. Beijing: Chemical Industry Press, 2007. [2] YARAGHI N A, KISAILUS D. Biomimetic structural materials: inspiration from design and assembly [J]. Annual Review of Physical Chemistry, 2018, 69: 23–57. doi: 10.1146/annurev-physchem-040215-112621 [3] SONG F, SOH A K, BAI Y L. Structural and mechanical properties of the organic matrix layers of nacre [J]. Biomaterials, 2003, 24(20): 3623–3631. doi: 10.1016/S0142-9612(03)00215-1 [4] GU G X, TAKAFFOLI M, BUEHLER M J. Hierarchically enhanced impact resistance of bioinspired composites [J]. Advanced Materials, 2017, 29(28): 1700060. doi: 10.1002/adma.201700060 [5] 赵赫威, 郭林. 仿贝壳珍珠母层状复合材料的制备及应用 [J]. 科学通报, 2017, 62(6): 576–589.ZHAO H W, GUO L. Synthesis and applications of layered structural composites inspired by nacre [J]. Chinese Science Bulletin, 2017, 62(6): 576–589. [6] 赵建民, 麦康森, 张文兵, 等. 贝壳珍珠层及其仿生应用 [J]. 高技术通讯, 2003, 13(11): 94–98. doi: 10.3321/j.issn:1002-0470.2003.11.022ZHAO J M, MAI K S, ZHANG W B, et al. A review on characteristic of nacre and its potential for biomimetic applications [J]. High Technology Letters, 2003, 13(11): 94–98. doi: 10.3321/j.issn:1002-0470.2003.11.022 [7] 李恒德, 冯庆玲, 崔福斋, 等. 贝壳珍珠层及仿生制备研究 [J]. 清华大学学报(自然科学版), 2001, 41(4/5): 41–47.LI H D, FENG Q L, CUI F Z, et al. Biomimetic research based on the study of nacre structure [J]. Journal of Tsinghua University (Science and Technology), 2001, 41(4/5): 41–47. [8] 梁艳, 赵杰, 王来, 等. 贝壳的力学性能和增韧机制 [J]. 机械强度, 2007, 29(3): 507–511. doi: 10.3321/j.issn:1001-9669.2007.03.031LIANG Y, ZHAO J, WANG L, et al. Mechanical properties and toughening mechanisms of mollusk shell [J]. Journal of Mechanical Strength, 2007, 29(3): 507–511. doi: 10.3321/j.issn:1001-9669.2007.03.031 [9] MENIG R, MEYERS M H, MEYERS M A, et al. Quasi-static and dynamic mechanical response of Haliotis rufescens (abalone) shells [J]. Acta Materialia, 2000, 48(9): 2383–2398. doi: 10.1016/S1359-6454(99)00443-7 [10] BARTHELAT F, LI C M, COMI C, et al. Mechanical properties of nacre constituents and their impact on mechanical performance [J]. Journal of Materials Research, 2006, 21(8): 1977–1986. doi: 10.1557/jmr.2006.0239 [11] 张勋, 刘书海, 肖华平. 冷冻铸造技术制备仿贝壳层状结构陶瓷复合材料研究进展 [J]. 材料导报, 2017, 31(7): 99–112.ZHANG X, LIU S H, XIAO H P. Applying freeze-casting technique to the fabrication of nacre-like lamellar structured ceramic composites: a state-of-the-art review [J]. Materials Review, 2017, 31(7): 99–112. [12] 侯东芳, 周根树, 郑茂盛. 贝壳珍珠层断裂过程的原位观察及其增韧机制分析 [J]. 材料科学与工程学报, 2007, 25(3): 388–391. doi: 10.3969/j.issn.1673-2812.2007.03.016HOU D F, ZHOU G S, ZHENG M S. In situ SEM observation of crack propagation and analysis of the toughening mechanism in nacre [J]. Journal of Marerials Science & Engineering, 2007, 25(3): 388–391. doi: 10.3969/j.issn.1673-2812.2007.03.016 [13] 马骁勇, 梁海弋, 王联凤. 三维打印贝壳仿生结构的力学性能 [J]. 科学通报, 2016, 61(7): 728–734.MA X Y, LIANG H Y, WANG L F. Multi-materials 3D printing application of shell biomimetic structure [J]. Chinese Science Bulletin, 2016, 61(7): 728–734. [14] BEGLEY M R, PHILIPS N R, COMPTON B G, et al. Micromechanical models to guide the development of synthetic ‘brick and mortar’ composites [J]. Journal of the Mechanics and Physics of Solids, 2012, 60(8): 1545–1560. doi: 10.1016/j.jmps.2012.03.002 -

下载: