Melting of MB2 Alloy under Shock Compression
-
摘要: 采用反向碰撞实验技术,结合具有高时空分辨率的全光纤激光干涉测速技术,对镁铝合金开展了极端动态压缩条件下的动力学行为实验研究,获得了镁铝合金在30~73 GPa压力范围内的Hugoniot和声速实验数据。深入的数据分析表明,所获得的Hugoniot数据与早期的Hugoniot数据一致,但是纵波声速却呈现出明显的向体波声速转变的趋势,对应冲击加载下镁铝合金的固-液熔化相变,相变压力区间为40~57 GPa。Abstract: Reverse impact experiments were performed at a shock pressure range from 30 GPa to 73 GPa to investigate the dynamic response of magnesium aluminum alloy. A displacement interferometer system for any reflector was employed to measure the impact velocity and sample/window interface particle velocities. The Hugoniot data obtained in this study had a good agreement with the data published before, however, the sound velocities extracted from our experiments showed a transition from longitudinal to bulk sound velocity. This discontinuity is attributed to melting transition under shock compression, and the transition pressure range is estimated from 40 GPa to 57 GPa.
-
Key words:
- shock compression /
- melting /
- sound velocity /
- magnesium aluminum alloy /
- phase transition
-
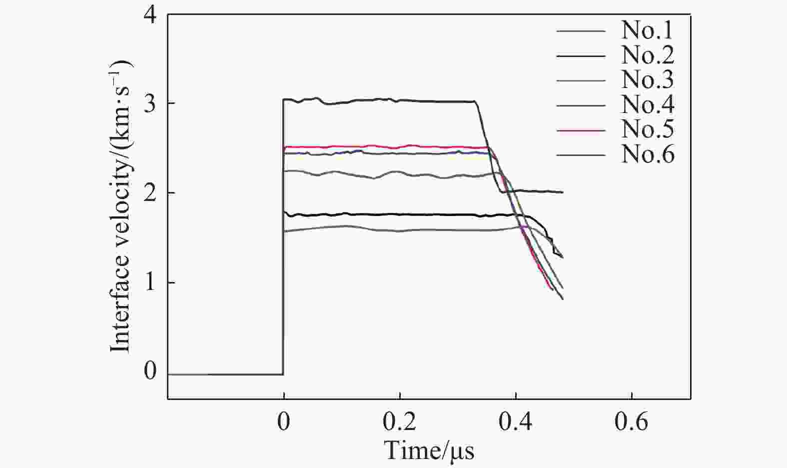
表 1 MB2样品冲击实验参数及结果
Table 1. Shock experiment parameters and results of MB2
Exp.No. hs/mm W/(km·s–1) uw/(km·s–1) us/(km·s–1) Ds/(km·s–1) p/GPa Cl/(km·s–1) 1 1.980±0.004 3.949±0.020 1.589±0.016 2.360±0.026 7.303±0.166 30.6±0.4 7.983±0.297 2 1.997±0.004 4.358±0.020 1.763±0.018 2.595±0.027 7.607±0.175 35.0±0.5 9.101±0.394 3 1.978±0.004 5.379±0.027 2.195±0.022 3.184±0.030 8.317±0.191 47.0±0.7 9.167±0.402 4 1.981±0.004 5.928±0.030 2.435±0.024 3.493±0.039 8.746±0.214 54.2±0.9 8.912±0.380 5 1.981±0.004 6.100±0.030 2.514±0.025 3.586±0.039 8.907±0.213 56.7±0.9 8.601±0.348 6 1.987±0.004 7.220±0.036 3.003±0.030 4.217±0.050 9.747±0.245 73.0±1.2 9.723±0.463 -
[1] GAO C Y, ZHANG L C, GUO W G, et al. Dynamic plasticity of AZ31 magnesium alloy: experimental investigation and constitutive modeling [J]. Materials Science and Engineering A, 2014, 613: 379–389. doi: 10.1016/j.msea.2014.06.112 [2] 胡昌明, 李英雷, 胡时胜, 等. 高温-高应变率下MB2合金的动态力学性能及变形机理 [J]. 兵器材料科学与工程, 2009, 32(5): 8–11 doi: 10.3969/j.issn.1004-244X.2009.05.003HU C M, LI Y L, HU S S, et al. Dynamic mechanical properties and deformation mechanical of MB2 alloy under high temperature and high strain rates [J]. Ordnance Material Science and Engineering, 2009, 32(5): 8–11 doi: 10.3969/j.issn.1004-244X.2009.05.003 [3] SCHMIDT R M, DAVIES F W, LEMPRIERE B M, et al. Temperature dependent spall threshold of four metal alloys [J]. Journal of Physics and Chemistry of Solids, 1978, 39(4): 375–385. doi: 10.1016/0022-3697(78)90079-3 [4] MILLETT J C F, STIRK S M, BOURNE N K, et al. On the behaviour of the magnesium alloy, AZ61 to one-dimensional shock loading [J]. Acta Materialia, 2010, 58(17): 5675–5682. doi: 10.1016/j.actamat.2010.06.042 [5] MARSH S P. LASL shock Hugoniot data [M]. Berkeley: University of California Press, 1980: 208. [6] YU Y Y, TAN H, HU J B, et al. Shear modulus of shock-compressed LY12 aluminium up to melting point [J]. Chinese Physics B, 2008, 17(1): 264–269. doi: 10.1088/1674-1056/17/1/046 [7] 胡建波, 谭华, 俞宇颖, 等. 铝的动态屈服强度测量及再加载弹性前驱波的形成机理分析 [J]. 物理学报, 2008, 57(1): 405–410 doi: 10.3321/j.issn:1000-3290.2008.01.063HU J B, TAN H, YU Y Y, et al. Measurements of dynamic yield strength of aluminum alloy and mechanism analysis of elastic precursor during reloading [J]. Acta Physica Sinica, 2008, 57(1): 405–410 doi: 10.3321/j.issn:1000-3290.2008.01.063 [8] 谭叶, 俞宇颖, 戴诚达, 等. 反向碰撞法测量Bi的低压Hugoniot数据 [J]. 物理学报, 2011, 60(10): 106401 doi: 10.7498/aps.60.106401TAN Y, YU Y Y, DAI C D, et al. Measurement of low-pressure Hugoniot data for bismuth with reverse-impact geometry [J]. Acta Physica Sinica, 2011, 60(10): 106401 doi: 10.7498/aps.60.106401 [9] 俞宇颖, 谭叶, 戴诚达, 等. 钒的高压声速测量 [J]. 物理学报, 2014, 63(2): 026202YU Y Y, TAN Y, DAI C D, et al. Sound velocities of vanadium under shock compression [J]. Acta Physica Sinica, 2014, 63(2): 026202 [10] WENG J D, TAN H, WANG X, et al. Optical-fiber interferometer for velocity measurements with picosecond resolution [J]. Applied Physics Letters, 2006, 89(11): 111101. doi: 10.1063/1.2335948 [11] 谭华. 实验冲击波物理导 [M]. 北京: 国防工业出版社, 2006: 5.TAN H. Introduction to experimental shock-wave physics [M]. Beijing: National Defense Industry Press, 2006: 5. [12] RIGG P A, KNUDSON M D, SCHARFF R J, et al. Determining the refractive index of shocked [J]. Journal of Applied Physics, 2014, 116(3): 033515. doi: 10.1063/1.4890714 [13] URTIEW P A, GROVER R. The melting temperature of magnesium under shock loading [J]. Journal of Applied Physics, 1977, 48(3): 1122–1126. doi: 10.1063/1.323789 [14] 徐锡申, 张万箱. 实用物态方程理论导引 [M]. 北京: 科学出版社, 1986: 527.XU X S, ZHANG W X. Introduction to equation of state theory [M]. Beijing: National Defense Industry Press, 1986: 527. [15] WU Q, JING F Q. Thermodynamic equation of state and application to Hugoniot predictions for porous materials [J]. Journal of Applied Physics, 1996, 80(8): 4343–4349. doi: 10.1063/1.363391 [16] 国家质量技术监督局计量司. 测量不确定度评定与表示指南 [M]. 北京: 中国计量出版社, 2000. -

下载: