Structural Health Monitoring of Filament Wound Pressure Vessel by Embedded Strain Gauges
-
摘要: 在玻璃纤维缠绕金属内胆复合材料压力容器的制备过程中,将应变传感器埋在金属内胆与玻璃纤维/环氧树脂复合材料层之间,得到了具有原位监测功能的纤维缠绕压力容器。对该纤维缠绕压力容器开展水压疲劳和爆破实验。疲劳压力的最大值和最小值分别为25 MPa和2 MPa,最大疲劳周次为5700;打压爆破压力为零到爆破压力,打压速率为2 MPa/s。实验过程中,利用埋入式应变传感器原位监测了压力容器的应变变化,建立了不同载荷作用下纤维缠绕压力容器的应变与受载情况之间的关联。结果表明:采用埋入式应变传感器监测纤维缠绕压力容器的健康状况具有可行性;该方法在保护应变传感器不受外载荷破坏的前提下,原位监测了压力容器在疲劳和爆破实验中的应变变化趋势。Abstract: During the manufacturing process of a filament wound pressure vessel, we embed the strain gauges between the metal tank and glass fiber reinforced epoxy composite layer to obtain the capability of in-situ monitoring . Experiments with a full-scale composite pressure vessel during hydraulic fatigue cycling and pressurization are performed. The maximum and minimum pressures in the fatigue test are set as 25 and 2 MPa, and the maximum cycle number is set as 5700 cycles, respectively. The pressurization speed is set as 2 MPa/s from 0 MPa to busting pressure. The strain of the pressure vessel in the two loading tests is monitored by the embedded strain gauge. The relationship between the stain and the loading conditions of the pressure vessel was thus built. Results show that, by embedding the strain gauges during the processing, it is possible to monitor the health status of the vessel under hydraulic fatigue cycling and pressurization load without hurting the sensors by the external load.
-
图 1 具有原位监测功能的复合材料压力容器制备过程:(a)纤维缠绕工艺,(b)粘贴在金属内胆的应变片,(c)带有埋入式应变片的纤维缠绕压力容器
Figure 1. Preparation of the filament wound pressure vessel with the embedded strain gauges: (a) the fiber winding processing; (b) the strain gauges attached on the inner steel tank; (c) the pressure vessel with the embedded stain gauges
表 1 纤维缠绕压力容器中金属内胆参数
Table 1. Parameters of the inner metal tank in the filament wound pressure vessel
Material External
diameter/mmWall thickness
/mmHeight
/mmWeight
/kgVolume
/LWork pressure
/MPaTop pressure
/MPa30CrMo steel 325 5 750 45.3 55 20 34 表 2 纤维缠绕压力容器打压疲劳试验参数
Table 2. Parameters of the hydraulic fatigue cycling
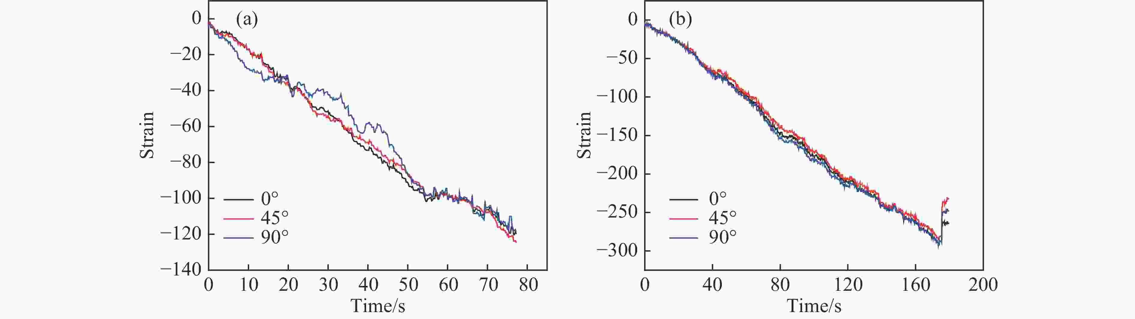
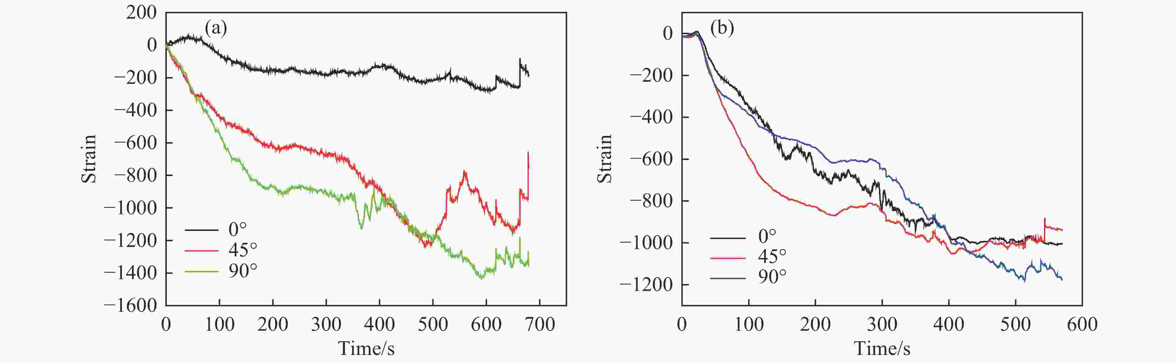
Media Cycling rate Minimum pressure/MPa Rising pressure time/s Minimum pressure holding time/s Water 7.8 2 3.1 2 Temperature/℃ Cycle times Maximum pressure/MPa Pressure drop time/s Maximum pressure holding time/s 11.2 5700 25 0.6 2 表 3 不同纤维缠绕压力容器在不同压力下的最大应变
Table 3. Maximum strain of the pressure vessel at various pressures
Pressure/MPa Maximum strain Without fatigue and groove Without fatigue, with groove Fatigue, without groove Fatigue, with groove 5 –120 –100 –400 –1000 10 –160 –150 –1200 –1200 15 –300 –300 –1200 –1200 20 –500 –500 –1500 –1500 25 –600 –650 -
[1] 缑林虎, 郑锡涛, 程勇. 平面缠绕炭纤维压力容器大变形有限元分析 [J]. 固体火箭技术, 2010, 33(2): 205–208. doi: 10.3969/j.issn.1006-2793.2010.02.019GOU L H, ZHENG X T, CHENG Y. Large deformation finite element analysis of planar carbon fiber wound composite pressure vessel [J]. Journal of Solid Rocket Technology, 2010, 33(2): 205–208. doi: 10.3969/j.issn.1006-2793.2010.02.019 [2] 郑津洋, 开方明, 刘仲强, 等. 轻质高压储氢容器 [J]. 化工学报, 2004, 55(Suppl 1): 130–133.ZHENG J Y, KAI F M, LIU Z Q, et al. Lightweight high-pressure hydrogen tank [J]. Journal of Industry and Engineering, 2004, 55(Suppl 1): 130–133. [3] 杨斌, 章继峰, 梁文彦, 等. 玻璃纤维表面纳米SiO改性对GF/PCBT复合材料力学性能的影响 [J]. 复合材料学报, 2015, 32(3): 691–698.YANG B, ZHANG J F, LIANG W Y, et al. Effects of glass fiber surface modified by nano-SiO2 on mechanical properties of GF/PCBT composites [J]. Acta Metallurgica Sinica, 2015, 32(3): 691–698. [4] 杨斌, 章继峰, 周利民. 玻璃纤维-碳纤维混杂增强PCBT复合材料层合板的制备及低速冲击性能 [J]. 复合材料学报, 2015, 32(2): 435–443.YANG B, ZHANG J F, ZHOU L M. Preparation and low-velocity impact properties of glass fiber-carbon fiber hybrid reinforced PCBT composite laminate [J]. Acta Metallurgica Sinica, 2015, 32(2): 435–443. [5] 路智敏, 李强, 李卓. 基于爆破试验的CFRP固体火箭发动机壳体的可靠性设计 [J]. 复合材料学报, 2009, 26(2): 176–180. doi: 10.3321/j.issn:1000-3851.2009.02.031LU Z M, LI Q, LI Z. Reliability design of CFRP solid rocket motor vessel based on the burst experiment [J]. Acta Metallurgica Sinica, 2009, 26(2): 176–180. doi: 10.3321/j.issn:1000-3851.2009.02.031 [6] OZEVIN D, HARDING J. Novel leak localization in pressurized pipeline networks using acoustic emission and geometric connectivity [J]. International Journal of Pressure Vessels and Piping, 2012, 92: 63–69. doi: 10.1016/j.ijpvp.2012.01.001 [7] CHOU H Y, MOURITZ A P, BANNISTER M K, et al. Acoustic emission analysis of composite pressure vessels under constant and cyclic pressure [J]. Composites Part A: Applied Science and Manufacturing, 2015, 70: 111–120. doi: 10.1016/j.compositesa.2014.11.027 [8] KHAN A, KO D K, LIM S C, et al. Structural vibration-based classification and prediction of delamination in smart composite laminates using deep learning neural network [J]. Composites Part B: Engineering, 2019, 161: 586–594. doi: 10.1016/j.compositesb.2018.12.118 [9] 王晓勇, 熊建平, 高义广. X射线切线照相检测技术在纤维缠绕压力容器检测中的应用 [J]. 航天制造技术, 2011(6): 65–68.WANG X Y, XIONG J P, GAO Y G. Application of X-ray inspection technique in detection of filament-wound pressure vessel [J]. Aerospace Manufacturing Technology, 2011(6): 65–68. [10] 杜善义, 冷劲松, 顾震隆. 用应力波技术对配橡胶内衬的复合材料板壳进行无损检测 [J]. 复合材料学报, 1993, 10(1): 65–69.DU S Y, LENG J S, GU Z L. Non-destructive testing for composite plate and shell with rubber liner using stress wave technique [J]. Acta Metallurgica Sinica, 1993, 10(1): 65–69. [11] 乔业程, 王福强. 压力容器氢损伤的监测与检测方法 [J]. 橡塑技术与装备, 2018, 44(20): 54–56.QIAO Y C, WANG F Q. Monitoring and detection of hydrogen damage in pressure vessels [J]. China Rubber/Plastics Technology and Equipment, 2018, 44(20): 54–56. [12] 赵海涛, 张博明, 武湛君, 等. 纤维缠绕复合材料压力容器健康监测研究进展 [J]. 压力容器, 2007, 24(3): 48–61. doi: 10.3969/j.issn.1001-4837.2007.03.012ZHAO H T, ZHANG B M, WU Z J, et al. Development of health monitoring for filament wound composite pressure vessels [J]. Pressure Vessel Technology, 2007, 24(3): 48–61. doi: 10.3969/j.issn.1001-4837.2007.03.012 [13] BELLAN F, BULLETTI A, CAPINERI L, et al. A new design and manufacturing process for embedded Lamb waves interdigital transducers based on piezopolymer film [J]. Sensors and Actuators A, 2005, 123: 379–387. [14] AI D, ZHU H, LUO H. Sensitivity of embedded active PZT sensor for concrete structural impact damage detection [J]. Construction and Building Materials, 2016, 111: 348–357. doi: 10.1016/j.conbuildmat.2016.02.094 [15] ANNAMDAS V G M, SOH C K. Embedded piezoelectric ceramic transducers in sandwiched beams [J]. Smart Materials and Structures, 2006, 15(2): 538–549. doi: 10.1088/0964-1726/15/2/037 [16] DZIENDZIKOWSKI M, KURNYTA A, DRAGAN K, et al. In situ barely visible impact damage detection and localization for composite structures using surface mounted and embedded PZT transducers: a comparative study [J]. Mechanical Systems and Signal Processing, 2016, 78: 91–106. doi: 10.1016/j.ymssp.2015.09.021 [17] GHIMIRE M, WANG C, DIXON K, et al. In situ monitoring of prestressed concrete using embedded fiber loop ringdown strain sensor [J]. Measurement, 2018, 124: 224–232. doi: 10.1016/j.measurement.2018.04.017 [18] WANG Y, WANG Y, HAN B, et al. Strain monitoring of concrete components using embedded carbon nanofibers/epoxy sensors [J]. Construction and Building Materials, 2018, 186: 367–378. doi: 10.1016/j.conbuildmat.2018.07.147 [19] CHOWDHURY N T, JOOSTEN M W, PEARCE G M K. An embedded meshing technique (SET) for analysing local strain distributions in textile composites [J]. Composite Structures, 2019, 210: 294–309. doi: 10.1016/j.compstruct.2018.11.026 [20] KANERVA M, ANTUNES P, SARLIN E, et al. Direct measurement of residual strains in CFRP-tungsten hybrids using embedded strain gauges [J]. Materials & Design, 2017, 127: 352–363. -

下载: