基于双光源干涉的PDV数据补偿方法

张敏 杨军 史国凯 姜万春 王昭 惠海龙

张敏, 杨军, 史国凯, 姜万春, 王昭, 惠海龙. 基于双光源干涉的PDV数据补偿方法[J]. 高压物理学报, 2019, 33(5): 053201. doi: 10.11858/gywlxb.20180659
引用本文: 张敏, 杨军, 史国凯, 姜万春, 王昭, 惠海龙. 基于双光源干涉的PDV数据补偿方法[J]. 高压物理学报, 2019, 33(5): 053201. doi: 10.11858/gywlxb.20180659
ZHANG Min, YANG Jun, SHI Guokai, JIANG Wanchun, WANG Zhao, HUI Hailong. A Compensation Method of Photonic Doppler Velocimeter Based on Two Laser Sources[J]. Chinese Journal of High Pressure Physics, 2019, 33(5): 053201. doi: 10.11858/gywlxb.20180659
Citation: ZHANG Min, YANG Jun, SHI Guokai, JIANG Wanchun, WANG Zhao, HUI Hailong. A Compensation Method of Photonic Doppler Velocimeter Based on Two Laser Sources[J]. Chinese Journal of High Pressure Physics, 2019, 33(5): 053201. doi: 10.11858/gywlxb.20180659

基于双光源干涉的PDV数据补偿方法

doi: 10.11858/gywlxb.20180659
详细信息
    作者简介:

    张 敏(1981-),男,硕士,工程师,主要从事力学信号获取与信息处理研究. E-mail:zhangmin@nint.ac.cn

  • 中图分类号: O384

A Compensation Method of Photonic Doppler Velocimeter Based on Two Laser Sources

  • 摘要: 针对结构动态响应测试中的大量程负向速度测量问题,设计了基于双光源干涉的光纤速度干涉仪(PDV)测试系统,与单光源PDV系统相比,大幅拓宽了负向测速范围。但在爆炸实验中发现,由于光源波长波动产生了位移基线漂移和振荡问题。为此,引入一路参考反射镜,产生双光源干涉本底信号,用于补偿位移基线,并研究了数据补偿算法。经实验验证,补偿后的位移基线漂移量为微米级,双光源模式及补偿方法可行且有效。

     

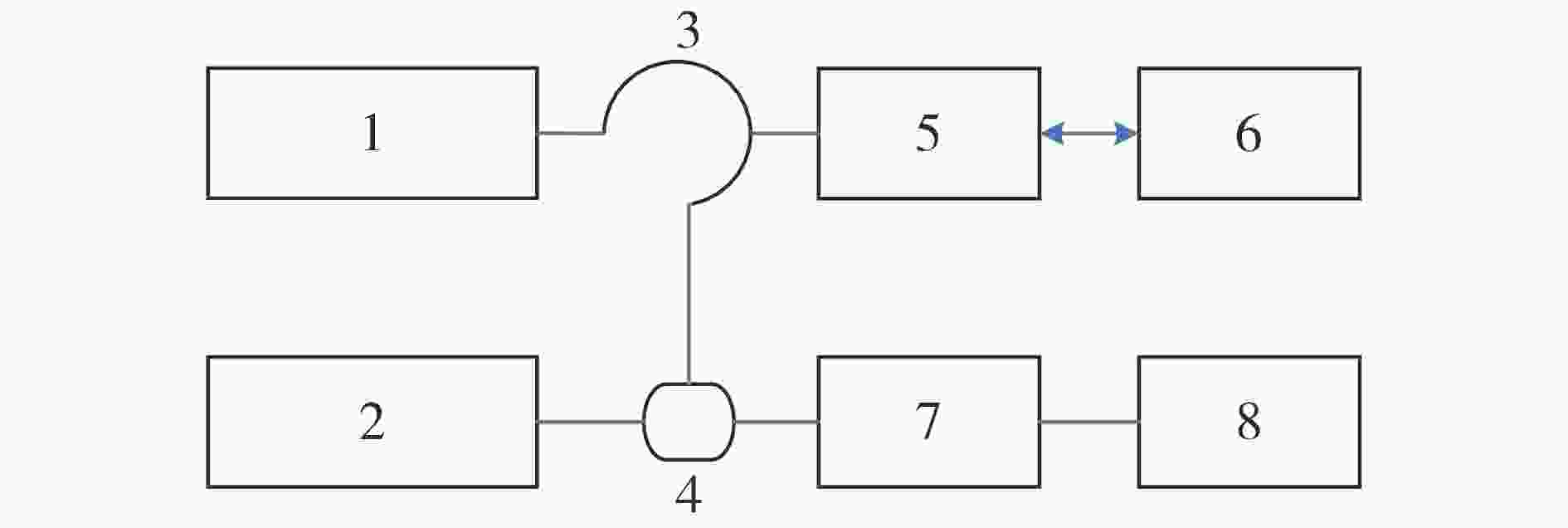
  • 图  旁轴式外差结构PDV(1.激光器,2.分束器,3.移频器,4.衰减器,5.环形器,6.合束器,7.探头,8.被测物,9.探测器,10.示波器)

    Figure  1.  PDV using heterodyne techniques (1. Laser; 2. Splitter; 3. Modulator; 4. Attenuator; 5. Circulator; 6. Combiner; 7. Probe; 8. Target; 9. Detector; 10. Oscilloscope)

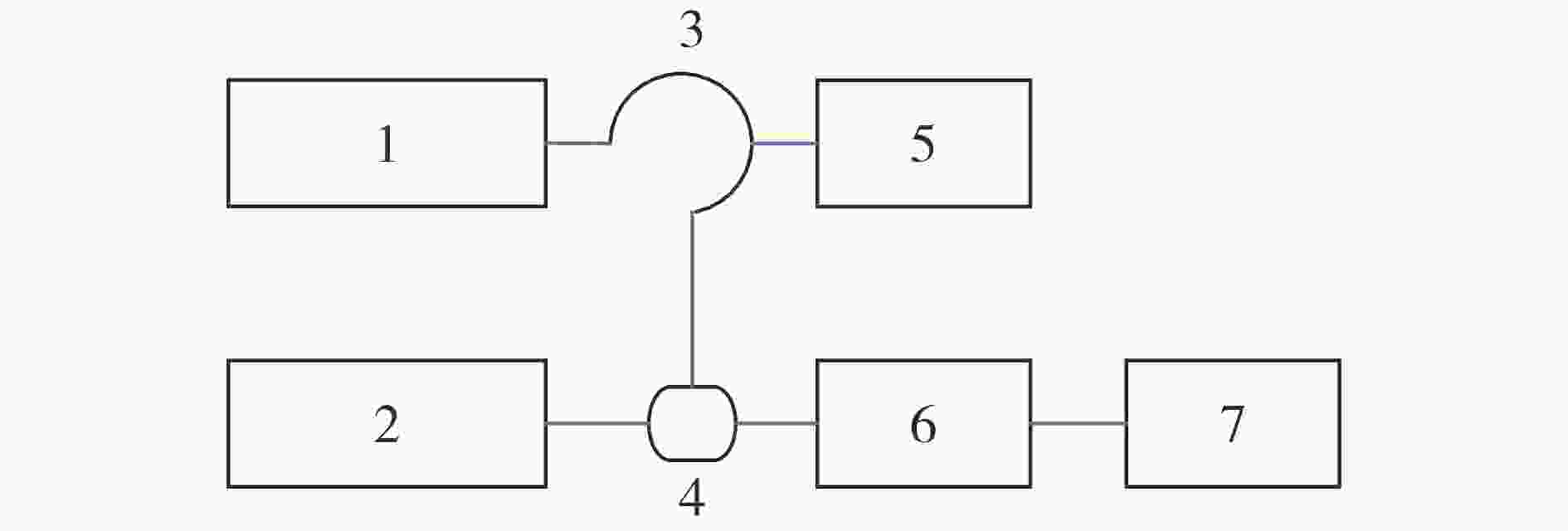
    图  双光源模式PDV(1.信号激光器,2.参考激光器,3.环形器,4.合束器,5.探头,6.被测物,7.探测器,8.示波器)

    Figure  2.  PDV with two laser sources (1. Signal laser; 2. Reference laser; 3. Circulator; 4. Combiner; 5. Probe; 6. Target; 7. Detector; 8. Oscilloscope)

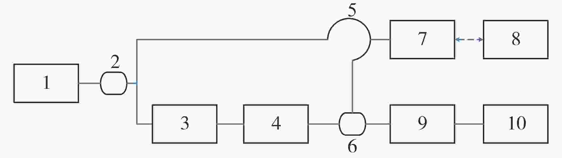
    图  补偿通道示意图(1.信号激光器,2.参考激光器,3.环形器,4.合束器,5.反射镜,6.探测器,7.示波器)

    Figure  3.  Schematic diagram of compensation channel (1. Signal laser; 2. Reference laser; 3. Circulator; 4. Combiner; 5. Reflector; 6. Detector; 7. Oscilloscope)

    图  位移漂移现象及补偿结果

    Figure  4.  Displacement baseline drift and compensation result

    图  补偿前的位移值

    Figure  5.  Displacement before compensation

    图  补偿后的位移值

    Figure  6.  Displacement after compensation

    图  速度结果

    Figure  7.  Velocity result

  • [1] BARKER L M, HOLLENBACH R E. Laser interferometer for measuring high velocities of any reflecting surface [J]. Journal of Applied Physics, 1972, 43(11): 4669–4675. doi: 10.1063/1.1660986
    [2] HEMSING W F. Velocity sensing interferometer modification [J]. Review of Scientific Instruments, 1979, 50(1): 73–78. doi: 10.1063/1.1135672
    [3] 傅迎光. 基于调制光源的光子多普勒测速系统 [D]. 北京: 北京交通大学, 2014: 14–18.

    FU Y G. Photonic Doppler velocimetry system based on modulated light source [D]. Beijing: Beijing Jiaotong University, 2014: 14–18.
    [4] 朱振, 胡艳, 吴立志, 等. 基于PDV技术的微型雷管爆炸驱动飞片速度测试研究 [J]. 爆破器材, 2016, 45(5): 56–61. doi: 10.3969/j.issn.1001-8352.2016.05.012

    ZHU Z, HU Y, WU L Z, et al. Investigation on flyer velocity driven by miniaure detonators based on the PDV technology [J]. Explosive Materials, 2016, 45(5): 56–61. doi: 10.3969/j.issn.1001-8352.2016.05.012
    [5] 吴立志, 陈少杰, 叶迎华, 等. 用于瞬态高速飞片速度测量的光子多普勒测速系统 [J]. 红外与激光工程, 2016, 45(12): 263–267.

    WU L Z, CHEN S J, YE Y H, et al. Photonic Doppler velocimetry used for instant velocity measurement of high-speed small flyer [J]. Infrared and Laser Engineering, 2016, 45(12): 263–267.
    [6] 李旭, 安丰江, 吴成, 等. 一种基于PDV的近场冲击波高压测量技术 [J]. 中国测试, 2018, 44(10): 134–138. doi: 10.11857/j.issn.1674-5124.2018.10.023

    LI X, AN F J, WU C, et al. A near-field shock wave measurement technique based on PDV [J]. China Measurement & Test, 2018, 44(10): 134–138. doi: 10.11857/j.issn.1674-5124.2018.10.023
    [7] 邵磊, 刘宏利, 贾明雁, 等. 激光多普勒爆破容器高速变形动态测量技术的研究 [J]. 纳米技术与精密工程, 2006, 4(3): 176–181. doi: 10.3969/j.issn.1672-6030.2006.03.002

    SHAO L, LIU H L, JIA M Y, et al. Technique of dynamic measurement of high velocity deformation of explosive container based on laser Doppler effect [J]. Nanotechnology and Precision Engineering, 2006, 4(3): 176–181. doi: 10.3969/j.issn.1672-6030.2006.03.002
    [8] 杨军, 王克逸, 徐海斌, 等. 光纤位移干涉仪的研制及其在Hopkinson压杆实验中的应用 [J]. 红外与激光工程, 2013, 42(1): 102–107. doi: 10.3969/j.issn.1007-2276.2013.01.019

    YANG J, WANG K Y, XU H B, et al. Development of an optical-fiber displacement interferometer and its application in Hopkinson pressure bar experiment [J]. Infrared and Laser Engineering, 2013, 42(1): 102–107. doi: 10.3969/j.issn.1007-2276.2013.01.019
    [9] MERCIER P, BÉNIER J, FRUGIER P A, et al. Heterodyne velocimetry and detonics experiments [C]//The International Congress on High-Speed Imaging and Photonics, 2009: 712610.
    [10] 陶天炯, 翁继东, 王翔. 一种双源光外差测速技术 [J]. 光电工程, 2011, 38(10): 39–45. doi: 10.3969/j.issn.1003-501X.2011.10.007

    TAO T J, WENG J D, WANG X. A dual laser heterodyne velocimetry [J]. Opto-Electronic Engineering, 2011, 38(10): 39–45. doi: 10.3969/j.issn.1003-501X.2011.10.007
    [11] 吴建荣, 李泽仁, 王德田, 等. 光纤位移干涉仪测高速漫反射面速度误差分析 [J]. 光电工程, 2008, 35(8): 35–40. doi: 10.3969/j.issn.1003-501X.2008.08.008

    WU J R, LI Z R, WANG D T, et al. Error analysis for the velocity measurement by fiber displacement interferometer on high speed diffuse surface [J]. Opto-Electronic Engineering, 2008, 35(8): 35–40. doi: 10.3969/j.issn.1003-501X.2008.08.008
    [12] 史国凯, 杨军, 刘文祥, 等. PDV法测量内部爆炸作用下沙墙外层速度 [J]. 中国测试, 2016, 42(10): 68–71. doi: 10.11857/j.issn.1674-5124.2016.10.013

    SHI G K, YANG J, LIU W X, et al. Photonic Doppler velocimetry of outer layer of sand wall under internal explosion loading [J]. China Measurement & Test, 2016, 42(10): 68–71. doi: 10.11857/j.issn.1674-5124.2016.10.013
  • 加载中
图(7)
计量
  • 文章访问数:  9350
  • HTML全文浏览量:  4384
  • PDF下载量:  32
出版历程
  • 收稿日期:  2018-10-15
  • 修回日期:  2018-11-08

目录

    /

    返回文章
    返回