Dynamic Compression Characteristics of Polystyrene Foam Materials
-
摘要: 通过万能材料试验机和落锤式冲击试验装置,对发泡聚苯乙烯泡沫材料进行准静态和动态压缩试验,探讨密度和加载速率对材料动态压缩特性的影响。基于落锤试验数据,考虑密度相关性,通过修正得到恒定应变率下材料动态本构关系的经验公式。基于LS-DYNA中的MAT57和MAT163以及ABAQUS中的Low Density Foam和Crushable Foam 4种材料模型,建立了适用于有限元仿真的发泡聚苯乙烯泡沫本构模型。通过模拟落锤冲击过程,对比试验结果发现:MAT163和Crushable Foam模型能较好地预测材料动态响应和能量吸收性能,验证了动态本构模型的可靠性,并且这两种特定的材料模型在模拟发泡聚苯乙烯泡沫冲击碰撞时具有良好的适用性。Abstract: The quasi-static and dynamic compression tests of expanded polystyrene (EPS) foam material were carried out through a universal material tester and a drop-weight impact machine. The density and loading rate effects of the dynamic compression characteristics for the polystyrene foam material were discussed. By considering the density correlation, the empirical formula of dynamic constitutive relation under constant strain rate was modified based on the drop-weight test data. The constitutive model of EPS foam was established based on the material finite element models of MAT57, MAT163 in LS-DYNA, and Low Density Foam and Crushable Foam in ABAQUS. By simulating the impact process of drop-weight and comparing with the test results, it shows that MAT163 and Crushable Foam model can predict the dynamic response and energy absorption performance better. The results verify the reliability of the dynamic constitutive model. Meanwhile, it shows that these two specific material models have good applicability in simulating the impact problem of EPS foam.
-
Key words:
- polystyrene foam /
- strain rate /
- density /
- dynamic compression characteristics /
- constitutive model
-
表 1 EPS落锤试验工况
Table 1. Experimental conditions of EPS
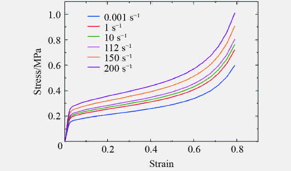
Size of specimen/(mm×mm×mm) Density of EPS/(kg·m–3) Mass of drop-hammer/kg Drop height/m 100×100×20 20,25,28 9.8648 0.2,0.5,0.8 表 2 EPS在20%应变处的应力与压缩动态增长因子
Table 2. Stress and CDIF of EPS at 20% strain
EPS28 EPS25 EPS20 Strain rate/s–1 Stress/MPa CDIF Strain rate/s–1 Stress/MPa CDIF Strain rate/s–1 Stress/MPa CDIF 0.001 0.212 1.000 0.001 0.178 1.000 0.001 0.144 1.000 0.01 0.244 1.147 0.01 0.197 1.102 0.01 0.159 1.100 76.50 0.282 1.325 80.25 0.235 1.319 87.00 0.170 1.180 140.50 0.314 1.478 144.00 0.251 1.408 148.50 0.182 1.262 184.75 0.352 1.657 188.25 0.266 1.492 191.00 0.199 1.379 表 3 EPS在30%应变处的应力与压缩动态增长因子
Table 3. Stress and CDIF of EPS at 30% strain
EPS28 EPS25 EPS20 Strain rate/s–1 Stress/MPa CDIF Strain rate/s–1 Stress/MPa CDIF Strain rate/s–1 Stress/MPa CDIF 0.001 0.235 1.000 0.001 0.201 1.000 0.001 0.162 1.000 0.01 0.269 1.144 0.01 0.222 1.104 0.01 0.177 1.095 54.75 0.305 1.298 63.25 0.261 1.302 76.00 0.195 1.201 129.00 0.335 1.427 134.75 0.273 1.358 142.00 0.207 1.280 174.75 0.371 1.580 181.50 0.285 1.422 185.75 0.221 1.362 表 4 基于Crushable Foam模型的EPS28材料参数
Table 4. EPS28 material parameters based on crushable foam model
Elastic parameters Plastic parameters Poisson’s
ratioModulus/
MPaDensity/
(kg·m–3)Plastic
Poisson’s ratioStress/
MPaPlastic
strainYield stress
ratioStrain
rate/s–10 6.213 28 0 0.168 0 1 0.001 0.219 0.227 1.204 1 0.265 0.498 1.273 10 0.341 0.871 1.343 112 0.446 1.186 1.514 150 0.599 1.465 1.685 200 表 5 基于LS-DYNA MAT57模型的EPS28材料参数
Table 5. EPS28 material parameters based on LS-DYNA MAT57 model
Density/
(kg·m–3)Modulus/
MPaPoisson’s
ratioTension cut-off
stress/MPaViscous
coefficientShape
factorHysteretic
unloading factorEd/MPa β1 28 6.213 0 1 0.1 10 0.1 0.36 169.23 表 6 MAT163和Crushable Foam预测的吸收能量与试验结果对比
Table 6. MAT163 and Crushable Foam predicted results compared with the test results for absorbed energy
H/m Absorbed energy/J Relative error/% Test MAT163 Crushable Foam MAT163 Crushable Foam 0.2 19.192 17.949 18.416 6.48 4.04 0.5 46.172 45.087 46.479 2.35 0.66 0.8 71.514 71.308 72.410 0.29 1.25 -
[1] OUELLET S, CRONIN D, WORSWICK M. Compressive response of polymeric foams under quasi-static, medium and high strain rate conditions [J]. Polymer Testing, 2006, 25(6): 731–743. doi: 10.1016/j.polymertesting.2006.05.005 [2] CRONIN D S, OUELLET S. Low density polyethylene, expanded polystyrene and expanded polypropylene: strain rate and size effects on mechanical properties [J]. Polymer Testing, 2016, 53: 40–50. doi: 10.1016/j.polymertesting.2016.04.018 [3] HORVATH J S. Expanded polystyrene (EPS) geofoam: an introduction to material behavior [J]. Geotextiles and Geomembranes, 1994, 13(4): 263–280. doi: 10.1016/0266-1144(94)90048-5 [4] GIBSON L, ASHBY M. Cellular solids: structure and properties [M]. Cambridge: Cambridge University Press, 1997. [5] SAINT-MICHEL F, CHAZEAU L, CAVAILLÉ J Y, et al. Mechanical properties of high density polyurethane foams: I. effect of the density [J]. Composites Science and Technology, 2006, 66(15): 2700–2708. doi: 10.1016/j.compscitech.2006.03.009 [6] CHEN W, HAO H, HUGHES D, et al. Static and dynamic mechanical properties of expanded polystyrene [J]. Materials & Design, 2015, 69: 170–180. [7] 王志亮, 诸斌. EPS泡沫冲击压缩和吸能特性试验研究 [J]. 建筑材料学报, 2013, 16(4): 630–636 doi: 10.3969/j.issn.1007-9629.2013.04.014WANG Z L, ZHU B. Experimental study on impact compression and energy-absorbing property of expanded polystyrene foam [J]. Journal of Building Materials, 2013, 16(4): 630–636 doi: 10.3969/j.issn.1007-9629.2013.04.014 [8] LING C, IVENS J, CARDIFF P, et al. Deformation response of EPS foam under combined compression-shear loading. Part I: experimental design and quasi-static tests [J]. International Journal of Mechanical Sciences, 2018, 144: 480–489. doi: 10.1016/j.ijmecsci.2018.06.014 [9] LING C, IVENS J, CARDIFF P, et al. Deformation response of EPS foam under combined compression-shear loading. Part II: high strain rate dynamic tests [J]. International Journal of Mechanical Sciences, 2018, 145: 9–23. doi: 10.1016/j.ijmecsci.2018.06.015 [10] LING C, CARDIFF P, GILCHRIST M D. Mechanical behaviour of EPS foam under combined compression-shear loading [J]. Materials Today Communications, 2018, 16: 339–352. doi: 10.1016/j.mtcomm.2018.07.001 [11] SHAH Q H, TOPA A. Modeling large deformation and failure of expanded polystyrene crushable foam using LS-DYNA [J]. Modelling and Simulation in Engineering, 2014: 1. [12] OZTURK U E, ANLAS G. Finite element analysis of expanded polystyrene foam under multiple compressive loading and unloading [J]. Materials & Design, 2011, 32(2): 773–780. [13] 姚小虎, 任会兰, 林荣, 等. 聚合物泡沫材料动态力学性能及其能量吸收研究 [J]. 高压物理学报, 2012, 26(5): 531–536YAO X H, REN H L, LIN R, et al. Study on dynamic mechanical properties and energy absorption of polymeric foams [J]. Chinese Journal of High Pressure Physics, 2012, 26(5): 531–536 [14] 郭伟国, 李玉龙, 索涛. 应力波基础简明教程 [M]. 西安: 西北工业大学出版社, 2007: 120–154. [15] NAGY A, KO W L, LINDHOLM U S. Mechanical behavior of foamed materials under dynamic compression [J]. Journal of Cellular Plastics, 1974, 10(3): 127–134. doi: 10.1177/0021955X7401000306 [16] ZHANG J, KIKUCHI N, LI V, et al. Constitutive modeling of polymeric foam material subjected to dynamic crash loading [J]. International Journal of Impact Engineering, 1998, 21(5): 369–386. doi: 10.1016/S0734-743X(97)00087-0 [17] ABAQUS analysis user’s manual version 2017 [M]. ABAQUS Inc., 2017. [18] OZTURK U E. Mechanical behavior of low density polymeric foams under multiple loading and unloading [D]. Turkey: Bogazici University, 2008. [19] LS-DYNA theory manual version Vol. R7.1 [M]. Livermore: Livermore Software Technology, 2006. -

下载: