Ultralow-Density Clathrate Ices and Phase Diagram under Negative Pressure
-
摘要: 水不仅在地球上无处不在,而且在太阳系中(如彗星、小行星及巨行星的卫星上)也普遍存在。因此,探索存在于不同环境条件下不同形态的水冰晶体对物理学、化学、生物学、地球科学以及行星科学都有着重要意义。根据周围的环境条件(压强和温度),冰呈现出极其丰富和复杂的相图。目前,实验上已合成了18个晶体冰相,分别是ice Ic、ice Ih、ice II 直至ice XVII。此外,还有一些来自于笼形包合物的假想超低密度冰相,分别是I型、II型、H型、K型和T型笼形冰。近期,在实验室中合成的II型笼形冰(即ice XVI)出现在了水的负压相图中,极大地激发了人们去探索其他低密度笼形冰。结合带有色散修正的密度泛函理论计算和经典的蒙特卡罗、分子动力学模拟,我们预测了两个具有超低密度的立方笼形冰相,将其依次命名为s-III笼形冰(ρ=0.593 g/cm3)和s-IV笼形冰(ρ=0.506 g/cm3)。s-III笼形冰的元胞由2个二十六面体的大笼子(8668412)和6个十面体的小笼子(8248)组成。s-IV笼形冰的元胞中含有8个二十六面体的大笼子(12464418)、8个十二面体的中等尺寸笼子(6646)和6个八面体的小笼子(6246)。对于这两种笼形冰,超大尺寸的二十六面体水笼子以及不同笼子之间的独特堆积方式使它们的密度极低。把所有低密度冰相(其密度小于或者等于ice XI)考虑在内,我们基于TIP4P/2005模型势函数构建了水在负压下的p-T(压强-温度)相图。在s-II笼形冰下方的极低负压区域内,s-III和s-IV笼形冰取代了之前认为的s-H笼形冰,分别占据了高温和低温部分,因此在相图中产生了一个三相点(T=115 K,p=–488.2 MPa)。密度泛函理论计算表明,通过在二十六面体大笼子中添加合适尺寸的客体分子,比如十二面烷(C20H20)和富勒烯(C60),能够分别充分地稳定s-III和s-IV笼形冰晶格。基于实验室中已经制备出的无客体分子填充的s-II笼形冰,且被认定为ice XVI相,那么s-III和s-IV笼形冰很可能是ice XVIII或ice XIX的候选结构。它们一旦在实验室中被合成,则可以作为一种储存气体的材料用来封装气体分子(如H2、CH4、CO2等)。计算表明:s-III笼形冰在低温和室温下的储氢能力均为s-II的两倍左右,达到了美国能源部在海陆运输上制订的储氢目标。Abstract: Water is not only omnipresent on the Earth but also ubiquitous in the solar system such as on comets, asteroids, or icy moons of the giant planets. Hence, exploration of different forms of ice in different environment has significant implication to physical science, chemical science, bioscience, geoscience and planetary science. Depending on the surrounding conditions of pressure and temperature, water ice exhibits an exceptionally rich and complicated phase diagram. To date, at least eighteen crystalline ice phases (ice Ih, Ic, ice II to ice XVII) have been identified under laboratory conditions. In addition, there are many hypothetical ultralow-density ice phases from clathrate hydrates, such as structure I (s-I), structure II (s-II), structure H (s-H), structure K (s-K) and structure T (s-T) ices. Recently, the s-II clathrate ice (ice XVI) produced in the laboratory emerges in the negative pressure part of phase diagram, which stimulates greatly people to explore the other low-density clathrate ices. Using extensive Monte Carlo packing algorithm, classical molecular dynamins simulations, and dispersion-corrected density functional theory optimization, we predict two cubic clathrate ices with ultralow densities, and name them as s-III (ρ=0.593 g/cm3) and s-IV (ρ=0.506 g/cm3) clathrate ices. The unit cell of s-III clathrate ice is composed of two large icosihexahedral cavities (8668412) and six small decahedral cavities (8248), while the unit cell of s-IV clathrate ice is constructed by eight large icosihexahedral cavities (12464418), eight intermediate dodecahedral cavities (6646), and six small octahedral cavities (6246). For these two clathrate ices, the large-sized icosihexahedral cavities and the unique packed patterns among different cavities result in their record low densities. Considering all the low-density (lower than ice XI or equal to ice XI) ices, we construct a new p-T (pressure-temperature) phase diagram of water with TIP4P/2005 model potential under negative pressures. Below the deeply negative-pressure region of s-II clathrate ice, s-III and s-IV clathrate ices replace s-H clathrate ice, arising as the most stable ice phases in the high-temperature part and the low-temperature part, respectively. As a result, a triple point (T = 115 K, p = –488.2 MPa) appears in the phase diagram. The density functional theory calculations suggest that the s-III and s-IV clathrate ices can be fully stabilized by encapsulating an appropriate guest molecule such as dodecahedrane molecule (C 20H20) and fullerene molecule (C60) in the large cavity, respectively. Considering that the guest-free s-II clathrate ice has been produced in the laboratory, which is also recognized as ice XVI, both the s-III and s-IV clathrate ices can be viewed as potential candidates of ice XVIII or ice XIX. Computations show that the hydrogen storage capacities of s-III ice clathrate amount to nearly twice of those for the s-II ice clathrate at low temperature and room temperature, which satisfies the DOE ultimate target for on-board hydrogen storage.
-
Key words:
- clathrate ice /
- phase diagram /
- negative pressure /
- ultralow-density
-
图 2 证实一个大气压存在(a)和Huygens证实负压存在的实验示意(b)(76 cm的水银柱以上表示负压)[39]
Figure 2. Schematic representation of experiment to demonstrate the existence of the atmospheric pressure (a) and Huygens’s experiment to generate negative pressure under laboratory condition (b) (Above the approximately 76 cm mercury line the pressure is below zero[39].)
图 5 s-III笼形冰的结构示意:(a) 组成s-III相的两种水笼子(下面是由48个水分子形成的8668412笼子, 上面是由16个水分子形成的8248笼子;只显示了氧原子骨架), (b)和(c) 分别是1×2超胞和2×2超胞(蓝色虚线表示氢键,红色球表示氧原子,白色棍棒表示氢原子)
Figure 5. Structure of s-III ice clathrate: (a) Two types of building water cages (bottom: 8668412, 48-molecule; top: 8248, 16-molecule; only oxygen frameworks are shown); repeated unit cells (1×2) (b) and 2×2 unit cells (c) (The hydrogen bond network is shown with blue dash line, red ball for oxygen, and white stick for hydrogen.)
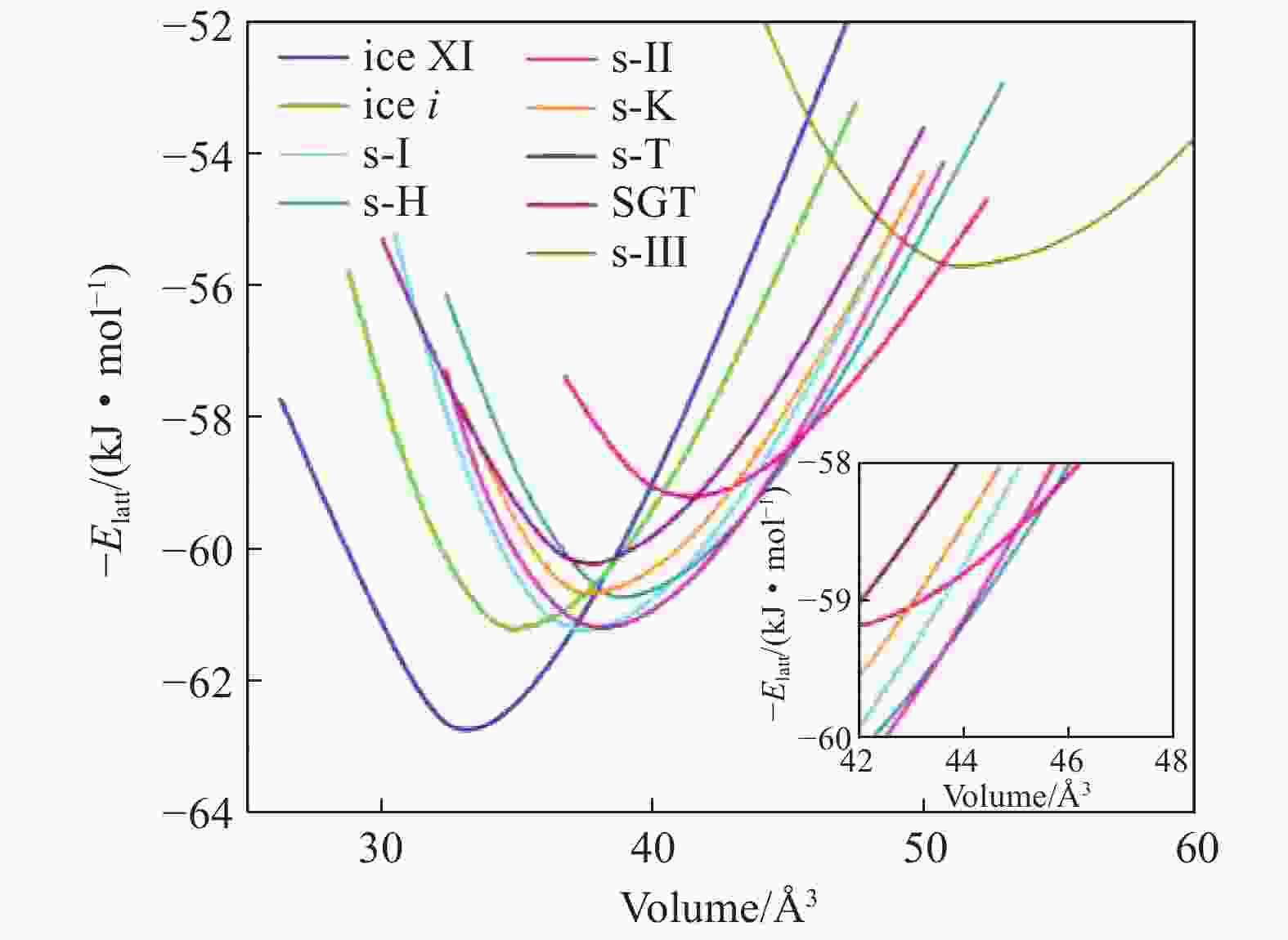
图 7 ice XI、ice i、s-K、s-I、s-II、s-H、s-III、SGT和s-T冰相的晶格结合能(平均到每个分子上)随体积变化的函数曲线(插图是42~48 Å3体积区间内的放大函数曲线。Elatt定义为Elatt = Ew ‒ Ecry/N,其中:N是晶体中水分子的数目,Ecry和Ew分别是晶体的总能和单个水分子的能量。)
Figure 7. Lattice cohesive energies (Elatt) for ice XI, ice i, s-K, s-I, s-II, s-H, s-III, SGT, and s-T clathrates as function of volume per water molecule (Inset is amplification of the region for the volume between 42–48 Å3. Elatt is defined as Elatt = Ew – Ecry/N, where N is the number of water molecules in the crystal, Ecry and Ew are the total energies of the ice/clathrate crystal and an individual water molecule, respectively.)
图 10 (a) C20H20分子封装在8668412水笼子中的结构示意;(b) 每个大笼子均被一个C20H20分子占据时s-III笼形冰的结构示意(显示的是2×2的超胞)
Figure 10. (a) Structure of an individual 8668412water cage with a C20H20 molecule encapsulated; (b) Structure of the s-III clathrate with one C20H20 molecule encapsulated in each large cavity (2×2 unit cell is shown for clearer view.)
图 11 在温度分别为77、240和298 K时,s-III和s-II笼形冰相在不同氢压下对氢气的吸附函数曲线 (中间图形中的黑色方框表示在温度为240 K、压强为300 MPa条件下获取的实验值[48-49])
Figure 11. Hydrogen uptake versus hydrogen pressure for empty s-III and s-II ice clathrate lattices at temperatures of 77, 240 and 298 K, respectively (In the middle panel, the corresponding experimental value [48-49] for the s-II ice clathrate at 240 K and 300 MPa is marked by a black square.)
图 12 s-IV笼形冰的晶体结构:(a) 3种类型的水笼子(只给出氧原子骨架),从左到右依次是具有T对称性的48元12464418大笼子、具有T对称性的24元6646中等尺寸笼子、具有S6对称性的12元6246小笼子;(b) 和 (c) 是s-IV笼形冰立方元胞示意(蓝色虚线表示氢键,红球代表氧原子,白棍代表氢原子)
Figure 12. Crystalline structure of the s-IV ice clathrate: (a) Three types of cavities (only oxygen frameworks are shown), from left to right they are large cavity—48-member 12464418with T symmetry, intermediate cavity—24-member 6646 with T symmetry, and small cavity—12-member 6246 with S6 symmetry, respectively; (b) and (c) are the cubic unit cell of the s-IV ice clathrate (The hydrogen-bonding network is shown with blue dash line, red for oxygen, white for hydrogen.)
表 1 不同冰相和无客体分子填充的笼形冰的元胞内分子数目(Zcell)、元胞的平衡体积(Vcell)、平均O-O距离(dO-O)、密度(ρ)以及平均到每个分子上的晶格结合能(Elatt)(括号内的数据源于实验值)
Table 1. Number of water molecules per unit cell (Zcell), equilibrium volume of unit cell (Vcell), average distance between oxygen atoms in adjacent water molecules (dO-O), density (ρ), and lattice cohesive energy per water molecule (Elatt) for various ice and guest-free clathrate phases (The values in parenthesis are experimental data.)
Phase Zcell Vcell/Å3 dO-O/Å ρ/(g·cm-3) Elatt/(kJ·mol-1) ice XI 8 266 (257[17]) 2.785 (2.735[17]) 0.900 (0.930[17]) 62.84 (58.86[74]) ice i 8 280 2.785 0.855 61.31 s-I 46 1 692 2.765 0.813 61.38 s-K 80 2 962 2.765 0.808 60.76 s-II 136 5 059 (5 022[22]) 2.865(2.751[22]) 0.804 (0.81[22]) 61.37 s-T 12 453 2.795 0.792 60.23 s-H 34 1 325 2.785 0.768 60.79 SGT 64 2 650 2.765 0.722 59.27 s-III 48 2 423 2.765 0.593 55.77 表 2 通过vdW-DF2/DFT计算得到的ice XI、s-II、s-III和s-IV冰相元胞内的分子数目(Zcell)、元胞的平衡体积(Vcell)、平均O-O距离(dO-O)、平均氢键键长(dO···H)、密度(ρ)、平均到每个水分子上的晶格结合能(Elatt)(括号内的数据是实验值)
Table 2. Number of water molecules per unit cell (Zcell), equilibrium volume of unit cell (Vcell), average distance between oxygen atoms in adjacent water molecules (dO-O), average length of hydrogen bond (dO···H), mass density (ρ), and lattice cohesive energy per water molecule (Elatt) from vdW-DF2/DFT calculations for ice XI, s-II, s-III and s-IV ice clathrates (The values in parenthesis are experimental values.)
-
[1] SALZMANN C G, RADAELLI P G, SLATER B, et al. The polymorphism of ice: five unresolved questions [J]. Physical Chemistry Chemical Physics, 2011, 13(41): 18468–18480. doi: 10.1039/c1cp21712g [2] BARTELS-RAUSCH T, BERGERON V, CARTWRIGHT J H E, et al. Ice structures, patterns, and processes: a view across the icefields [J]. Reviews of Modern Physics, 2012, 84(2): 885–944. doi: 10.1103/RevModPhys.84.885 [3] KUHS W F, LEHMANN M S. The structure of the ice Ih by neutron diffraction [J]. The Journal of Physical Chemistry, 1983, 87(21): 4312–4313. doi: 10.1021/j100244a063 [4] ANDERSSON O, SUGA H. Thermal conductivity of amorphous ices [J]. Physical Review B, 2002, 65(14): 140201. doi: 10.1103/PhysRevB.65.140201 [5] HANSEN T C, FALENTY A, KUHS W F. Modelling ice Ic of different origin and stacking-faulted hexagonal ice using neutron powder diffraction data [J]. Special Publication-Royal Society of Chemistry, 2006, 311: 201. [6] MURRAY B J, BERTRAM A K. Formation and stability of cubic ice in water droplets [J]. Physical Chemistry Chemical Physics, 2006, 8(1): 186–192. doi: 10.1039/B513480C [7] MALKIN T L, MURRAY B J, BRUKHNO A V, et al. Structure of ice crystallized from supercooled water [J]. Proceedings of the National Academy of Sciences, 2012, 109(4): 1041–1045. doi: 10.1073/pnas.1113059109 [8] KAMB B. Ice II. a proton-ordered form of ice [J]. Acta Crystallographica, 1964, 17(11): 1437–1449. doi: 10.1107/S0365110X64003553 [9] FORTES A D, WOOD I G, ALFREDSSON M, et al. The incompressibility and thermal expansivity of D2O ice II determined by powder neutron diffraction [J]. Journal of Applied Crystallography, 2005, 38(4): 612–618. doi: 10.1107/S0021889805014226 [10] LONDONO J D, KUHS W F, FINNEY J L. Neutron diffraction studies of ices III and IX on under-pressure and recovered samples [J]. The Journal of Chemical Physics, 1993, 98(6): 4878–4888. doi: 10.1063/1.464942 [11] ENGELHARDT H, KAMB B. Structure of ice IV, a metastable high-pressure phase [J]. The Journal of Chemical Physics, 1981, 75(12): 5887–5899. doi: 10.1063/1.442040 [12] KAMB B, PRAKASH A, KNOBLER C. Structure of ice V [J]. Acta Crystallographica, 1967, 22(5): 706–715. doi: 10.1107/S0365110X67001409 [13] KUHS W F, FINNEY J L, VETTIER C, et al. Structure and hydrogen ordering in ices VI, VII, and VIII by neutron powder diffraction [J]. The Journal of Chemical Physics, 1984, 81(8): 3612–3623. doi: 10.1063/1.448109 [14] JORGENSEN J D, WORLTON T G. Disordered structure of D2O ice VII from in situ neutron powder diffraction [J]. The Journal of Chemical Physics, 1985, 83(1): 329–333. doi: 10.1063/1.449867 [15] BESSON J M, PRUZAN P, KLOTZ S, et al. Variation of interatomic distances in ice VIII to 10 GPa [J]. Physical Review B, 1994, 49(18): 12540–12550. doi: 10.1103/PhysRevB.49.12540 [16] HEMLEY R J, JEPHCOAT A P, MAO H K, et al. Static compression of H2O-ice to 128 GPa (1.28 Mbar) [J]. Nature, 1987, 330(6150): 737–740. doi: 10.1038/330737a0 [17] LEADBETTER A J, WARD R C, CLARK J W, et al. The equilibrium low-temperature structure of ice [J]. The Journal of Chemical Physics, 1985, 82(1): 424–428. doi: 10.1063/1.448763 [18] SALZMANN C G, KOHL I, LOERTING T, et al. Pure ices IV and XII from high-density amorphous ice [J]. Canadian Journal of Physics, 2003, 81(1): 25–32. [19] KOZA M, SCHOBER H, T LLE A, et al. Formation of ice XII at different conditions [J]. Nature, 1999, 397(6721): 660–661. [20] SALZMANN C G, RADAELLI P G, HALLBRUCKER A, et al. The preparation and structures of hydrogen ordered phases of ice [J]. Science, 2006, 311(5768): 1758–1761. doi: 10.1126/science.1123896 [21] SALZMANN C G, RADAELLI P G, MAYER E, et al. Ice XⅤ: a new thermodynamically stable phase of ice [J]. Physical Review Letters, 2009, 103(10): 105701. doi: 10.1103/PhysRevLett.103.105701 [22] FALENTY A, HANSEN T C, KUHS W F. Formation and properties of ice XVI obtained by emptying a type sII clathrate hydrate [J]. Nature, 2014, 516(7530): 231–233. doi: 10.1038/nature14014 [23] DEL ROSSO L, CELLI M, ULIVI L. New porous water ice metastable at atmospheric pressure obtained by emptying a hydrogen-filled ice [J]. Nature Communications, 2016, 7: 13394. doi: 10.1038/ncomms13394 [24] RUSSO J, ROMANO F, TANAKA H. New metastable form of ice and its role in the homogeneous crystallization of water [J]. Nature Materials, 2014, 13(7): 733–739. doi: 10.1038/nmat3977 [25] KOSYAKOV V I, SHESTAKOV V A. On the possibility of the existence of a new ice phase under negative pressures [J]. Doklady Physical Chemistry, 2001, 376(4): 49–51. [26] CONDE M M, VEGA C, TRIBELLO G A, et al. The phase diagram of water at negative pressures: virtual ices [J]. The Journal of Chemical Physics, 2009, 131(3): 034510. doi: 10.1063/1.3182727 [27] HUANG Y, ZHU C, WANG L, et al. A new phase diagram of water under negative pressure: the rise of the lowest-density clathrate s-III [J]. Science Advances, 2016, 2(2): e1501010. doi: 10.1126/sciadv.1501010 [28] HUANG Y, ZHU C, WANG L, et al. Prediction of a new ice clathrate with record low density: a potential candidate as ice XIX in guest-free form [J]. Chemical Physics Letters, 2017, 671: 186–191. doi: 10.1016/j.cplett.2017.01.035 [29] MCMAHON J M. Ground-state structures of ice at high pressures from ab initio random structure searching [J]. Physical Review B, 2011, 84(22): 220104. doi: 10.1103/PhysRevB.84.220104 [30] JI M, UMEMOTO K, WANG C-Z, et al. Ultrahigh-pressure phases of H2O ice predicted using an adaptive genetic algorithm [J]. Physical Review B, 2011, 84(22): 220105. doi: 10.1103/PhysRevB.84.220105 [31] WANG Y, LIU H, LV J, et al. High pressure partially ionic phase of water ice [J]. Nature Communications, 2011, 2: 563. doi: 10.1038/ncomms1566 [32] MILITZER B, WILSON H F. New phases of water ice predicted at megabar pressures [J]. Physical Review Letters, 2010, 105(19): 195701. doi: 10.1103/PhysRevLett.105.195701 [33] STROBEL T A, SOMAYAZULU M, SINOGEIKIN S V, et al. Hydrogen-stuffed, quartz-like water ice [J]. Journal of the American Chemical Society, 2016, 138(42): 13786–13789. doi: 10.1021/jacs.6b06986 [34] DEL ROSSO L, GRAZZI F, CELLI M, et al. Refined structure of metastable ice XVII from neutron diffraction measurements [J]. The Journal of Physical Chemistry C, 2016, 120(47): 26955–26959. doi: 10.1021/acs.jpcc.6b10569 [35] FENNELL C J, GEZELTER J D. Computational free energy studies of a new ice polymorph which exhibits greater stability than ice Ih [J]. Journal of Chemical Theory and Computation, 2005, 1(4): 662–667. doi: 10.1021/ct050005s [36] CHOU I-M, SHARMA A, BURRUSS R C, et al. Transformations in methane hydrates [J]. Proceedings of the National Academy of Sciences, 2000, 97(25): 13484–13487. doi: 10.1073/pnas.250466497 [37] VATAMANU J, KUSALIK P G. Unusual crystalline and polycrystalline structures in methane hydrates [J]. Journal of the American Chemical Society, 2006, 128(49): 15588–15589. doi: 10.1021/ja066515t [38] KURNOSOV A, MANAKOV A, YU. KOMAROV V, et al. A new gas hydrate structure [J]. Doklady Physical Chemistry, 2001, 381(5): 303–305. [39] IMRE A R. On the existence of negative pressure states [J]. Physica Status Solidi (B), 2007, 244(3): 893–899. doi: 10.1002/(ISSN)1521-3951 [40] HERBERT E, BALIBAR S, CAUPIN F. Cavitation pressure in water [J]. Physical Review E, 2006, 74(4): 041603. [41] DAVITT K, ROLLEY E, CAUPIN F, et al. Equation of state of water under negative pressure [J]. The Journal of Chemical Physics, 2010, 133(17): 174507. doi: 10.1063/1.3495971 [42] AZOUZI M E M, RAMBOZ C, LENAIN J-F, et al. A coherent picture of water at extreme negative pressure [J]. Nature Physics, 2012, 9(1): 38. [43] ZHENG Q, DURBEN D J, WOLF G H, et al. Liquids at large negative pressures: water at the homogeneous nucleation limit [J]. Science, 1991, 254(5033): 829–832. doi: 10.1126/science.254.5033.829 [44] YANG S H, NOSONOVSKY M, ZHANG H, et al. Nanoscale water capillary bridges under deeply negative pressure [J]. Chemical Physics Letters, 2008, 451(1): 88–92. [45] JACOBSON L C, HUJO W, MOLINERO V. Thermodynamic stability and growth of guest-free clathrate hydrates: a low-density crystal phase of water [J]. The Journal of Physical Chemistry B, 2009, 113(30): 10298–10307. doi: 10.1021/jp903439a [46] VOS W L, FINGER L W, HEMLEY R J, et al. Novel H2-H2O clathrates at high pressures [J]. Physical Review Letters, 1993, 71(19): 3150–3153. doi: 10.1103/PhysRevLett.71.3150 [47] DYADIN Y A, LARIONOV E G, MANAKOV A Y, et al. Clathrate hydrates of hydrogen and neon [J]. Mendeleev Communications, 1999, 9(5): 209–210. doi: 10.1070/MC1999v009n05ABEH001104 [48] MAO W L, MAO H-K, GONCHAROV A F, et al. Hydrogen clusters in clathrate hydrate [J]. Science, 2002, 297(5590): 2247–2249. doi: 10.1126/science.1075394 [49] MAO W L, MAO H-K. Hydrogen storage in molecular compounds [J]. Proceedings of the National Academy of Sciences of the United States of America, 2004, 101(3): 708–710. doi: 10.1073/pnas.0307449100 [50] LOKSHIN K A, ZHAO Y. Fast synthesis method and phase diagram of hydrogen clathrate hydrate [J]. Applied Physics Letters, 2006, 88(13): 131909. doi: 10.1063/1.2190273 [51] FLORUSSE L J, PETERS C J, SCHOONMAN J, et al. Stable low-pressure hydrogen clusters stored in a binary clathrate hydrate [J]. Science, 2004, 306(5695): 469–471. doi: 10.1126/science.1102076 [52] LEE H, LEE J-W, KIM D Y, et al. Tuning clathrate hydrates for hydrogen storage [J]. Nature, 2005, 434(7034): 743. doi: 10.1038/nature03457 [53] KOMATSU H, YOSHIOKA H, OTA M, et al. Phase equilibrium measurements of hydrogen-tetrahydrofuran and hydrogen-cyclopentane binary clathrate hydrate systems [J]. Journal of Chemical & Engineering Data, 2010, 55(6): 2214–2218. [54] STROBEL T A, HESTER K C, SLOAN E D, et al. A hydrogen clathrate hydrate with cyclohexanone: structure and stability [J]. Journal of the American Chemical Society, 2007, 129(31): 9544–9545. doi: 10.1021/ja072074h [55] STROBEL T A, KOH C A, SLOAN E D. Water cavities of sH clathrate hydrate stabilized by molecular hydrogen [J]. The Journal of Physical Chemistry B, 2008, 112(7): 1885–1887. doi: 10.1021/jp7110549 [56] DUARTE A R C, SHARIATI A, ROVETTO L J, et al. Water cavities of sH clathrate hydrate stabilized by molecular hydrogen: phase equilibrium measurements [J]. The Journal of Physical Chemistry B, 2008, 112(7): 1888–1889. doi: 10.1021/jp7110605 [57] KIM D-Y, LEE H. Spectroscopic identification of the mixed hydrogen and carbon dioxide clathrate hydrate [J]. Journal of the American Chemical Society, 2005, 127(28): 9996–9997. doi: 10.1021/ja0523183 [58] JIANG X, WU X, ZHENG Z, et al. Ionic and superionic phases in ammonia dihydrate NH3·2H2O under high pressure [J]. Physical Review B, 2017, 95(14): 144104. doi: 10.1103/PhysRevB.95.144104 [59] WILLOW S Y, XANTHEAS S S. Enhancement of hydrogen storage capacity in hydrate lattices [J]. Chemical Physics Letters, 2012, 525/526: 13–18. doi: 10.1016/j.cplett.2011.12.036 [60] AKKERMANS R L C, SPENLEY N A, ROBERTSON S H. Monte Carlo methods in materials studio [J]. Molecular Simulation, 2013, 39(14/15): 1153–1164. doi: 10.1080/08927022.2013.843775 [61] KIRCHNER M T, BOESE R, BILLUPS W E, et al. Gas hydrate single-crystal structure analyses [J]. Journal of the American Chemical Society, 2004, 126(30): 9407–9412. doi: 10.1021/ja049247c [62] KRESSE G, FURTHM LLER J. Efficient iterative schemes for ab initio total-energy calculations using a plane-wave basis set [J]. Physical Review B, 1996, 54(16): 11169–11186. doi: 10.1103/PhysRevB.54.11169 [63] KRESSE G, JOUBERT D. From ultrasoft pseudopotentials to the projector augmented-wave method [J]. Physical Review B, 1999, 59(3): 1758–1775. doi: 10.1103/PhysRevB.59.1758 [64] LEE K, MURRAY É D, KONG L, et al. Higher-accuracy van der Waals density functional [J]. Physical Review B, 2010, 82(8): 081101. doi: 10.1103/PhysRevB.82.081101 [65] SPOEL D V D, LINDAHL E, HESS B, et al. GROMACS: fast, flexible, and free [J]. Journal of Computational Chemistry, 2005, 26(16): 1701–1718. doi: 10.1002/(ISSN)1096-987X [66] MOUSTAFA S G, SCHULTZ A J, KOFKE D A. Effects of finite size and proton disorder on lattice-dynamics estimates of the free energy of clathrate hydrates [J]. Industrial and Engineering Chemistry Research, 2015, 54(16): 4487–4496. doi: 10.1021/ie504008h [67] VEGA C, ABASCAL J L F, MCBRIDE C, et al. The fluid–solid equilibrium for a charged hard sphere model revisited [J]. The Journal of Chemical Physics, 2003, 119(2): 964–971. doi: 10.1063/1.1576374 [68] L SAL M, VACEK V. Direct evaluation of solid–liquid equilibria by molecular dynamics using Gibbs-Duhem integration [J]. Molecular Simulation, 1997, 19(1): 43–61. doi: 10.1080/08927029708024137 [69] CHALLA S R, SHOLL D S, JOHNSON J K. Adsorption and separation of hydrogen isotopes in carbon nanotubes: multicomponent grand canonical Monte Carlo simulations [J]. The Journal of Chemical Physics, 2002, 116(2): 814–824. doi: 10.1063/1.1423665 [70] RAPPE A K, CASEWIT C J, COLWELL K S, et al. UFF, a full periodic table force field for molecular mechanics and molecular dynamics simulations [J]. Journal of the American Chemical Society, 1992, 114(25): 10024–10035. doi: 10.1021/ja00051a040 [71] BARONI S, DE GIRONCOLI S, DAL CORSO A, et al. Phonons and related crystal properties from density-functional perturbation theory [J]. Reviews of Modern Physics, 2001, 73(2): 515–562. doi: 10.1103/RevModPhys.73.515 [72] TRIBELLO G A, SLATER B, ZWIJNENBURG M A, et al. Isomorphism between ice and silica [J]. Physical Chemistry Chemical Physics, 2010, 12(30): 8597–8606. doi: 10.1039/b916367k [73] GIES H, MARKER B. The structure-controlling role of organic templates for the synthesis of porosils in the systems SiO2/template/H2O [J]. Zeolites, 1992, 12(1): 42–49. doi: 10.1016/0144-2449(92)90008-D [74] WHALLEY E. Energies of the phases of ice at zero temperature and pressure [J]. The Journal of Chemical Physics, 1984, 81(9): 4087–4092. doi: 10.1063/1.448153 [75] ABASCAL J L F, VEGA C. A general purpose model for the condensed phases of water: TIP4P/2005 [J]. The Journal of Chemical Physics, 2005, 123(23): 234505. doi: 10.1063/1.2121687 [76] SLOAN JR E D, KOH C. Clathrate hydrates of natural gases [M]. 3rd ed. Boca Raton, FL: CRC press, 2008. [77] PAQUETTE L A, TERNANSKY R J, BALOGH D W, et al. Total synthesis of dodecahedrane [J]. Journal of the American Chemical Society, 1983, 105(16): 5446–5450. doi: 10.1021/ja00354a043 [78] STRUZHKIN V V, MILITZER B, MAO W L, et al. Hydrogen storage in molecular clathrates [J]. Chemical Reviews, 2007, 107(10): 4133–4151. doi: 10.1021/cr050183d [79] LIN K, YUAN Q, ZHAO Y-P. Using graphene to simplify the adsorption of methane on shale in MD simulations [J]. Computational Materials Science, 2017, 133: 99–107. doi: 10.1016/j.commatsci.2017.03.010 -

下载: