Acceleration Evaluation Model of Metal/Gas Interface by Extra Electric Field Induced by Shock under Extreme Impacting Conditions
-
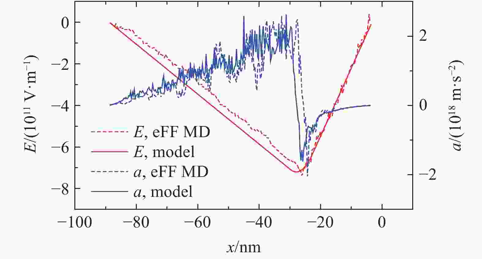
摘要: 采用基于电子力场势函数的分子动力学方法,模拟了极端冲击压缩(22.50~78.75 km/s)下Li/H2界面的演化过程。计算结果表明,在极端冲击压缩条件下,激波压缩导致物质电离,由于电子和离子的扩散差异,激波附近出现电荷分离区,进而诱导出现附加电场。通过沿激波传播方向进行一维电荷统计和理论分析,发现在激波强度一定的情况下,随着激波的运动,电荷分离区的强度和宽度在整个过程中基本保持恒定,与激波强度正相关;进一步对电荷分布进行积分,得到由电荷分离引起的附加电场沿冲击波传播方向的变化。统计分析了附加电场影响下金属/气体界面附近金属侧物质产生的加速度随时间的变化,发现附加加速过程呈脉冲形态,满足Rayleigh模型。通过计算拟合,得到该模型的关键参数与初始冲击加载速度的关系,最终获得电离诱导附加电场引起界面金属侧物质附加加速度的经验计算公式。Abstract: The evolution processes of metal/gas (Li/H2) interface at extreme impacting conditions (22.50–78.75 km/s) were numerically studied by molecular dynamics (MD) method incorporated with the electron force field (eFF) model. It was found that the strong shock compression leads to ionization and the electron/ion separation is produced due to different diffusivities of ions and electrons. Then a strong extra electric field was established adjacent to shock font. Through 1D statistic along shock propagating direction from MD results and theoretical analysis, it was found that the electron/ion separation is moving with shock and the intensity and width of electron/ion separation zone are kept to be constant during shock propagating process and determined by shock strength. Further integrating the extra electric field and extra acceleration of metal material adjacent to the interface, the time histories of material acceleration were obtained. It was found that the extra material acceleration curves were in accordance with Rayleigh model. The key parameters were fitted based on computation results. Finally, an empirical extra acceleration evaluation model of metal material on Li/H2 interface under impact velocity range of 20–80 km/s was established.
-
表 1 不同冲击加载速度下分离区的宽度和强度统计
Table 1. Statistics of the width and intensity of the electron-ion separation zone at different impact velocities
vp/(km·s–1) Width/nm Intensity/(108 C·m–3) 22.50 4.65 4.55 45.00 6.40 6.11 67.50 8.65 10.25 表 2 不同加载速度下Rayleigh模型的拟合参数
Table 2. The fitted parameters of Rayleigh model at different vp
vp/(km·s–1) amax/(1017 m·s–2) τrise/ps 22.50 1.7 0.50 33.75 1.9 0.38 45.00 3.5 0.30 56.25 5.3 0.24 67.50 7.5 0.20 78.75 12.0 0.17 -
[1] VELIKOVICH A L, DIMONTE G. Nonlinear perturbation theory of the incompressible Richtmyer-Meshkovinstability [J]. Physical Review Letters, 1996, 76(17): 3112. doi: 10.1103/PhysRevLett.76.3112 [2] NAKAI S, TAKABE H. Principles of inertial confinement fusion-physics of implosion and the concept of inertial fusion energy [J]. Reports on Progress in Physics, 1996, 59(9): 1071. doi: 10.1088/0034-4885/59/9/002 [3] ANDREWS M J. Workshop: research needs for material mixing at extremes: LA-UR-11-02565 [R]. Los Alamos: Los Alamos National Laboratory, 2011. [4] GRAZIANI F R, BATISTA V S, BENEDICT L X, et al. Large-scale molecular dynamics simulations of dense plasmas: the Cimarron Project [J]. High Energy Density Physics, 2012, 8(1): 105–131. doi: 10.1016/j.hedp.2011.06.010 [5] ZHAKHOVSKII V, NISHIHARA K, ABE M. Molecular dynamics simulation on stability of converging shocks [C]//TANAKA K A, MEYERHOFER D D, MEYER-TER-VEHN J. Proceedings of the 2nd International Conference on Inertial Fusion Science and Applications. Elsevier, 2002: 106-109. [6] KADAU K, GERMANN T C, HADJICONSTANTINOU N G, et al. Nanohydrodynamics simulations: an atomistic view of the Rayleigh–Taylor instability [J]. Proceedings of the National Academy of Sciences, 2004, 101(16): 5851–5855. doi: 10.1073/pnas.0401228101 [7] ZYBIN S V, ZHAKHOVSKII V V, BRINGA E M, et al. Molecular dynamics simulations of the Richtmyer-Meshkov instability in shock loaded solids [J]. AIP Conference Proceedings, 2006, 845(1): 437–441. [8] CHERNE F J, DIMONTE G, GERMANN T C. Richtmyer-Meshkov instability examinedwith large-scalemolecular dynamics simulations [J]. AIP Conference Proceedings, 2012, 1426(1): 1307–1310. [9] KOHANOFF J, HANSEN J P. Ab initio molecular dynamics of metallic hydrogen at high densities [J]. Physical Review Letters, 1995, 74(5): 626. doi: 10.1103/PhysRevLett.74.626 [10] KOHANOFF J, HANSEN J P. Statistical properties of the dense hydrogen plasma: an ab initio molecular dynamics investigation [J]. Physical Review E, 1996, 54(1): 768. doi: 10.1103/PhysRevE.54.768 [11] KRESSE G, HAFNER J. Ab initio molecular dynamics for liquid metals [J]. Physical Review B, 1993, 47(1): 558. doi: 10.1103/PhysRevB.47.558 [12] COLLINS L, KWON I, KRESS J, et al. Quantum molecular dynamics simulations of hot, dense hydrogen [J]. Physical Review E, 1995, 52(6): 6202. doi: 10.1103/PhysRevE.52.6202 [13] 龚新高. 高温及高压下液体镓的结构——第一性原理分子动力学方法研究 [J]. 物理学报, 1995, 44(6): 885–896GONG X G. Structural properties of liquid gallium at high temperature and high pressure: an ab initio molecular dynamics study [J]. Acta Physica Sinica, 1995, 44(6): 885–896 [14] 何以广. 氢和氦高压物性的第一原理分子动力学研究及实验探索 [D]. 北京: 清华大学, 2010. [15] 张玉娟. 温稠密乙烷等流体物性的第一性原理分子动力学研究 [D]. 北京: 中国工程物理研究院, 2013. [16] 刘海, 李启楷, 何远航. 高速冲击压缩梯恩梯的分子动力学模拟 [J]. 力学学报, 2015, 47(1): 174–179LIU H, LI Q K, HE Y H. Molecular dynamics simulations of high velocity shock compressed TNT [J]. Chinese Journal of Theoretical and Applied Mechanics, 2015, 47(1): 174–179 [17] 宋海峰, 刘海风. 金属铍热力学性质的理论研究 [J]. 物理学报, 2007, 56(5): 2833–2837 doi: 10.3321/j.issn:1000-3290.2007.05.060SONG H F, LIU H F. Theoretical study of thermodynamic properties of metal Be [J]. Acta Physica Sinica, 2007, 56(5): 2833–2837 doi: 10.3321/j.issn:1000-3290.2007.05.060 [18] 王聪, 贺贤土, 张平. 温稠密物质的量子及半经典分子动力学研究 [C]//中国力学大会2013论文摘要集. 西安, 2013. [19] 戴佳钰, 康冬冬, 侯永, 等. 高温稠密物质的多尺度动力学研究 [C]//中国力学大会2013论文摘要集. 西安, 2013. [20] SU J T, GODDARD III W A. Excited electron dynamics modeling of warm dense matter [J]. Physical Review Letters, 2007, 99(18): 185003. doi: 10.1103/PhysRevLett.99.185003 [21] SU J T, GODDARD III W A. The dynamics of highly excited electronic systems: applications of the electron force field [J]. The Journal of Chemical Physics, 2009, 131(24): 244501. doi: 10.1063/1.3272671 [22] JARAMILLO-BOTERO A, SU J, QI A, et al. Large-scale, long-term nonadiabatic electron molecular dynamics for describing material properties and phenomena in extreme environments [J]. Journal of Computational Chemistry, 2011, 32(3): 497–512. doi: 10.1002/jcc.21637 [23] 王维荣. 极端条件下单模界面不稳定性的分子动力学研究 [D]. 合肥: 中国科学技术大学, 2017. [24] HUANG S, WANG W, LUO X. Molecular-dynamics simulation of Richtmyer-Meshkov instability on a Li-H2 interface at extreme compressing conditions [J]. Physics of Plasmas, 2018, 25(6): 062705. doi: 10.1063/1.5018845 [25] DIMONTE G, REMINGTON B. Richtmyer-Meshkov experiments on the Nova laser at high compression [J]. Physical Review Letters, 1993, 70(12): 1806. doi: 10.1103/PhysRevLett.70.1806 [26] DIMONTE G, FRERKING C E, SCHNEIDER M, et al. Richtmyer–Meshkov instability with strong radiatively driven shocks [J]. Physics of Plasmas, 1996, 3(2): 614–630. doi: 10.1063/1.871889 -

下载: