机械合金化结合高压烧结制备PbSe-PbS固溶体合金的热电性能

杨曼曼 朱红玉 李洪涛 樊浩天 胡强 胡美华 李尚升 宿太超

杨曼曼, 朱红玉, 李洪涛, 樊浩天, 胡强, 胡美华, 李尚升, 宿太超. 机械合金化结合高压烧结制备PbSe-PbS固溶体合金的热电性能[J]. 高压物理学报, 2019, 33(1): 011102. doi: 10.11858/gywlxb.20180597
引用本文: 杨曼曼, 朱红玉, 李洪涛, 樊浩天, 胡强, 胡美华, 李尚升, 宿太超. 机械合金化结合高压烧结制备PbSe-PbS固溶体合金的热电性能[J]. 高压物理学报, 2019, 33(1): 011102. doi: 10.11858/gywlxb.20180597
YANG Manman, ZHU Hongyu, LI Hongtao, FAN Haotian, HU Qiang, HU Meihua, LI Shangsheng, SU Taichao. Thermoelectric Properties of PbSe-PbS Solid Solutions Prepared by Mechanical Alloying Method and High Pressure Sintering[J]. Chinese Journal of High Pressure Physics, 2019, 33(1): 011102. doi: 10.11858/gywlxb.20180597
Citation: YANG Manman, ZHU Hongyu, LI Hongtao, FAN Haotian, HU Qiang, HU Meihua, LI Shangsheng, SU Taichao. Thermoelectric Properties of PbSe-PbS Solid Solutions Prepared by Mechanical Alloying Method and High Pressure Sintering[J]. Chinese Journal of High Pressure Physics, 2019, 33(1): 011102. doi: 10.11858/gywlxb.20180597

机械合金化结合高压烧结制备PbSe-PbS固溶体合金的热电性能

doi: 10.11858/gywlxb.20180597
基金项目: 河南省自然科学基金(182300410248);河南理工大学杰出青年基金(J2016-5);中华人民共和国上海海关科研计划项目(HK012-2018, HK012-2018)
详细信息
    作者简介:

    杨曼曼(1990-),女,硕士,主要从事热电材料研究. E-mail: ymm1911@126.com

    通讯作者:

    朱红玉(1980-),女,博士,讲师,主要从事高压物理研究. E-mail: zhuhy@hpu.edu.cn

  • 中图分类号: O521.2

Thermoelectric Properties of PbSe-PbS Solid Solutions Prepared by Mechanical Alloying Method and High Pressure Sintering

  • 摘要: 硒化铅(PbSe)作为一种无碲热电材料受到广泛关注。采用机械合金化结合高压烧结方法制备了PbSe-PbS固溶体合金(PbSe1–xSx),并研究了Se/S含量对其结构和热电性能的影响。结果表明:采用机械合金化法能够快速合成出PbSe1–xSx固溶体合金粉末,高压烧结实现了其快速致密化;通过调整Se/S比例可以实现PbSe1–xSx电输运性能和导电类型的调控;固溶体合金能够实现短波声子散射,显著降低PbSe材料的热导率;当x = 0.5、温度为600 K时,PbSe1–xSx的最高品质因子达到0.54,比PbSe的品质因子(0.33@450K)高64%。

     

  • 图  采用机械合金化法合成的PbSe-PbS固溶体(PbSe1-xSx)XRD谱

    Figure  1.  XRD patterns of PbSe-PbS solid solutions (PbSe1-xSx) synthesized by mechanical alloying method

    图  PbSe-PbS固溶体(PbSe1-xSx)的电学性能

    Figure  2.  Electrical properties of PbSe-PbS solid solutions (PbSe1-xSx)

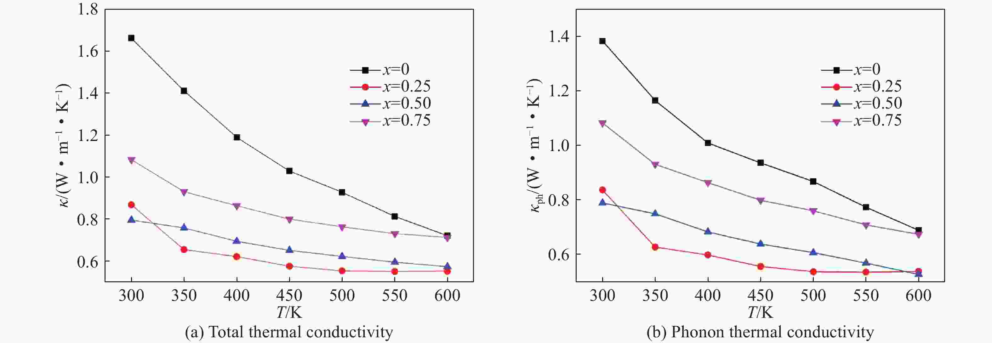
    图  PbSe-PbS固溶体的热输运性能

    Figure  3.  Thermal transport properties of PbSe-PbS solid solutions

    图  PbSe-PbS固溶体(PbSe1-xSx)的品质因子

    Figure  4.  Figure-of-merits of PbSe-PbS solid solutions (PbSe1-xSx)

  • [1] SNYDER G J, TBERER E S. Complex thermoelectric materials [J]. Nature Materials, 2008, 7(2): 105–114. doi: 10.1038/nmat2090
    [2] POUDEL B, HAO Q, MA Y, et al. High-thermoelectric performance of nanostructured bismuth antimony telluride bulk alloys [J]. Science, 2008, 320(5876): 634–638. doi: 10.1126/science.1156446
    [3] BENNETT G. Space nuclear power: opening the final frontier [C]//4th International Energy Conversion Engineering Conference and Exhibit (IECEC), 2006: 4191.
    [4] PRICE P J. Theory of transport effects in semiconductors: thermoelectricity [J]. Physical Review, 1956, 104(5): 1223–1239. doi: 10.1103/PhysRev.104.1223
    [5] BHANDARI C M, ROWE D M. CRC handbook of thermoelectrics [M]. Boca Raton: CRC Press, 1995.
    [6] FAN H, SU T, LI H, et al. Enhanced thermoelectric performance of PbSe Co-doped with Ag and Sb [J]. Journal of Alloys and Compounds, 2015, 639: 106–110. doi: 10.1016/j.jallcom.2015.03.117
    [7] LIU W S, ZHANG B P, LI J F, et al. Enhanced thermoelectric properties in CoSb3-xTex alloys prepared by mechanical alloying and spark plasma sintering [J]. Journal of Applied Physics, 2007, 102(10): 103717. doi: 10.1063/1.2815671
    [8] HU L P, ZHU T J, WANG Y G, et al. Shifting up the optimum figure of merit of p-type bismuth telluride-based thermoelectric materials for power generation by suppressing intrinsic conduction [J]. NPG Asia Materials, 2014, 6(2): e88. doi: 10.1038/am.2013.86
    [9] ZHAO L D, ZHANG B P, LI J F, et al. Thermoelectric and mechanical properties of nano-SiC-dispersed Bi2Te3 fabricated by mechanical alloying and spark plasma sintering [J]. Journal of Alloys and Compounds, 2008, 455(1/2): 259–264.
    [10] LI J, TAN Q, LI J F, et al. BiSbTe-based nanocomposites with high ZT: the effect of SiC nanodispersion on thermoelectric properties [J]. Advanced Functional Materials, 2013, 23(35): 4317–4323. doi: 10.1002/adfm.v23.35
    [11] DUAN B, ZHAI P, WEN P, et al. Enhanced thermoelectric and mechanical properties of Te-substituted skutterudite via nano-TiN dispersion [J]. Scripta Materialia, 2012, 67(4): 372–375. doi: 10.1016/j.scriptamat.2012.05.028
    [12] STEELE M C, ROSI F D. Thermal conductivity and thermoelectric power of germanium-silicon alloys [J]. Journal of Applied Physics, 1958, 29(11): 1517–1520. doi: 10.1063/1.1722984
    [13] XU Z J, HU L P, YING P J, et al. Enhanced thermoelectric and mechanical properties of zone melted p-type (Bi, Sb)2Te3 thermoelectric materials by hot deformation [J]. Acta Materialia, 2015, 84: 385–392. doi: 10.1016/j.actamat.2014.10.062
    [14] BATES H E, WEINSTEIN M. The preparation and properties of segmented lead telluride-silicon-germanium thermoelements: 19660062826 [R]. USA: NASA, 1966.
    [15] LALONDE A D, PEI Y, WANG H, et al. Lead telluride alloy thermoelectrics [J]. Materials Today, 2011, 14(11): 526–532. doi: 10.1016/S1369-7021(11)70278-4
    [16] HU Z, GAO S. Upper crustal abundances of trace elements: a revision and update [J]. Chemical Geology, 2008, 253(3/4): 205–221.
    [17] RAVICH I U I. Semiconducting lead chalcogenides [M]//SEEGER K. Semiconductor Physics. Springer Science & Business Media, 1970:5.
    [18] WANG H, PEI Y, LALONDE A D, et al. Heavily doped p-type pbse with high thermoelectric performance: an alternative for PbTe [J]. Advanced Materials, 2011, 23(11): 1366–1370. doi: 10.1002/adma.v23.11
    [19] LEE Y, LO S H, CHEN C, et al. Contrasting role of antimony and bismuth dopants on the thermoelectric performance of lead selenide [J]. Nature Communications, 2014, 5: 3640. doi: 10.1038/ncomms4640
    [20] PARKER D, SINGH D J. High-temperature thermoelectric performance of heavily doped PbSe [J]. Physical Review B, 2010, 82(3): 035204.
    [21] PEI Y L, LIU Y. Electrical and thermal transport properties of Pb-based chalcogenides: PbTe, PbSe, and PbS [J]. Journal of Alloys and Compounds, 2012, 514(5): 40–44.
    [22] FAN H T, SU T C, LI H T, et al. Enhanced low temperature thermoelectric performance and weakly temperature-dependent figure-of-merit values of PbTe-PbSe solid solutions [J]. Journal of Alloys and Compounds, 2016, 658: 885–890. doi: 10.1016/j.jallcom.2015.10.021
  • 加载中
图(4)
计量
  • 文章访问数:  7753
  • HTML全文浏览量:  3595
  • PDF下载量:  34
出版历程
  • 收稿日期:  2018-07-14
  • 修回日期:  2018-08-12

目录

    /

    返回文章
    返回