Numerical Simulation of the Effect of Auxiliary Liner Material on the Performance of Linear Shaped Charge Jet
-
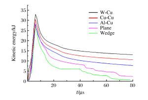
摘要: 为了提升线型聚能射流的性能,将截顶加辅助药型罩结构应用于线型聚能装药,应用三维有限元分析软件(LS-DYNA)对以紫铜为主体药型罩,Al、Cu和W作为辅助药型罩时形成的线型聚能射流进行了数值仿真,并将其与传统的线型聚能射流进行了对比分析。结果表明:截顶加辅助药型罩结构形成的射流性能更优,并随辅助药型罩材料密度等的增大,射流的延展性、速度及有效质量均有提高,且均优于传统的楔形罩结构;W作为辅助药型罩材料时形成的线型聚能射流,速度较传统的楔形罩结构提高约25.9%,射流的有效长度增加约145%。Abstract: To improve the performance of linear shaped charge jet, this study applies the truncated and auxiliary liner structure to the linear shaped charge.The three-dimensional finite element analysis software (LS-DYNA) was used to simulate the linear shaped charge jet formed with copper as the main liner and Al, Cu and W as auxiliary liner.At the same time, comparison between the formed linear shaped charge jet and the traditional jet is performed, indicating that the jet formed by the truncated and auxiliary liner structure has better performance.With the increase of the density and hardness of the auxiliary liner material, the jet's ductility, speed and effective mass are improved and all of them are superior to the traditional wedge cover structure.Compared with the conventional wedge cover structure, the speed and the effective length of the jet utilizing W as the auxiliary material increase about 25.9% and 145%, respectively.
-
Key words:
- linear shaped charge /
- auxiliary liner /
- linear shaped charge jet /
- numerical simulation
-
表 1 W、Cu和Al材料模型及其状态方程参数
Table 1. Material model and equation of state parameters of W, Cu, Al
Material ρ/(g·cm-3) γ C1/(m·s-1) S1 S2/(m·s-1) E/GPa Y/GPa W 17.20 1.54 4020 1.237 0 160.0 2.200 Cu 8.90 2.00 3960 1.497 0 46.4 0.120 Al 2.78 0.26 610 1.000 0 64.1 0.089 ρ/(g·cm-3) AJWL/GPa BJWL/GPa R1 R2 ω D/(m·s-1) 1.72 374 3.300 4.5 0.95 0.3 8930 表 3 各结构药型罩形成线型聚能射流的参数
Table 3. Parameters of liner shaped charge jet formed by various structural liners
Liner type v/(m·s-1) t/μs Head Tail W-Cu 4439 1130 44 Cu-Cu 4173 924 36 Al-Cu 3904 887 34 Plane 3716 735 19 Wedge 3525 612 17 -
[1] 崔云航, 李裕春, 吴腾芳, 等.线型聚能装药数值模拟与优化设计[J].爆破, 2005, 22(3):26-29 doi: 10.3963/j.issn.1001-487X.2005.03.007CUI Y H, LI Y C, WU T F, et al.Numerical simulation and optimization design of line shaped charge charge[J]. Blasting, 2005, 22(3):26-29. doi: 10.3963/j.issn.1001-487X.2005.03.007 [2] 王克波, 郑宇.线性聚能装药结构的数值仿真优化[J].爆破, 2012, 29(2):99-103. doi: 10.3963/j.issn.1001-487X.2012.02.026WANG K B, ZHENG Y.Numercial simulation and optimization of the liner shaped charging struction[J]. Blasting, 2012, 29(2):99-103. doi: 10.3963/j.issn.1001-487X.2012.02.026 [3] 武双章, 顾文彬, 李旭锋.椭圆形罩线型聚能装药结构参数正交优化研究[J].工程爆破, 2013, 19(3):1-5. doi: 10.3969/j.issn.1006-7051.2013.03.001WU S Z, GU W B, LI X F.Study on the orthogonal optimization design of structrue parameters of the liner shaped charge with ovalcover[J]. Engineering Blasting, 2013, 19(3):1-5. doi: 10.3969/j.issn.1006-7051.2013.03.001 [4] 徐景林, 顾文彬, 武双章, 等.带隔板线性聚能装药侵彻能力的正交优化[J].工程爆破, 2016, 22(1):77-81. doi: 10.3969/j.issn.1006-7051.2016.01.017XU J L, GU W B, WU S Z, et al.Orthogonal optimization of penetration ability of linear shaped charge with wave-shaper[J]. Enginering Blasting, 2016, 22(1):77-81. doi: 10.3969/j.issn.1006-7051.2016.01.017 [5] MININ I V, MININ O V.Physics of hypercumulation:jet formation in shaped charge and ablatively-driven implosion of hollow cones[J]. International Letters of Chemistry, Physics and Astronomy, 2014, 22(3):76-86. [6] 关荣, 张树海, 苟瑞君, 等.一种截顶线性聚能装药射流特性的数值模拟[J].火炸药学报, 2017, 40(3):2-5. http://d.old.wanfangdata.com.cn/Periodical/hzyxb201703017GUAN R, ZHANG S H, GOU R J, et al.Numercial simulation on the jet characteristics of a truncated liner shaped charge[J]. Chinese Journal of Explosives & Propellants, 2017, 40(3):2-5. http://d.old.wanfangdata.com.cn/Periodical/hzyxb201703017 [7] 刘宏伟, 夏松林, 赵靖.V形反应装甲与射流作用过程分析[J].兵器材料科学与工程, 2011, 32(4):20-22. http://d.old.wanfangdata.com.cn/Periodical/bqclkxygc201104006LIU H W, XIA S L, ZHAO J.Interaction process between jet and V-shaped double ERA[J]. Ordnance Material Science and Engineering, 2011, 32(4):20-22. http://d.old.wanfangdata.com.cn/Periodical/bqclkxygc201104006 [8] 武海军, 陈利, 王江波, 等.反应装甲对射流干扰的数值模拟研究[J].北京理工大学学报, 2006, 26(7):565-568. doi: 10.3969/j.issn.1001-0645.2006.07.001WU H J, CHEN L, WANG J B, et al.Numerical simulation on reactive armor disturbing jet[J]. Transactions of Beijing Institute of Technology, 2006, 26(7):565-568. doi: 10.3969/j.issn.1001-0645.2006.07.001 -

下载: