Dynamic Mechanical Behavior of Graded Metallic Foams Based on Lagrangian Analysis Method
-
摘要: 采用Lagrangian分析法,对梯度泡沫金属在高速冲击下的变形机理和应力响应进行研究。基于3D-Voronoi技术,构建了5种不同密度梯度的泡沫金属细观有限元模型,并进行了高速冲击下的Taylor数值实验,得到不同密度梯度泡沫金属的质点速度分布规律。采用Lagrangian分析法并结合数值实验结果,研究了高速冲击下密度梯度参数对泡沫金属的局部应变分布、应力分布以及冲击波传播与衰减规律的影响。结果表明:负密度梯度泡沫金属比正密度梯度泡沫金属具有更强的抵抗变形能力,且密度梯度参数越小,变形程度越小;负密度梯度泡沫金属的局部压实应力呈线性减小,最大局部压实应力随着密度梯度参数的减小而增大,在冲击端附近可以承受更大的载荷;正密度梯度泡沫金属的局部压实应力分布呈平台状,其最大局部压实应力小于负密度梯度泡沫金属。
-
关键词:
- Lagrangian分析法 /
- 梯度泡沫金属 /
- 3D-Voronoi技术 /
- 密度梯度参数
Abstract: The Lagrangian analysis method was employed to investigate the deformation mechanism and stress response of graded metallic foams. The mesoscopic finite element models of the graded metallic foams with five different density gradient parameters were constructed by the 3D-Voronoi technique, and the corresponding Taylor numerical tests were performed under high-speed impact, and the particle velocity distributions of different graded foams were obtained. By combining the Lagrangian analysis method with the results of Taylor numerical tests, the effects of density gradient parameters on the local strain distribution, stress distribution, shock wave propagation and attenuation of metallic foams under high-speed impact were investigated. The results show that the metallic foams with negative density gradient have better resistance to vertical deformation than those with positive density gradient, and the deformation degree decreases with the decrease of the density gradient parameter. The local densification stress distribution of the metallic foams with negative density gradient decreases linearly, and the maximum local densification stress increases with the decrease of the density gradient parameter. The metallic foams with negative density gradient have high load bearing capability near the impact end. The local densification stress distribution of the metallic foams with positive density gradient has a plateau stage, and the maximum local densification stress is less than metallic foams with negative density gradient. -
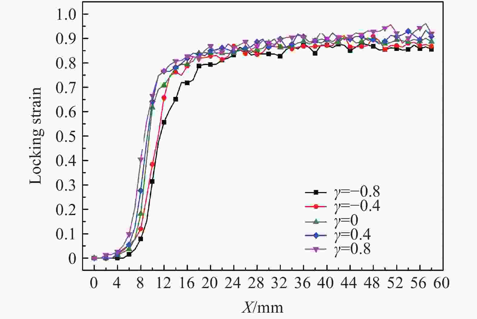
表 1 局部最大压实应变、压实应变、最大局部压实应力及其位置
Table 1. Maximum local locking strain, locking strain, and local maximum densification stress and its location
γ Maximum local locking strain Locking strain Maximum local densification stress Value/MPa Lagrangian location/mm –0.8 0.88 0.68 47.44 58 –0.4 0.91 0.70 39.72 56 0 0.92 0.72 34.77 58 0.4 0.93 0.74 30.08 35 0.8 0.96 0.76 30.75 37 -
[1] WANG S, DING Y, WANG C, et al. Dynamic material parameters of closed-cell foams under high-velocity impact [J]. International Journal of Impact Engineering, 2017, 99: 111–121. doi: 10.1016/j.ijimpeng.2016.09.013 [2] WANG P, WANG X, ZHENG Z, et al. Stress distribution in graded cellular materials under dynamic compression [J]. Latin American Journal of Solids and Structures, 2017, 14(7): 1251–1272. doi: 10.1590/1679-78253428 [3] 王礼立. 应力波基础 [M]. 北京: 国防工业出版社, 2005. [4] DESHPANDE V S, FLECK N A. High strain rate compressive behaviour of aluminium alloy foams [J]. International Journal of Impact Engineering, 2000, 24(3): 277–298. doi: 10.1016/S0734-743X(99)00153-0 [5] KOLSKY H. An investigation of the mechanical properties of materials at very high rates of loading [J]. Proceedings of the Physical Society Section B, 1949, 62(11): 676. doi: 10.1088/0370-1301/62/11/302 [6] FOWLES R. Conservation relations for spherical and cylindrical stress waves [J]. Journal of Applied Physics, 1970, 41(6): 2740–2741. doi: 10.1063/1.1659298 [7] GRADY D E. Experimental analysis of spherical wave propagation [J]. Journal of Geophysical Research, 1973, 78(8): 1299–1307. doi: 10.1029/JB078i008p01299 [8] SEAMAN L. Lagrangian analysis for multiple stress or velocity gages in attenuating waves [J]. Journal of Applied Physics, 1974, 45(10): 4303–4314. doi: 10.1063/1.1663050 [9] GUPTA Y M. High strain-rate shear deformation of a polyurethane elastomer subjected to impact loading [J]. Polymer Engineering & Science, 1984, 24(11): 851–861. [10] FOREST C A, WACKERLE J, DICK J J, et al. Lagrangian analysis of MIV (Magnetic Impulse-Velocity) gauge experiments on PBX 9502 using the mass-displacement moment function: LA-UR-89-2898 [R]. Los Alamos: Los Alamos National Lab, 1989. [11] WANG L, ZHU J, LAI H. A new method combining Lagrangian analysis with Hopkinson pressure bar technique [J]. Strain, 2011, 47(2): 173–182. doi: 10.1111/str.2011.47.issue-2 [12] 朱珏. 混凝土类材料冲击本构特性的SHPB技术及Lagrange反解法的研究 [D]. 合肥: 中国科学技术大学, 2006. [13] WANG L, DING Y, YANG L. Experimental investigation on dynamic constitutive behavior of aluminum foams by new inverse methods from wave propagation measurements [J]. International Journal of Impact Engineering, 2013, 62: 48–59. doi: 10.1016/j.ijimpeng.2013.06.002 [14] DING Y, WANG S, ZHENG Z, et al. Dynamic crushing of cellular materials: a unique dynamic stress–strain state curve [J]. Mechanics of Materials, 2016, 100: 219–231. doi: 10.1016/j.mechmat.2016.07.001 [15] 张建军. 冲击载荷下梯度多孔金属力学行为研究 [D]. 太原: 太原理工大学, 2016. [16] ZHENG Z, WANG C, YU J, et al. Dynamic stress–strain states for metal foams using a 3D cellular model [J]. Journal of the Mechanics and Physics of Solids, 2014, 72: 93–114. doi: 10.1016/j.jmps.2014.07.013 -

下载: