High Pressure Raman Investigation of BiFeO3
-
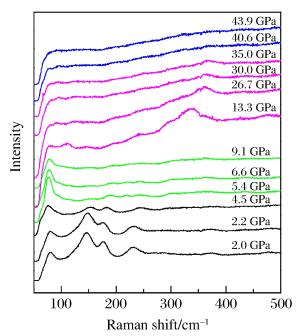
摘要: BiFeO3是少数在室温下同时具有铁电有序和铁磁有序的多铁材料之一。BiFeO3在室温下呈扭曲的三方钙钛矿结构,满足R3c空间群。通过六面顶大压机在高温高压下合成纯的BiFeO3粉晶,并结合高压拉曼光谱测试技术,得到了0~44 GPa压强下BiFeO3的拉曼光谱。结果表明:随着压强的增加,低波数的拉曼峰逐渐向高波数迁移并展宽,位于145、177和231 cm-1的拉曼峰强度逐渐减弱。第一次相变发生在5 GPa左右,位于145 cm-1左右的拉曼峰消失,与此同时在217 cm-1左右出现新的拉曼峰。当压强增加到11 GPa时,明显观察到位于340 cm-1左右的拉曼峰出现,而低波数(< 200 cm-1)的拉曼峰则全部消失,标志BiFeO3发生第二次相变,转为正交晶系的Pnma结构。压强增加到38 GPa时,BiFeO3发生第三次相变,位于340 cm-1左右的拉曼峰消失,谱线上不存在明显的拉曼峰,BiFeO3可能由正交晶系的Pnma结构转变为Pnmm结构或高对称的立方晶系结构。Abstract: BiFeO3 is one of the most promising multiferroics that exhibits both magnetic and ferroelectric properties above room temperature.The room-temperature structure of BiFeO3 is a highly rhombohedrally distorted perovskite with space group R3c.In this study, we prepared BiFeO3 powder under high temperature and high pressure using muti-anvils, and investigated the phase transition of BiFeO3 in the 0-44 GPa range combinng with Raman spectrum.Upon compression, the low-frequency Raman modes of BiFeO3 shift to higher angles and become broadening, and the vibrational modes at 145, 177 and 231 cm-1 begin to decrease.The first phase transition takes place at the pressure of about 5 GPa, shown by the disappearance of the mode at 145 cm-1 and the emergence of the mode at 217 cm-1.The second phase transition is indicated by the emergence of the mode at 340 cm-1 and the disappearance of the mode below 200 cm-1 at 11 GPa.After this phase transition, the structure of BiFeO3 transfers to orthorhombic phase Pnma.The third phase transition takes place at the pressure of 38 GPa, all the Raman modes including the mode at 340 cm-1 disappear, and the structure of BiFeO3 may transferr to cubic or higher symmetry orthorhombic crystals.
-
Key words:
- BiFeO3 /
- high-pressure /
- Raman spectrum /
- phase transition
-
图 3 BiFeO3样品SEM像Fig. 3 SEM image of BiFeO3 sample
图 6 不同压强下BiFeO3的振动模式Fig. 6 Pressure dependence of all the vibrational modes of BiFeO3 sample
-
[1] WANG J, NEATON J B, ZHENG H, et al.Epitaxial BiFeO3 multiferroic thin film heterostructures[J].Science, 2003, 299(5613):1719-1722. doi: 10.1126/science.1080615 [2] GUENNOU M, VIRET M, KREISEL J.Bismuth-based perovskites as multiferroics[J].Comptes Rendus-Physique, 2015, 16(2):182-192. doi: 10.1016/j.crhy.2015.01.008 [3] GILIOLI E, EHM L.High pressure and multiferroics materials:a happy marriage[J].IUCrJ, 2014, 1(6):590-603. doi: 10.1107/S2052252514020569 [4] CHEONG S W, MOSTOVOY M.Multiferroics:a magnetic twist for ferroelectricity[J].Nature Materials, 2007, 6(1):13-20. doi: 10.1038/nmat1804 [5] RAVINDRAN P, VIDYA R, KJEKSHUS A, et al.Theoretical investigation of magnetoelectric behavior in BiFeO3[J].Physical Review B, 2006, 74(22):4070-4079. https://www.cambridge.org/core/journals/journal-of-materials-research/article/div-classtitleelectronic-magnetic-and-dielectric-properties-of-multiferroic-mntiospan-classsub3spandiv/DD23CC58B8A6F8EAD572459D0F8CB853 [6] HAUMONT R, BOUVIER P.Raman scattering of the model multiferroic oxide BiFeO3:effect of temperature, pressure and stress[J].Phase Transitions, 2006, 79(12):1043-1064. doi: 10.1080/01411590601067342 [7] GUENNOU M, BOUVIER P, CHEN G S, et al.Multiple high-pressure phase transitions in BiFeO3[J].Physical Review B, 2011, 84(17):4327-4331. http://arxiv.org/abs/1108.0704 [8] HAUMONT R, BOUVIER P, PASHKIN A, et al.Effect of high pressure on multiferroic BiFeO3[J].Physical Review B, 2009, 79(18):1-10. https://www.researchgate.net/publication/286791307_Effect_of_High_Pressure_Treatment_and_Synthesis_on_Multiferroic_Properties_of_09BiFeO3-01SrTiO3_Ceramics [9] YANG Y, BAI L G, ZHU K, et al.High pressure Raman investigations of multiferroic BiFeO3[J].Journal of Physics:Condensed Matter, 2009, 21(38):1-5. http://www.ncbi.nlm.nih.gov/pubmed/21832378 [10] ZHANG X L, WU Y, ZHANG Q, et al.Pressure-induced phase transitions of multiferroic BiFeO3[J].Chinese Physics C, 2013, 37(12):109-113. https://www.osti.gov/biblio/22278012-phase-transformation-multiferroic-bi-sub-ti-sub-feo-sub-ceramics-temperature-dependent-ellipsometric-raman-spectra-interband-electronic-transition-evidence [11] 鄂元龙, 贾洪声, 马根龙, 等.BiFeO3的高压合成及其结构和形貌研究[J].通化师范学院学报, 2015, 36(12):32-35. http://www.oalib.com/paper/287234E Y L, JIA H S, MA G L, et al.High pressure synthesis of BiFeO3 and the studies of its structure and morphology[J].Journal of TongHua Normal University, 2015, 36(12):32-35. http://www.oalib.com/paper/287234 [12] MAO H K, XU J, BELL P M.Calibration of the ruby pressure gauge to 800 kbar under quasi-hydrostatic conditions[J].Journal of Geophysical Research Solid Earth, 1986, 91(B5):4673-4676. doi: 10.1029/JB091iB05p04673 [13] BUHOT J, TOULOUSE C, GALLAIS Y, et al.Driving spin excitations by hydrostatic pressure in BiFeO3[J].Physical Review Letters, 2015, 115(26):1-5. https://www.researchgate.net/profile/Constance_Toulouse/publication/281487638_Driving_Spin_Excitations_by_Hydrostatic_Pressure_in_BiFeO_3/links/5629eef908ae04c2aeb1494c.pdf?origin=publication_detail -

下载: