铝粉粒度对乳化炸药基质热分解特性的影响

龚悦 何杰 颜事龙 程扬帆

龚悦, 何杰, 颜事龙, 程扬帆. 铝粉粒度对乳化炸药基质热分解特性的影响[J]. 高压物理学报, 2017, 31(2): 148-154. doi: 10.11858/gywlxb.2017.02.006
引用本文: 龚悦, 何杰, 颜事龙, 程扬帆. 铝粉粒度对乳化炸药基质热分解特性的影响[J]. 高压物理学报, 2017, 31(2): 148-154. doi: 10.11858/gywlxb.2017.02.006
GONG Yue, HE Jie, YAN Shi-Long, CHENG Yang-Fan. Effect of Aluminum Particle Size on Thermal Decomposition Characteristics of Emulsion Matrix[J]. Chinese Journal of High Pressure Physics, 2017, 31(2): 148-154. doi: 10.11858/gywlxb.2017.02.006
Citation: GONG Yue, HE Jie, YAN Shi-Long, CHENG Yang-Fan. Effect of Aluminum Particle Size on Thermal Decomposition Characteristics of Emulsion Matrix[J]. Chinese Journal of High Pressure Physics, 2017, 31(2): 148-154. doi: 10.11858/gywlxb.2017.02.006

铝粉粒度对乳化炸药基质热分解特性的影响

doi: 10.11858/gywlxb.2017.02.006
基金项目: 

国家自然科学基金 51174183

安徽省高校自然科学基金重点项目 KJ2015A074

安徽省自然科学基金青年项目 1608085QA15

详细信息
    作者简介:

    龚悦(1987-), 女, 博士研究生, 主要从事含能材料爆轰及热分析研究.E-mail:yuegong_aust@163.com

    通讯作者:

    何杰(1962-), 男, 教授, 博士生导师, 主要从事纳米金属氧化物研究.E-mail:jhe@aust.edu.cn

  • 中图分类号: O389;TQ560

Effect of Aluminum Particle Size on Thermal Decomposition Characteristics of Emulsion Matrix

  • 摘要: 为了研究铝粉粒度对乳化炸药基质热稳定性的影响,运用DSC-TG联用差示扫描量热仪,考察了添加不同粒度铝粉的乳化炸药基质在不同升温速率下的热分解特性,以获得热分解动力学参数。结果表明,铝粉的加入降低了乳化炸药基质的热分解温度,分解反应活化能减小,即基质热安定性降低,且随着铝粉粒度的减小,该趋势更加明显。与不添加铝粉的乳化炸药相比,在实验范围内不同粒度的铝粉对乳化炸药基质的热分解机理未产生影响,均为受随机成核和随后生长控制的反应级数n=1的Mample单行法则。研究成果可为含铝乳化炸药热安定性的相关研究提供理论参考。

     

  • 图  空白样在升温速率为5 ℃/min时的DSC和TG-DTG曲线

    Figure  1.  DSC and TG-DTG curves of blank sample at heating rate of 5 ℃/min

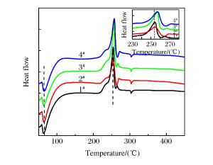
    图  4种样品在升温速率为5 ℃/min时的DSC曲线

    Figure  2.  DSC curves of 4 samples at heating rate of 5 ℃/min

    图  4种样品在升温速率为5 ℃/min时的lg β-1/T曲线

    Figure  3.  lg β-1/T curves of 4 samples at heating rate of 5 ℃/min

    表  1  乳化炸药基质配方

    Table  1.   Main ingredients of emulsion matrix

    Component Chemical name Chemical formula Mole mass/(g/mol) Mass fraction/(%)
    Oxidants Ammonium nitrate NH4NO3 80.0 69.5
    Sodium nitrate NaNO3 85.0 12.2
    Solvent Water H2O 18.0 10.0
    Combustibles Paraffin wax C18H38 254.5 2.1
    Compound wax C22-28H46-58 ≈392.0 3.6
    Emulsifier SP-80 C24H44O6 428.0 2.6
    下载: 导出CSV

    表  2  样品配比

    Table  2.   Sample ratio

    Sample Mass fraction/(%) Aluminum particle size/(μm)
    Emulsion matrix Al powder
    1# 95 5 111.9
    2# 95 5 177.2
    3# 95 5 314.2
    4# 100 0 0
    下载: 导出CSV

    表  3  不同升温速率和反应深度下4种样品的反应温度

    Table  3.   Reaction temperatures of 4 samples at various heating rates and reaction depths

    α β/(℃/min) T/(K)
    1# 2# 3# 4#
    0.4 5 518.164 518.562 520.541 519.980
    10 531.357 530.665 530.206 530.017
    20 543.586 543.259 543.833 544.527
    30 551.194 550.979 551.878 550.375
    0.5 5 523.290 523.969 525.617 525.905
    10 536.491 536.444 535.600 536.136
    20 548.892 548.242 548.351 550.605
    30 555.652 555.602 556.747 555.839
    下载: 导出CSV

    表  4  由Flynn-Wall-Ozawa法求得的4种样品的动力学参数

    Table  4.   Kinetic parameters of 4 samples calculated with Flynn-Wall-Ozawa method

    Sample α=0.4 α=0.5
    E/(kJ/mol) r Q/(kJ/mol) E/(kJ/mol) r Q/(kJ/mol)
    1# 123.00 0.998 48 0.018 89 127.22 0.996 69 0.027 89
    2# 124.95 0.999 98 0.002 14 130.50 0.998 63 0.017 94
    3# 128.11 0.993 31 0.039 62 132.17 0.995 59 0.032 25
    4# 129.02 0.991 67 0.044 27 133.66 0.989 95 0.048 58
    下载: 导出CSV
  • [1] 汪旭光.乳化炸药[M].第2版.北京:冶金工业出版社, 2008:3-11.

    WANG X G.Emulsion explosives[M].2nd ed.Beijing:Metallurgical Industry Press, 2008:3-11.
    [2] OTHMER K.Encyclopedia of chemical technology[M].New York:Wiley Inter Science, 1979:629-631.
    [3] 宋敬埔, 吴红梅.我国乳化炸药的研究近况及发展建议[J].爆破器材, 2003, 32(4):5-10. doi: 10.3969/j.issn.1001-8352.2003.04.002

    SONG J P, WU H M.The recent research and development advice on the emulsion explosives in our country[J].Explosive Materials, 2003, 32(4):5-10. doi: 10.3969/j.issn.1001-8352.2003.04.002
    [4] BJARNHOLT G.Effects of aluminium and lithium fluoride admixtures on metal acceleration ability of Comp B[C]//Proceedings of the 6th International Symposium on Detonation.San Diego, 1976: 510-520.
    [5] JOHNSON J N, TANG P K, FOREST C A.Shock-wave initiation of heterogeneous reactive solids[J].J Appl Phys, 1985, 57(9):4323-4334. doi: 10.1063/1.334591
    [6] GUIRGUIS R H, MILLER P J.Time-dependent equations of state for aluminized underwater explosives[C]//Proceedings of the 10th International Symposium on Detonation.Boston, 1993: 675-682.
    [7] TAO W C, TARVER C M, KURY J W, et al.Understanding composite explosive energetics: 4.reactive flow modeling of aluminum reaction kinetics in PETN and TNT using normalized product equation of state[C]//Proceedings of the 10th International Symposium on Detonation.Boston, 1993: 351-356.
    [8] MURAVYEV N, FROLOV Y, PIVKINA A, et al.Influence of particle size and mixing technology on combustion of HMX/Al compositions[J].Propell Explos Pyrot, 2010, 35(3):226-232. doi: 10.1002/prep.v35:3
    [9] RITTER H, BRAUN S.High explosives containing ultrafine aluminum ALEX[J].Propell Explos Pyrot, 2001, 26(6):311-314. doi: 10.1002/1521-4087(200112)26:6<311::AID-PREP311>3.0.CO;2-S
    [10] 冯晓军, 王晓峰, 李媛媛, 等.铝粉粒度和爆炸环境对含铝炸药爆炸能量的影响[J].火炸药学报, 2013, 36(6):24-27. doi: 10.3969/j.issn.1007-7812.2013.06.004

    FENG X J, WANG X F, LI Y Y, et al.Effect of aluminum particle size and explosion atmosphere on the energy of explosion of aluminized explosive[J].Chinese Journal of Explosives&ropellants, 2013, 36(6):24-27. doi: 10.3969/j.issn.1007-7812.2013.06.004
    [11] 王彩玲, 陈松, 赵省向, 等.AI粉对RDX机械感度的影响[J].火工品, 2010(1):32-34. doi: 10.3969/j.issn.1003-1480.2010.01.009

    WANG C L, CHEN S, ZHAO S X, et al.Influence of Al powder on mechanical sensitivity of RDX[J].Initiators&Pyrotechnics, 2010(1):32-34. doi: 10.3969/j.issn.1003-1480.2010.01.009
    [12] 金朋刚, 郭炜, 王建灵, 等.不同粒度铝粉在HMX基炸药中的能量释放特性[J].含能材料, 2015, 23(10):989-993. doi: 10.11943/j.issn.1006-9941.2015.10.013

    JIN P G, GUO W, WANG J L, et al.Energy releasing characteristics of aluminum powder in HMX-based explosives[J].Chinese Journal of Energetic Materials, 2015, 23(10):989-993. doi: 10.11943/j.issn.1006-9941.2015.10.013
    [13] 汪旭光, 聂森林, 云主惠, 等.浆状炸药的理论与实践[M].北京:冶金工业出版社, 1985:26.

    WANG X G, NIE S L, YUN Z H, et al.Theory and practice of slurry explosive[M].Beijing:Metallurgical Industry Press, 1985:26.
    [14] 蔡正千.热分析[M].北京:高等教育出版社, 1993:235-236.

    CAI Z Q.Thermoanalysis[M].Beijing:Higher Education Press, 1993:235-236.
    [15] WESLEY W W.Thermal analysis[M].3rd ed.New York:John Wiley and Sons Inc, 1986:127-131.
  • 加载中
图(3) / 表(4)
计量
  • 文章访问数:  7423
  • HTML全文浏览量:  3024
  • PDF下载量:  115
出版历程
  • 收稿日期:  2016-04-12
  • 修回日期:  2016-09-13

目录

    /

    返回文章
    返回