等离子射流近场特性的数值模拟

张琦 余永刚 郑四发

张琦, 余永刚, 郑四发. 等离子射流近场特性的数值模拟[J]. 高压物理学报, 2016, 30(4): 335-343. doi: 10.11858/gywlxb.2016.04.011
引用本文: 张琦, 余永刚, 郑四发. 等离子射流近场特性的数值模拟[J]. 高压物理学报, 2016, 30(4): 335-343. doi: 10.11858/gywlxb.2016.04.011
ZHANG Qi, YU Yong-Gang, ZHENG Si-Fa. Numerical Simulation for Characteristics ofthe Near Filed of the Plasma Jet[J]. Chinese Journal of High Pressure Physics, 2016, 30(4): 335-343. doi: 10.11858/gywlxb.2016.04.011
Citation: ZHANG Qi, YU Yong-Gang, ZHENG Si-Fa. Numerical Simulation for Characteristics ofthe Near Filed of the Plasma Jet[J]. Chinese Journal of High Pressure Physics, 2016, 30(4): 335-343. doi: 10.11858/gywlxb.2016.04.011

等离子射流近场特性的数值模拟

doi: 10.11858/gywlxb.2016.04.011
基金项目: 

国家自然科学基金 50776048

详细信息
    作者简介:

    张琦(1983-), 男, 博士, 主要从事流体、燃烧方面的研究.E-mail:johnchee@sina.com

  • 中图分类号: O53;TJ399

Numerical Simulation for Characteristics ofthe Near Filed of the Plasma Jet

  • 摘要: 等离子射流点火技术在航空航天、武器工业及民用工业中均有应用。为了探索等离子射流的点火特性,对等离子射流在大气中瞬态膨胀扩展近场特性进行了数值模拟,获得了射流扩展过程中的压力、速度、温度分布以及两相界面演化特性。结果表明:等离子射流扩展过程中,射流近场逐渐形成马赫盘,并伴随射流分叉、聚合现象。正激波上游各参数均不随时间变化,下游参数随时间改变。射流前端面扩展位移计算值与实测值吻合较好。

     

  • 图  计算域及网格

    Figure  1.  Computational domain and mesh grid

    图  不同网格尺寸下等离子射流轴向扩展位移

    Figure  2.  Axial displacement of plasma jetunder different grid sizes

    图  喷嘴近场等离子-液体两相界面演化过程

    Figure  3.  Evolution of the plasma-liquid interface at the nozzle near field

    图  等离子射流轴向扩展位移随时间的变化曲线

    Figure  4.  Axial displacement of plasma jet varying with time

    图  初期等离子射流场中压力分布序列图

    Figure  5.  Pressure distribution of plasma jet at early time

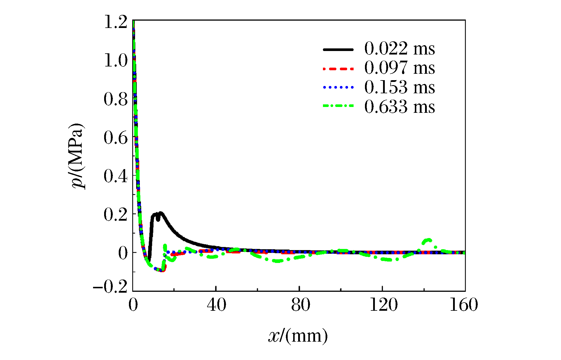
    图  不同时刻x轴上的压力分布

    Figure  6.  Pressure on the x-axis at different times

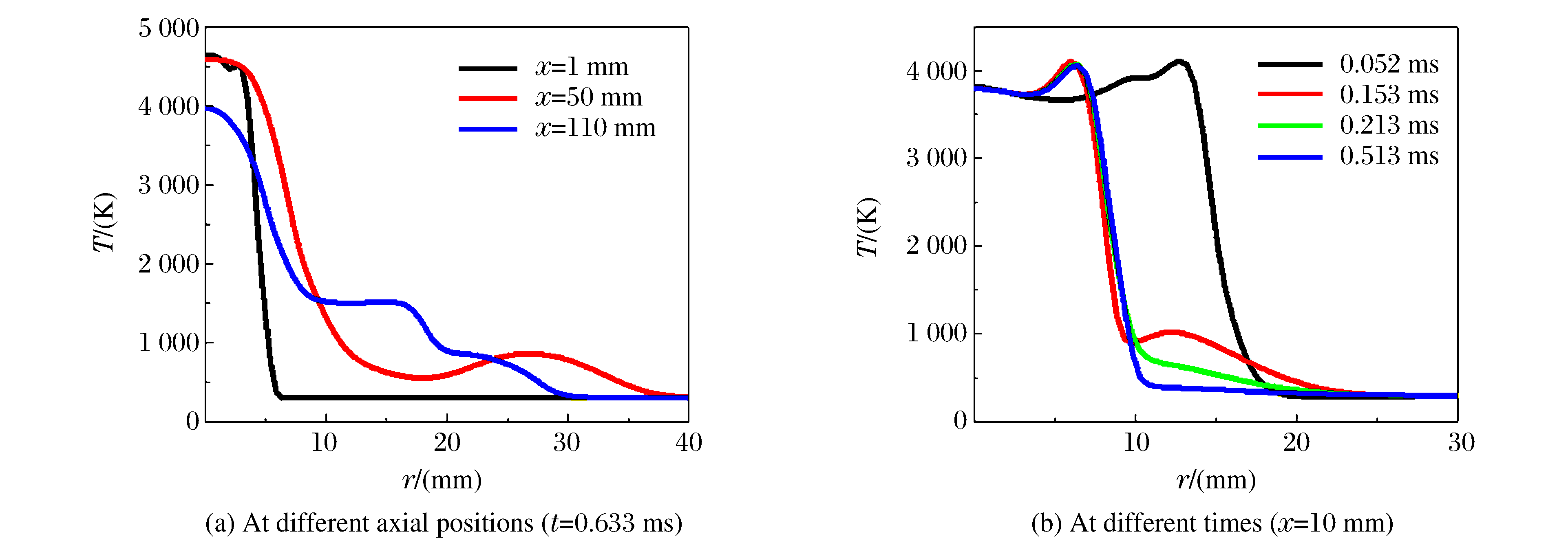
    图  不同时刻x=1和10mm处压力的径向分布

    Figure  7.  Radial distribution of pressure at x=1 and 10mm at different times

    图  等离子射流场轴向速度分布

    Figure  8.  Axial velocity distribution of plasma jet

    图  等离子射流场径向速度分布

    Figure  9.  Radial velocity distribution of plasma jet

    图  10  不同时刻轴线上的马赫数分布

    Figure  10.  Ma on the x axis at different times

    图  11  轴线上不同位置处马赫数的径向分布

    Figure  11.  Radial distribution of Ma at different axial positions

    图  12  不同时刻马赫数沿径向的分布

    Figure  12.  Radial distribution of Ma at different times

    图  13  等离子射流场中温度分布

    Figure  13.  Temperature distribution of plasma jet

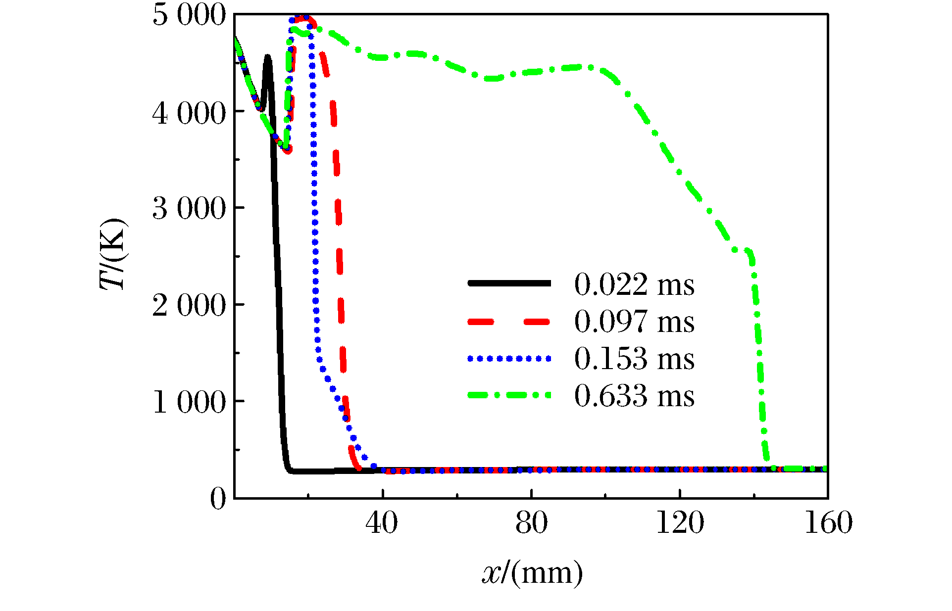
    图  14  不同时刻轴线上温度分布

    Figure  14.  Temperature of plasma jet on x-axis at different times

    图  15  温度沿径向的分布

    Figure  15.  Temperature distribution of plasma jet along radial direction

    图  16  实验结果[5]和模拟结果的比较

    Figure  16.  Comparison of experimentalresults[5] and simulation results

  • [1] KIM J U, SUK H.Characterization of a high-density plasma produced by electrothermal capillary discharge[J].Appl Phys Lett, 2002, 80(3):368-370. doi: 10.1063/1.1435807
    [2] KOHEL J M, SU L K, CLEMENTS N T, et al.Emission spectroscopic measurements and analysis of a pulsed plasma jet[J].IEEE Trans Magn, 1999, 35(1):201-204. doi: 10.1109/20.738404
    [3] TAYLOR M J.Measurement of the properties of plasma from ETC capillary plasma generators[J].IEEE Trans Magn, 2001, 37(1):194-198. doi: 10.1109/20.911819
    [4] CHANG L M, HOWARD S L.Influence of pulse length on electrothermal plasma jet impingement flow: ARL-TR-4348[R].Chantilly, Virginia: American Systems Corp, 2007.
    [5] DAS M, THYNEL S T, LI J, et al.Material dependence of plasma radiation produced by a capillary discharge: AIAA 2006-3425[R].San Fransico, California: 9th AIAA/ASME Joint Thermophysics and Heat Transfer Conference, 2006. https://www.researchgate.net/publication/245439715_Material_Dependence_of_Plasma_Radiation_Produced_by_a_Capillary_Discharge
    [6] 刘东尧, 郭海波, 余永刚, 等.毛细管消融等离子体及其射流压力特性研究[J].南京理工大学学报(自然科学版), 2009(3):348-351. doi: 10.3969/j.issn.1005-9830.2009.03.016

    LIU D Y, GUO H B, YU Y G, et al.Investigation on the pressure of ablation plasma and its jet[J].Journal of Nanjing University of Science and Technology (Natural Science), 2009(3):348-351. doi: 10.3969/j.issn.1005-9830.2009.03.016
    [7] 赵文华, 唐皇哉, 田阔, 等.存在空气卷吸时等离子体射流光谱诊断应做的修正[J].光谱学与光谱分析, 2004, 24(4):388-391. doi: 10.3321/j.issn:1000-0593.2004.04.002

    ZHAO W H, TANG H Z, TIAN K, et al.The correction to spectroscopic diagnostics of plasma jet with air engulfment[J].Spectroscopy and Spectral Analysis, 2004, 24(4):388-391. doi: 10.3321/j.issn:1000-0593.2004.04.002
    [8] 赵文华, 刘笛, 田阔.电弧等离子体射流核脉动及射流卷吸的实验研究[J].核聚变与等离子体物理, 2002, 22(1):1-5. doi: 10.3969/j.issn.0254-6086.2002.01.001

    ZHAO W H, LIU D, TIAN K.Experimental study on the fluctuation and engulfment of arc plasma spraying jet[J].Nuclear Fusion and Plsama Physics, 2002, 22(1):1-5. doi: 10.3969/j.issn.0254-6086.2002.01.001
    [9] 余永刚, 昌学霞, 周彦煌, 等.整装式含能液体燃烧推进实验研究及数值模拟[J].工程热物理学报, 2008, 29(3):531-534. doi: 10.3321/j.issn:0253-231X.2008.03.043

    YU Y G, CHANG X X, ZHOU Y H, et al.Experiment and numerical simulation of combustion and propulsion of bulk-loaded energetic liquid[J].Journal of Engineering Thermophysics, 2008, 29(3):531-534. doi: 10.3321/j.issn:0253-231X.2008.03.043
    [10] YU Y G, CHANG X X, ZHAO N.Study of bulk-loaded liquid propellant combustion propulsion processes with stepped-wall combustion chamber[J].J Appl Mech, 2011, 78(5):051001-051008. http://adsabs.harvard.edu/abs/2011JAM....78e1001Y
    [11] YU Y G, YAN S H, ZHAO N.Influence of boundary shape on interaction process of plasma jet and liquid media[J].Int J Appl Electromagn Mech, 2010, 33:541-548. doi: 10.3233/JAE-2010-1156
    [12] 余永刚, 闫善恒, 陆欣, 等.双股高速燃气射流在液体中扩展及相互作用的实验研究[J].科学技术与工程, 2008, 8(1):43-46. doi: 10.3969/j.issn.1671-1815.2008.01.011

    YU Y G, YAN S H, LU X, et al.Experimental study on expansion process and interaction of high speed twin combustion-gas jet in liquid[J].Science Thechnology and Engineering, 2008, 8(1):43-46. doi: 10.3969/j.issn.1671-1815.2008.01.011
    [13] 张琦, 余永刚, 陆欣, 等.等离子射流在大气中扩展特性实验研究[J].弹道学报, 2010, 22(4):97-101. http://d.old.wanfangdata.com.cn/Periodical/ddxb201004024

    ZHANG Q, YU Y G, LU X, et al.Experimental study on plasma jet propagation in air[J].Journal of Ballistics, 2010, 22(4):97-101. http://d.old.wanfangdata.com.cn/Periodical/ddxb201004024
  • 加载中
图(16)
计量
  • 文章访问数:  6766
  • HTML全文浏览量:  3064
  • PDF下载量:  68
出版历程
  • 收稿日期:  2014-09-10
  • 修回日期:  2014-12-04

目录

    /

    返回文章
    返回