Mechanical Behavior of Reinforced Concrete under Dynamic Loading
-
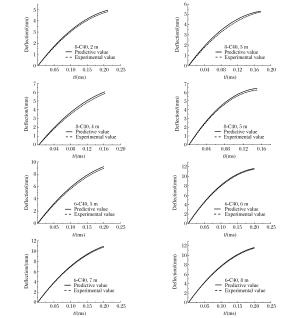
摘要: 基于钢筋混凝土梁受落锤冲击实验结果,提出了损伤型动态本构模型。该模型以混凝土黏弹性本构特性为基础,为了考虑钢筋的作用以及梁的损伤特性,将钢筋增强因子和损伤变量引入理论模型中,最终得出了以应变、应变率、损伤变量和配筋率为控制变量的钢筋混凝土本构模型。将该动态模型运用于非弹性弯曲梁理论分析中,通过数值求解得出了梁跨中挠度时程曲线,与实验结果相吻合。Abstract: Based on the experimental results of a drop-weight impact test on reinforced concrete beams, the damage visco-elastic constitutive model has been proposed to describe the dynamic behavior of reinforced concrete. In view of the influence of the rebar and the damage characteristics of the beam, the reinforced multiplier and damage variable were introduced into the model to modify the constitutive model in such a way that it might be quantitatively described. Thus a constitutive model containing such control variables as strain, strain rate, damage and reinforcement ratio was obtained and then applied to the analysis of the fracture of the non-elastic bent beam. Numerical predictions were compared with the experimental deflection-time relationships, which shows a very good agreement with the experimental results.
-
表 1 落锤冲击钢筋混凝土梁的动态响应值
Table 1. List of dynamic response values of beams
Specimen Drop height/(m) Velocity/(m/s) Strain rate/(s-1) Max. impact load/(kN) Max. deflection/(mm) Res. deflection/(mm) 6-C40 5 9.90 2.05 202.20 62.65 53.83 6-C40 6 10.84 5.87 269.70 87.74 70.73 6-C40 7 11.71 9.54 230.71 119.07 106.54 6-C40 8 12.52 10.25 224.75 119.11 106.26 8-C40 2 6.26 0.25 151.73 22.94 14.12 8-C40 3 7.67 0.48 182.59 35.65 23.48 8-C40 4 8.85 0.74 203.26 35.90 25.71 8-C40 5 9.90 1.02 234.50 38.82 28.24 表 2 模型参数
Table 2. Model parameters
Ec/(GPa) υc Ef/(GPa) D0 a b θ/(ms) 41 0.2 260 0.75 -1.10 0.65 0.53 -
[1] BING L R, PARK R, TANAKA H.Constitutive behavior of high strength concrete under dynamic loading[J].ACI Struct J, 2000, 97:619-29. [2] MALVERN L E, TANG T X, JENKINS D A, et al.Cement-based composites:strain rate effects on fracture[J].Mater Res Soc, 1986, 64:119-138. http://www.sciencedirect.com/science/article/pii/0093641385900813 [3] 胡时胜, 王道荣, 刘剑飞.混凝土材料动态力学性能的实验研究[J].工程力学, 2001, 18(5):115-118. doi: 10.3969/j.issn.1000-4750.2001.05.015HU S S, WANG D R, LIU J F.Experimental study of dynamic mechanical behavior of concrete[J].Journal of Engineering Mechanics, 2001, 18(5):115-118. doi: 10.3969/j.issn.1000-4750.2001.05.015 [4] 宁建国, 商霖, 孙远翔.混凝土材料冲击特性的研究[J].力学学报, 2006, 38(2):199-208. http://d.old.wanfangdata.com.cn/Periodical/lxxb200602008NING J G, SHANG L, SUN Y X.Investigation on impact behavior of concrete[J].Journal of Theoretical and Applied Mechanics, 2006, 38(2):199-208. http://d.old.wanfangdata.com.cn/Periodical/lxxb200602008 [5] NING J G, SHANG L, SUN Y X.The constitutive relationship of reinforced concrete subjected to shock loading[J].Key Eng Mater, 2006, 306:309-314. http://www.wanfangdata.com.cn/details/detail.do?_type=perio&id=gtlxxb200502009 [6] BURLION N, GATUINGT F, PIJAUDIER-CABOT G, et al. Compaction and tensile damage in concrete:constitutive modeling and application to dynamics[J].Comput Methods Appl Mech Eng, 2000, 183(3/4):291-308. http://www.sciencedirect.com/science/article/pii/S0045782599002236 [7] RAGUENEAU F, GATUINGT F.Inelastic behavior modeling of concrete in low and high strain rate dynamics[J].Comput Struct, 2003, 81(12):1287-1299. doi: 10.1016/S0045-7949(03)00043-9 [8] GEORGIN J F, REYNOUARD J M.Modeling of structures subjected to impact:concrete behaviour under high strain rate[J].Cement Concrete Compos, 2003, 25(1):131-143. doi: 10.1016/S0958-9465(01)00060-9 [9] LIU H F, NING J G.Mechanical behavior of reinforced concrete subjected to impact loading[J].Mech Mater, 2009, 41(12):1298-1308. doi: 10.1016/j.mechmat.2009.05.008 [10] 尚仁杰. 混凝土动态本构行为研究[D]. 大连: 大连理工大学, 1994. http://www.wanfangdata.com.cn/details/detail.do?_type=degree&id=Y190273SHANG R J. Studying of the dynamic constitutive behavior of concrete[D]. Dalian: Dalian University of Technology, 1994. http://www.wanfangdata.com.cn/details/detail.do?_type=degree&id=Y190273 [11] 王礼立.应力波基础[M].北京:国防工业出版社, 1985.WANG L L.The basic of stress wave[M].Beijing:National Defence Industry Press, 1985. -

下载: