极端条件下液体结构和物性的实验研究进展

柳雷 毕延 徐济安

柳雷, 毕延, 徐济安. 极端条件下液体结构和物性的实验研究进展[J]. 高压物理学报, 2016, 30(1): 7-19. doi: 10.11858/gywlxb.2016.01.002
引用本文: 柳雷, 毕延, 徐济安. 极端条件下液体结构和物性的实验研究进展[J]. 高压物理学报, 2016, 30(1): 7-19. doi: 10.11858/gywlxb.2016.01.002
LIU Lei, BI Yan, XU Ji-An. Latest Developments in Experimental Research on Structural andPhysical Properties of Liquids under Extreme Conditions[J]. Chinese Journal of High Pressure Physics, 2016, 30(1): 7-19. doi: 10.11858/gywlxb.2016.01.002
Citation: LIU Lei, BI Yan, XU Ji-An. Latest Developments in Experimental Research on Structural andPhysical Properties of Liquids under Extreme Conditions[J]. Chinese Journal of High Pressure Physics, 2016, 30(1): 7-19. doi: 10.11858/gywlxb.2016.01.002

极端条件下液体结构和物性的实验研究进展

doi: 10.11858/gywlxb.2016.01.002
基金项目: 

国家自然科学基金 11504354

国家自然科学基金 U1230201

国家自然科学基金 11274281

国家自然科学基金 11304294

中国工程物理研究院发展基金 2012A0101001

详细信息
    作者简介:

    柳雷(1982-), 男, 硕士, 助理研究员, 主要从事极端条件下材料的物性研究.E-mail:leoleu.hp@gmail.com

  • 中图分类号: O521.2;O521.3

Latest Developments in Experimental Research on Structural andPhysical Properties of Liquids under Extreme Conditions

  • 摘要: 极端条件下液体(熔体)的结构和物性是凝聚态物理、材料科学和地球科学关注的重要问题之一。由于长程周期性的缺失,液体在极端条件下的结构和物性的实验和理论研究都面临着巨大的挑战。与晶体相比,人们对极端条件下液体的结构和物性的演化规律所知甚少。本文系统介绍了近年来高温高压条件下液体的结构、密度和黏度测量的研究进展,以及取得的重要科学认识,以期对今后极端条件下液体的结构和物性研究起到一定的参考作用。

     

  • 图  采用不同材料作为样品腔的实验组装[28]

    Figure  1.  Cross section of sample assemblywith different capsule materials[28]

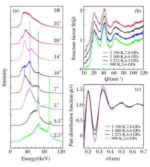
    图  5.6GPa、900K温压条件下液态硫的典型衍射谱(a)、结构因子(b)及对分布函数(c)[28]

    Figure  2.  Typical diffraction patterns (a), selected structurefactors (b) and selected pair distribution functions (c)of liquid sulfur at 5.6GPa and 900K[28]

    图  液态硫对分布函数第1峰的面积(a)、配位数(b)和链长(c)随温度的变化[28]

    Figure  3.  The areas of the first peaks of pair distribution function (a), coordination number (b) and chainlength (c) of liquid sulfur varied with temperature[28]

    图  利用X射线吸收法测量液体密度的示意图(a)及典型的X射线强度扫描曲线(b)[38]

    Figure  4.  A schematic layout of X-ray absorption method (a)and typical X-ray intensity profile (b)[38]

    图  利用落球法测量液态硫密度的拟合图[58]

    Figure  5.  Fitted diagram of liquid sulfur densitymeasurement via the falling ball methods[58]

    图  利用落球法测量液体密度的示意图(a)、典型的样品组装(b)及不同时刻小球的位置(c)[58]

    Figure  6.  (a) A schematic layout of liquid density measurement using falling ball methods; (b) typical sample assembly; (c) the positions of the balls at different times[58]

  • [1] MCMILLAN P F, WILSON M, WILDING M C, et al.Polyamorphism and liquid-liquid phase transitions:challenges for experiment and theory[J]. J Phys Condens Matter, 2007, 19(41):415101. doi: 10.1088/0953-8984/19/41/415101
    [2] POOLE P H, GRANDE T, ANGELL C A, et al.Polymorphic phase transitions in liquids and glasses[J]. Science, 1997, 275(5298):322-323. doi: 10.1126/science.275.5298.322
    [3] BRAZHKIN V V, POPOVA S V, VOLOSHIN R N.Pressure-temperature phase diagram of molten elements:selenium, sulfur and iodine[J]. Physica B, 1999, 265(1/2/3/4):64-71. http://www.sciencedirect.com/science/article/pii/S0921452698013180
    [4] MUKHERJEE G D, BOEHLER R.High-pressure melting curve of nitrogen and the liquid-liquid phase transition[J]. Phys Rev Lett, 2007, 99(22):225701. doi: 10.1103/PhysRevLett.99.225701
    [5] GONCHAROV A F, CROWHURST J C, STRUZHKIN V V, et al.Triple point on the melting curve and polymorphism of nitrogen at high pressure[J]. Phys Rev Lett, 2008, 101(9):095502. doi: 10.1103/PhysRevLett.101.095502
    [6] GREGORYANZ E, GONCHAROV A F.Comment on "high-pressure melting curve of nitrogen and the liquid-liquid phase transition"[J]. Phys Rev Lett, 2009, 102(4):049601. doi: 10.1103/PhysRevLett.102.049601
    [7] SPAULDING D K, MCWILLIAMS R S, JEANLOZ R, et al.Evidence for a phase transition in silicate melt at extreme pressure and temperature conditions[J]. Phys Rev Lett, 2012, 108(6):065701. doi: 10.1103/PhysRevLett.108.065701
    [8] BOATES B, BONEV S A.Demixing instability in dense molten MgSiO3 and the phase diagram of MgO[J]. Phys Rev Lett, 2013, 110(13):135504. http://www.wanfangdata.com.cn/details/detail.do?_type=perio&id=9f1842d9001a6bd65e057d97439ffb4e
    [9] KATAYAMA Y, MIZUTANI T, UTSUMI W, et al.A first-order liquid-liquid phase transition in phosphorus[J]. Nature, 2000, 403:170-173. doi: 10.1038/35003143
    [10] KATAYAMA Y, INAMURA Y, MIZUTANI T, et al.Macroscopic separation of dense fluid phase and liquid phase of phosphorus[J]. Science, 2004, 306(5697):848-851. doi: 10.1126/science.1102735
    [11] MCMILLAN P F, STANLEY H E.Fluid phases:going supercritical[J]. Nat Phys, 2010, 6:479-480. doi: 10.1038/nphys1711
    [12] SIMEONI G G, BRYK T, GORELLI F A, et al.The Widom line as the crossover between liquid-like and gas-like behaviour in supercritical fluids[J]. Nat Phys, 2010, 6:503-507. doi: 10.1038/nphys1683
    [13] MONACO G, FALCONI S, CRICHTON W A, et al.Nature of the first-order phase transition in fluid phosphorus at high temperature and pressure[J]. Phys Rev Lett, 2003, 90(25):255701. doi: 10.1103/PhysRevLett.90.255701
    [14] GREAVES G N, WILDING M C, FEARN S, et al.Detection of frst-order liquid/liquid phase transitions in yttrium oxide-aluminum oxide melts[J]. Science, 2013, 322(5901):566-570.
    [15] YAMADA A, WANG Y, INOUE T, et al.High-pressure X-ray diffraction studies on the structure of liquid silicate using a Paris-Edinburgh type large volume press[J]. Rev Sci Instrum, 2011, 82(1):015103. doi: 10.1063/1.3514087
    [16] PALINKAS G.Analytic approximations for the incoherent X-ray intensities of the atoms from Ca to Am[J]. Acta Crystallogr Sect A, 1973, 29(1):10-12. doi: 10.1107/S0567739473000021
    [17] IBERS J A, HAMILTON W C.International tables for X-ray crystallography[M]. Birmingham:Kynoch Press, 1974.
    [18] CADIEN A, HU Q Y, MENG Y, et al.First-order liquid-liquid phase transition in cerium[J]. Phys Rev Lett, 2013, 110(12):125503. doi: 10.1103/PhysRevLett.110.125503
    [19] LIPP M J, JENEI Z, RUDDLE D, et al.Equation of state measurements by radiography provide evidence for a liquid-liquid phase transition in cerium[J]. J Phys Conf Ser, 2014, 500:032011. doi: 10.1088/1742-6596/500/3/032011
    [20] MEADE C, HEMLEY R J, MAO H K.High-pressure X-ray diffraction of SiO2 glass[J]. Phys Rev Lett, 1992, 69(9):1387-1390. doi: 10.1103/PhysRevLett.69.1387
    [21] SATO T, FUNAMORI N.Sixfold-coordinated amorphous polymorph of SiO2 under high pressure[J]. Phys Rev Lett, 2008, 101(25):255502. doi: 10.1103/PhysRevLett.101.255502
    [22] BENMORE C J, SOIGNARD E, AMIN S A, et al.Structural and topological changes in silica glass at pressure[J]. Phys Rev B, 2010, 81(5):054105. doi: 10.1103/PhysRevB.81.054105
    [23] SATO T, FUNAMORI N.High-pressure structural transformation of SiO2 glass up to 100GPa[J]. Phys Rev B, 2010, 82(18):184102. doi: 10.1103/PhysRevB.82.184102
    [24] MURAKAMI M, BASS J D.Spectroscopic evidence for ultrahigh-pressure polymorphism in SiO2 glass[J]. Phys Rev Lett, 2010, 104(2):025504. doi: 10.1103/PhysRevLett.104.025504
    [25] SATO T, FUNAMORI N, YAGI T.Helium penetrates into silica glass and reduces its compressibility[J]. Nat Commun, 2011, 2:345. doi: 10.1038/ncomms1343
    [26] SHEN G, MEI Q, PRAKAPENKA V B, et al.Effect of helium on structure and compression behavior of SiO2 glass[J]. Proc Natl Acad Sci USA, 2011, 108(15):6004-6007. doi: 10.1073/pnas.1102361108
    [27] DUFFY T S.Crystallography's journey to the deep Earth[J]. Nature, 2014, 506(7489):427-429. doi: 10.1038/506427a
    [28] LIU L, KONO Y, KENNEY-BENSON C, et al.Chain breakage in liquid sulfur at high pressures and high temperatures[J]. Phys Rev B, 2014, 89(17):174201. doi: 10.1103/PhysRevB.89.174201
    [29] SANLOUP C, DREWITT J W E, CREPISSON C, et al.Structure and density of molten fayalite at high pressure[J]. Geochim Cosmochim Ac, 2013, 118:118-128. doi: 10.1016/j.gca.2013.05.012
    [30] SANLOUP C, DREWITT J W E, KONOPKOVA Z, et al.Structural change in molten basalt at deep mantle conditions[J]. Nature, 2013, 503:104-107. doi: 10.1038/nature12668
    [31] YAMADA A, INOUE T, URAKAWA S, et al.In situ X-ray diffraction study on pressure-induced structural changes in hydrous forsterite and enstatite melts[J]. Earth Planet Sci Lett, 2011, 308(1/2):115-123. http://www.wanfangdata.com.cn/details/detail.do?_type=perio&id=69676dcabb121c94dcea81f3ddb06bfd
    [32] SAKAMAKI T, WANG Y, PARK C, et al.Structure of jadeite melt at high pressures up to 4.9GPa[J]. J Appl Phys, 2012, 111(11):112623. doi: 10.1063/1.4726246
    [33] SAKAMAKI T, WANG Y, PARK C, et al.Contrasting behavior of intermediate-range order structures in jadeite glass and melt[J]. Phys Earth Planet Inter, 2014, 228:281-286. doi: 10.1016/j.pepi.2014.01.008
    [34] DUBROVINSKY L, DUBROVINSKAIA N, PRAKAPENKA V B, et al.Implementation of micro-ball nanodiamond anvils for high-pressure studies above 6Mbar[J]. Nat Commun, 2012, 3:1163. doi: 10.1038/ncomms2160
    [35] KATAYAMA Y, TSUJI K, CHEN J Q, et al.Density of liquid tellurium under high pressure[J]. J Non-Cryst Solids, 1993, 156/157/158:687-690. http://www.wanfangdata.com.cn/details/detail.do?_type=perio&id=J-STAGE_2393858
    [36] KATAYAMA Y.Density measurements of non-crystalline materials under high pressure and high temperature[J]. High Pressure Res, 1996, 14:383-391. doi: 10.1080/08957959608201424
    [37] KATAYAMA Y, TSUJI K, SHIMOMURA O, et al.Density measurements of liquid under high pressure and high temperature[J]. J Synchrotron Rad, 1998, 5:1023-1025. doi: 10.1107/S0909049597015239
    [38] NISHIDA K, OHTANI E, URAKAWA S, et al.Density measurement of liquid FeS at high pressures using synchrotron X-ray absorption[J]. Am Mineral, 2011, 96(5/6):864-868. http://adsabs.harvard.edu/abs/2011AmMin..96..864N
    [39] CHANTLER C T.Theoretical form factor, attenuation, and scattering tabulation for Z=1-92 from E=1-10eV to E=0.4-1.0MeV[J]. J Phys Chem Ref Data, 1995, 24:71-643. doi: 10.1063/1.555974
    [40] PAVESE A.Pressure-volume-temperature equations of state:a comparative study based on numerical simulations[J]. Phys Chem Miner, 2002, 29(1):43-51. doi: 10.1007/s002690100204
    [41] BIRCH F.Elasticity and constitution of the Earth's interior[J]. J Geophys Res, 1952, 57(2):227-286. doi: 10.1029/JZ057i002p00227
    [42] POIRIER J P.Light elements in the Earth's outer core:a critical review[J]. Phys Earth Planet Inter, 1994, 85(3/4):319-337. doi: 10.1016-0031-9201(94)90120-1/
    [43] DZIEWONSKI A M, ANDERSON D L.Preliminary reference Earth model[J]. Phys Earth Planet Inter, 1981, 25(4):297-356. doi: 10.1016/0031-9201(81)90046-7
    [44] SANLOUP C, GUYOT F, GILLET P, et al.Density measurements of liquid Fe-S alloys at high-pressure[J]. Geophys Res Lett, 2000, 27(6):811-814. doi: 10.1029/1999GL008431
    [45] SANLOUP C, FIQUET G, GREGORYANZ E, et al.Effect of Si on liquid Fe compressibility:implications for sound velocity in core materials[J]. Geophys Res Lett, 2004, 31:L07604. doi: 10.1029/2004GL019526/full
    [46] SHIMOYAMA Y, TERASAKI H, OHTANI E, et al.Density of Fe-3.5wt%C liquid at high pressure and temperature and the effect of carbon on the density of the molten iron[J]. Phys Earth Planet Inter, 2013, 224:77-82. doi: 10.1016/j.pepi.2013.08.003
    [47] SANLOUP C, VAN WESTRENEN W, DASGUPTA R, et al.Compressibility change in iron-rich melt and implications for core formation models[J]. Earth Planet Sci Lett, 2011, 306(1/2):118-122. http://www.wanfangdata.com.cn/details/detail.do?_type=perio&id=516be97ead5ed2080bf11f32d7f9d947
    [48] DUFFY T S.Mineralogy at the extremes[J]. Nature, 2008, 451:269-270. doi: 10.1038/nature06584
    [49] SAKAMAKI T, OHTANI E, URAKAWA S, et al.Density of high-Ti basalt magma at high pressure and origin of heterogeneities in the lunar mantle[J]. Earth Planet Sci Lett, 2010, 299(3/4):285-289. http://www.wanfangdata.com.cn/details/detail.do?_type=perio&id=53bac4fe81acf6337acab577b45bd03c
    [50] SAKAMAKI T, OHTANI E, URAKAWA S, et al.Measurement of hydrous peridotite magma density at high pressure using the X-ray absorption method[J]. Earth Planet Sci Lett, 2009, 287(3/4):293-297. http://www.sciencedirect.com/science/article/pii/S0012821X09004488
    [51] SAKAMAKI T, OHTANI E, URAKAWA S, et al.Density of dry peridotite magma at high pressure using an X-ray absorption method[J]. Am Mineral, 2010, 95:144-147. doi: 10.2138/am.2010.3143
    [52] CREPISSON C, MORARD G, BUREAU H, et al.Magmas trapped at the continental lithosphere-asthenosphere boundary[J]. Earth Planet Sci Lett, 2014, 393:105-112. doi: 10.1016/j.epsl.2014.02.048
    [53] SHEN G, SATA N, NEWVILLE M, et al.Molar volumes of molten indium at high pressures measured in a diamond anvil cell[J]. Appl Phys Lett, 2002, 81(8):1411-1413. doi: 10.1063/1.1499737
    [54] HONG X, SHEN G, PRAKAPENKA V B, et al.Density measurements of noncrystalline materials at high pressure with diamond anvil cell[J]. Rev Sci Instrum, 2007, 78(10):103905. doi: 10.1063/1.2795662
    [55] SATO T, FUNAMORI N.High-pressure in situ density measurement of low-Z noncrystalline materials with a diamond-anvil cell by an x-ray absorption method[J]. Rev Sci Instrum, 2008, 79(7):073906. doi: 10.1063/1.2953093
    [56] FUNAKOSHI K, NOZAWA A.Development of a method for measuring the density of liquid sulfur at high pressures using the falling-sphere technique[J]. Rev Sci Instrum, 2012, 83(10):103908. doi: 10.1063/1.4757570
    [57] DOBSON D P, JONES A P, RABE R, et al.In-situ measurement of viscosity and density of carbonate melts at high pressure[J]. Earth Planet Sci Lett, 1996, 143:207-215. doi: 10.1016/0012-821X(96)00139-2
    [58] KAPLOW R, STRONG S L, AVERBACH B L.Radial density functions for liquid mercury and lead[J]. Phys Rev A, 1965, 138:1336. doi: 10.1103/PhysRev.138.A1336
    [59] EGGERT J H, WECK G, LOUBEYRE P, et al.Quantitative structure factor and density measurements of high-pressure fluids in diamond anvil cells by X-ray diffraction:argon and water[J]. Phys Rev B, 2002, 65(17):174105. doi: 10.1103/PhysRevB.65.174105
    [60] SHEN G, RIVERS M L, SUTTON S R, et al.The structure of amorphous iron at high pressures to 67 GPa measured in a diamond anvil cell[J]. Phys Earth Planet Inter, 2004, 143/144:481-495. doi: 10.1016/j.pepi.2003.05.004
    [61] BALOG P S, SECCO R A, RUBIE D C.Density measurements of liquids at high pressure:modifications to the sink/float method by using composite spheres, and application to Fe-10wt%S[J]. High Pressure Res, 2001, 21(5):237-261. doi: 10.1080/08957950108201026
    [62] BALOG P S, SECCO R A, RUBIE D C, et al.Equation of state of liquid Fe-10wt%S:implications for the metallic cores of planetary bodies[J]. J Geophys Res, 2003, 108:2124. doi: 10.1029/2001JB001646/full
    [63] TATEYAMA R, OHTANI E, TERASAKI H, et al.Density measurements of liquid Fe-Si alloys at high pressure using the sink-float method[J]. Phys Chem Miner, 2011, 38(10):801-807. doi: 10.1007/s00269-011-0452-1
    [64] NISHIDA K, TERASAKI H, OHTANI E, et al.The effect of sulfur content on density of the liquid Fe-S at high pressure[J]. Phys Chem Miner, 2008, 35(7):417-423. doi: 10.1007/s00269-008-0236-4
    [65] ZHA C S, HEMLEY R J, MAO H K, et al.Acoustic velocities and refractive index of SiO2 glass to 57.5GPa by Brillouin scattering[J]. Phys Rev B, 1994, 50(18):13105-13112. doi: 10.1103/PhysRevB.50.13105
    [66] JIA R, LI F, LI M, et al.Brillouin scattering studies of liquid argon at high temperatures and high pressures[J]. J Chem Phys, 2008, 129(15):154503. doi: 10.1063/1.2993256
    [67] BRAZHKIN V V, KANZAKI M, FUNAKOSHI K, et al.Viscosity behavior spanning four orders of magnitude in As-S melts under high pressure[J]. Phys Rev Lett, 2009, 102(11):115901. doi: 10.1103/PhysRevLett.102.115901
    [68] BROOKS R F, DINSDALE A T, QUESTED P N.The measurement of viscosity of alloys:a review of methods, data and models[J]. Meas Sci Technol, 2005, 16(2):354-362. doi: 10.1088/0957-0233/16/2/005
    [69] URAKAWA S, TERASAKI H, FUNAKOSHI K, et al.Radiographic study on the viscosity of the Fe-FeS melts at the pressure of 5 to 7GPa[J]. Am Mineral, 2001, 86(4):578-582. doi: 10.2138/am-2001-0420
    [70] KONO Y, PARK C, KENNEY-BENSON C, et al.Toward comprehensive studies of liquids at high pressures and high temperatures:combined structure, elastic wave velocity, and viscosity measurements in the Paris-Edinburgh cell[J]. Phys Earth Planet Inter, 2014, 228:269-280. doi: 10.1016/j.pepi.2013.09.006
    [71] FUNAKOSHI K, NOZAWA A.Development of a method for measuring the density of liquid sulfur at high pressures using the falling-sphere technique[J]. Rev Sci Instrum, 2012, 83(10):103908. doi: 10.1063/1.4757570
    [72] KONO Y, KENNEY-BENSON C, PARK C, et al.Anomaly in the viscosity of liquid KCl at high pressures[J]. Phys Rev B, 2013, 87(2):024302. http://www.wanfangdata.com.cn/details/detail.do?_type=perio&id=cc6248e2f5fb05b4c918ded9e38a8f9e
    [73] BRIZARD M, MEGHARFI M, MAHE E, et al.Design of a high precision falling-ball viscometer[J]. Rev Sci Instrum, 2005, 76(2):025109. doi: 10.1063/1.1851471
    [74] BRAZHKIN V V, FUNAKOSHI K, KANZAKI M, et al.Nonviscous metallic liquid Se[J]. Phys Rev Lett, 2007, 99(24):245901. doi: 10.1103/PhysRevLett.99.245901
    [75] BRAZHKIN V V, FARNAN I, FUNAKOSHI K, et al.Structural transformations and anomalous viscosity in the B2O3 melt under high pressure[J]. Phys Rev Lett, 2010, 105(11):115701. doi: 10.1103/PhysRevLett.105.115701
    [76] BRAZHKIN V V, KATAYAMA Y, KANZAKI M, et al.Pressure-induced structural transformations and the anomalous behavior of the viscosity in network chalcogenide and oxide melts[J]. JETP Lett, 2011, 94(2):161-170. doi: 10.1134/S0021364011140050
    [77] BRAZHKIN V V, KATAYAMA Y, KONDRIN M V, et al.AsS melt under pressure:one substance, three liquids[J]. Phys Rev Lett, 2008, 100(14):145701. doi: 10.1103/PhysRevLett.100.145701
    [78] KONO Y, KENNEY-BENSON C, HUMMER D, et al.Ultralow viscosity of carbonate melts at high pressures[J]. Nat Commun, 2014, 5:5091. doi: 10.1038/ncomms6091
    [79] VAIDYA S N, KENNEDY G C.Compressibility of 27 halides to 45kbar[J]. J Phys Chem Solids, 1971, 32(5):951-964. doi: 10.1016/S0022-3697(71)80340-2
    [80] SUZUKI A, OHTANI E, TERASAKI H, et al.Pressure and temperature dependence of the viscosity of a NaAlSi2O6 melt[J]. Phys Chem Miner, 2011, 38(1):59-64. doi: 10.1007/s00269-010-0381-4
    [81] SUZUKI A, OHTANI E, FUNAKOSHI K, et al.Viscosity of albite melt at high pressure and high temperature[J]. Phys Chem Miner, 2002, 29(3):159-165. doi: 10.1007/s00269-001-0216-4
    [82] SUZUKI A, OHTANI E, TERASAKI H, et al.Viscosity of silicate melts in CaMgSi2O6-NaAlSi2O6 system at high pressure[J]. Phys Chem Miner, 2005, 32(2):140-145. doi: 10.1007/s00269-005-0452-0
    [83] MORI S, OHTANI E, SUZUKI A, et al.Viscosity of the albite melt to 7GPa at 2 000K[J]. Earth Planet Sci Lett, 2000, 175(1/2):87-92. http://www.sciencedirect.com/science/article/pii/S0012821X99002848
    [84] FUNAKOSHI K, SUZUKI A, TERASAKI H.In situ viscosity measurements of albite melt under high pressure[J]. J Phys Condens Matter, 2002, 14(44):11343. doi: 10.1088/0953-8984/14/44/479
    [85] TINKER D, LESHER C E, BAXTER G M, et al.High-pressure viscometry of polymerized silicate melts and limitations of the Eyring equation[J]. Am Mineral, 2004, 89(11/12):1701-1708.
    [86] ALLWARDT J R, STEBBINS J F, TERASAKI H, et al.Effect of structural transitions on properties of high-pressure silicate melts:27Al NMR, glass densities, and melt viscosities[J]. Am Mineral, 2007, 92(7):1093-1104. doi: 10.2138/am.2007.2530
    [87] POE B T, MCMILLAN P F, RUBIE D C, et al.Silicon and oxygen self-diffusivities in silicate liquids measured to 15 gigapascals and 2 800 kelvin[J]. Science, 1997, 276(5316):1245-1248. doi: 10.1126/science.276.5316.1245
    [88] WANG Y, SAKAMAKI T, SKINNER L B, et al.Atomistic insight into viscosity and density of silicate melts under pressure[J]. Nat Commun, 2014, 5:3241. doi: 10.1038/ncomms4241
    [89] TERASAKI H, KATO T, URAKAWA S, et al.The effect of temperature, pressure, and sulfur content on viscosity of the Fe-FeS melt[J]. Earth Planet Sci Lett, 2001, 190(1/2):93-101. http://www.wanfangdata.com.cn/details/detail.do?_type=perio&id=d8ea005bb2515cced1aeb9adf83b05ea
    [90] LIEBSKE C, SCHMICKLER B, TERASAKI H, et al.Viscosity of peridotite liquid up to 13GPa:implications for magma ocean viscosities[J]. Earth Planet Sci Lett, 2005, 240(3/4):589-604. http://www.sciencedirect.com/science/article/pii/S0012821X05006825
    [91] PIERMARINI G J, FORMAN R A, BLOCK S.Viscosity measurements in the diamond anvil pressure cell[J]. Rev Sci Instrum, 1978, 49(8):1061-1066. doi: 10.1063/1.1135514
    [92] KING H E Jr, HERBOLZHEIMER E, COOK R L.The diamond-anvil cell as a high-pressure viscometer[J]. J Appl Phys, 1992, 71(5):2071-2081. doi: 10.1063/1.351157
    [93] ABRAMSON E H.The shear viscosity of supercritical oxygen at high pressure[J]. J Chem Phys, 2005, 122(8):084501. doi: 10.1063/1.1849166
    [94] ABRAMSON E H.Viscosity of carbon dioxide measured to a pressure of 8GPa and temperature of 673K[J]. Phys Rev B, 2009, 80(2):021201. doi: 10.1103/PhysRevE.80.021201
    [95] NAKAMURA Y, TAKIMOTO A, MATSUI M.Rheological study of solidified lubricant oils under very high pressure by observing microsphere deformation and viscosity prediction[J]. Lubr Sci, 2010, 22(10):417-429. doi: 10.1002/ls.110
    [96] BRIDGMAN P W.The viscosity of liquids under pressure[J]. Proc Natl Acad Sci USA, 1925, 11(10):603-606. doi: 10.1073/pnas.11.10.603
  • 加载中
图(6)
计量
  • 文章访问数:  8193
  • HTML全文浏览量:  2307
  • PDF下载量:  160
出版历程
  • 收稿日期:  2014-11-18
  • 修回日期:  2015-01-04

目录

    /

    返回文章
    返回