Numerical Simulation of Shaped Warhead Penetrating the Target with Reactive Armor in Motion State
-
摘要: 运用LS-DYNA有限元程序模拟了不同横向飞行速度(150、200、300、400、500 m/s)和侵彻角度(30°、45°、60°)情况下聚能战斗部对披挂反应装甲后效靶板的侵彻过程,讨论了射流所受干扰情况及其对后效靶板的侵彻结果。研究结果表明:当侵彻角度一定时,射流对靶板表面的切割长度随速度的增大而增大,且在侵彻角度为30°时增大速率最快;但射流侵彻深度随速度的增大而减小,且在侵彻角度为60°时减小速率最慢。当飞行速度一定时,射流对靶板表面的切割长度和侵彻深度均随侵彻角度的增大而减小,且表面切割长度降幅随速度的增大呈先增大后减小的趋势,在速度为300 m/s时,降幅最大,为59.6%;而侵彻深度降幅随速度的增大呈先减小后增大的趋势,在速度为350 m/s时,降幅最小,为39.3%。最后通过理论方法分析了数值模拟结果,论证了数值模拟方法的正确性。Abstract: The processes of shaped warheads penetration of post-impact targets with reaction armor at different flight speeds (150, 200, 300, 400, 500 m/s) and in different penetration angles (30°, 45°, 60°) were simulated using the LS-DYNA program, and the interference of the jet and the result of its penetration into the target plate were discussed.The results show that when the penetration angle is a constant, the cutting length of the target surface increases with the increase of the velocity and the rate of the increase is the fastest at 30°, but the penetration depth decreases and the rate of the decrease is the slowest at 60°.When the flight speed is a constant in the range of 150-500 m/s, both the cutting length of the target surface and the penetration depth decrease with the increase of the angle.The drop of the cutting length of the target surface tends to increase at first and then decrease with the increase of the velocity and the maximum decrease is 59.6% at 300 m/s, whereas the drop of the penetration depth tends to decrease at first and then increase with the increase of the velocity and the minimum decrease is 39.3% at 350 m/s.The theoretical analysis was carried out and the numerical simulation method was proved correct.
-
Material ρ/(g·cm-3) E/GPa AJ-C/MPa BJ-C/MPa μ C n m Copper 8.96 124 300 100 0.34 0.025 0.31 1.09 45 steel 7.83 200 792 510 0.34 0.014 0.26 1.09 ρ/(g·cm-3) AJWL/GPa BJWL/GPa D/(km·s-1) R1 R2 ω 1.787 581.4 6.801 8.39 4.1 1.0 0.35 pCJ/GPa G1/(μs·GPa-1) I/μs-1 λig, max/(m·s-1) λG2, max y z g ρ/(g·cm-3) G2/(μs·GPa-1) D/(km·s-1) λG1, max/(m·s-1) a b c d 27 310 4.4×1011 0.3 0 1.0 2.0 1.0 1.72 4.0×104 6.93 0.5 0 0.667 0.667 0.111 表 4 射流断裂时间
Table 4. Fracture time of each part of the jet
Velocity/(m·s-1) thead/μs tmid/μs α=30° α=45° α=60° α=30° α=45° α=60° 0 86 79 74 217 196 154 150 81 77 72 183 167 140 200 79 77 71 181 159 134 300 78 76 68 177 151 122 400 77 70 67 161 132 113 500 71 68 65 158 130 107 表 5 射流侵彻靶板的模拟结果
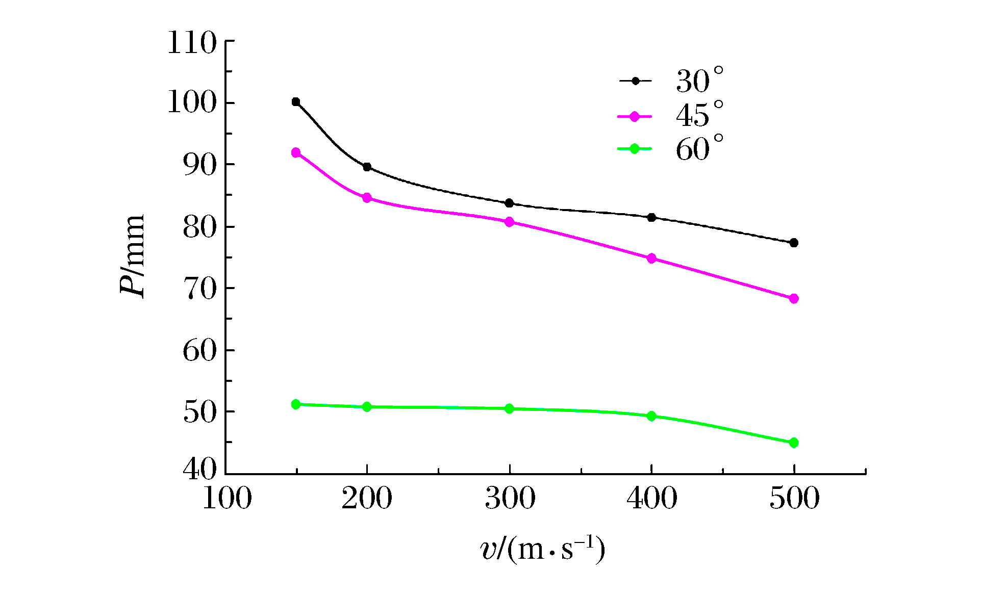
Table 5. Simulation results of jet penetrating target
Velocity/(m·s-1) L/mm P/mm α=30° α=45° α=60° α=30° α=45° α=60° 150 35.5 25.5 24.5 100.0 91.8 51.1 200 47.4 33.7 25.0 89.5 84.5 50.7 300 71.0 46.2 28.7 83.6 80.6 50.4 400 82.0 47.5 40.0 81.3 74.7 49.2 500 99.5 49.3 48.6 77.2 68.2 44.9 -
[1] HELD M. Transverse shaped charges[C]//8th International Symposium on Ballistics. Orlando, Florida, 1984: 39-47. [2] YADAV H S, KAMAT P V.Effect of moving plate on jet penetration[J]. Propellants, Explosives, Pyrotechnics, 2010, 14(1):12-18. [3] 荣芳, 戴斌. 掠飞攻顶"涂抹效应"试验研究[C]//中国兵工学会火箭导弹分会第七次学术年会. 北京: 中国兵工学会火箭导弹分会, 1998: 659-666. [4] 孙立志, 李治源, 吕庆敖.横向运动板干扰聚能射流的数值模拟[J].军械工程学院学报, 2011, 23(4):26-29. http://d.old.wanfangdata.com.cn/Periodical/jxgcxyxb201104007SUN L Z, LI Z Y, LV Q A.Numerical simulation of shaped charge jet being disturbed by transversely moving plate[J]. Journal of Ordnance Engineering College, 2011, 23(4):26-29. http://d.old.wanfangdata.com.cn/Periodical/jxgcxyxb201104007 [5] 刘宏伟, 赵国志, 张伟, 等.射流侵彻运动薄板扩孔规律研究[J].兵器材料科学与工程, 2007, 30(5):29-32. http://www.wanfangdata.com.cn/details/detail.do?_type=perio&id=bqclkxygc200705008LIU H W, ZHAO G Z, ZHANG W, et al.Study on the crating model of the shaped charge jet impacting moving thin plate[J]. Ordnance Material Science and Engineering, 2007, 30(5):29-32. http://www.wanfangdata.com.cn/details/detail.do?_type=perio&id=bqclkxygc200705008 [6] 毛东方, 李向东, 宋柳丽.V型夹层炸药对射流干扰的数值模拟[J].爆炸与冲击, 2008, 28(1):86-91. doi: 10.11883/1001-1455(2008)01-0086-06MAO D F, LI X D, SONG L L.Numerical simulation of disturbance by sandwich explosive on jet[J]. Explosion and Shock Waves, 2008, 28(1):86-91. doi: 10.11883/1001-1455(2008)01-0086-06 [7] 刘宏伟, 夏松林, 赵靖.V形反应装甲与射流作用过程分析[J].兵器材料科学与工程, 2011(4):20-22. http://d.old.wanfangdata.com.cn/Periodical/bqclkxygc201104006LIU H W, XIA S L, ZHAO J.Interaction process between jet and V-shaped double ERA[J]. Ordnance Material Science and Engineering, 2011(4):20-22. http://d.old.wanfangdata.com.cn/Periodical/bqclkxygc201104006 [8] 李如江, 沈兆武.NATO角和飞板速度对平板装药干扰射流频率的影响[J].含能材料, 2008, 16(3):295-297. http://www.oalib.com/paper/4862620LI R J, SHEN Z W.Effect of NATO angle and plate velocity on disturbance frequency of reactive armor against shaped charge jet[J]. Chinese Journal of Energetic Materials, 2008, 16(3):295-297. http://www.oalib.com/paper/4862620 [9] 顾红军, 刘宏伟.聚能射流及防护[M].北京:国防工业出版社, 2009. -

下载: