Quantum Calculation for Equation of State of Compressed Solid Argon
-
摘要: 基于第一性原理,运用ab initio超分子单、双(三)重激发耦合簇理论(CCSD(T))和aug-cc-pVQZ基矢,精确计算了fcc晶体固氩在最近邻原子间距R=0.20~0.39 nm时的两体、三体和四体结合能,零点振动能及物态方程。结果表明:固氩的多体势对结合能的贡献在高压区域是一正负交叉级数;零点振动能占多体相互总能的比例较小,但不可忽略;在高压区域,只考虑两体势时对固氩的压缩特性表现过硬,加入三体势后与实验结果在60 GPa内完全吻合,考虑到四体势后对整个实验区间0~114 GPa内做出令人满意的描述,且在压强达到114 GPa时与实验值相差约3 GPa,吻合程度达到97%。最后,通过与密度泛函理论的局域密度近似和广义梯度近似方法比较发现,泛函理论(DFT)只有在50~114 GPa范围内与实验值符合较好,不如本研究所采用方法适用的压强范围宽。
-
关键词:
- 固氩 /
- 超分子单、双(三)重激发耦合簇理论 /
- 多体结合能 /
- 零点振动能 /
- 物态方程
Abstract: Based on the first-principles and using the double cluster with full single and double excitations plus perturbative treatment of triples (CCSD(T)) and the aug-cc-pVQZ basis set, many-body contributions to the cohesive energy, the zero-point vibration energy and the equation of state of solid argon were accurately calculated with the atomic distance R from 0.20 nm to 0.39 nm under high pressure.The results show that the contribution of the many-body interaction to the cohesive energy is an exchange convergent series, and the proportion of the zero-point vibration energy in the total energy is small but by no means negligible.Under high pressure, the compression characteristics of solid argon is over-hardened when only the two-body interaction is considered.By introducing the three-body interaction, the maximum pressure under which our calculations make a satisfactory description of the experiment data can reach 60 GPa.Further, when the four-body interaction is taken into account, the application scope will be expanded to 0-114 GPa.At 114 GPa, the difference between our calculation and that of the experiment is only about 3 GPa, and the relative error is merely 3%.Besides, this work has a broader application scope than the density functional theory, which at present shows a good agreement with the experimental result only in the pressure range of 50-114 GPa.-
Key words:
- solid argon /
- CCSD(T) /
- many-body cohesive energy /
- zero-point vibration energy /
- equation of state
-
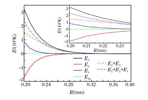
表 1 fcc晶格中固氩各多体分量对结合能的贡献
Table 1. Many-body contributions to the conhesive energy of fcc solid Ar
R/(nm) V/(cm3/mol) E2e/(K) E2c/(K) E3e/(K) E3c/(K) E4e/(K) E4c/(K) E2/E E3/E E4/E 0.200 0 3.407 376 553.6 -53 305.8 -198 060.1 23 125.6 98 828.2 -13 325.9 1.382 -0.748 0.366 0 0.210 0 3.944 270 828.5 -42 917.4 -117 420.2 17 378.3 49 168.1 -8 617.3 1.353 -0.594 0.241 0 0.220 0 4.534 194 134.1 -34 704.0 -70 016.1 12 928.1 24 412.6 -5 588.0 1.316 -0.471 0.155 0 0.230 0 5.181 138 738.7 -28 172.5 -41 957.8 9 534.8 12 085.7 -3 621.5 1.277 -0.374 0.098 0 0.240 0 5.887 98 878.5 -22 950.0 -25 254.4 6 976.8 5 960.3 -2 340.3 1.239 -0.298 0.059 0 0.250 0 6.653 70 291.2 -18 753.5 -15 260.0 5 067.8 2 925.7 -1 506.5 1.205 -0.238 0.033 0 0.260 0 7.484 49 848.1 -15 366.2 -9 250.1 3 657.1 1 427.4 -967.1 1.175 -0.191 0.016 0 0.270 0 8.381 35 267.3 -12 620.6 -5 618.0 2 624.4 689.5 -621.8 1.148 -0.152 0.003 4 0.280 0 9.348 24 893.7 -10 387.0 -3 412.8 1 873.9 326.5 -403.7 1.125 -0.119 -0.006 0 0.290 0 10.385 17 531.3 -8 564.3 -2 069.5 1 331.8 147.9 -268.2 1.106 -0.091 -0.014 8 0.300 0 11.497 12 318.6 -7 073.6 -1 250.1 941.7 60.4 -185.2 1.090 -0.064 -0.025 9 0.310 0 12.686 8 636.7 -5 852.4 -750.5 662.0 17.8 -134.8 1.080 -0.034 -0.045 4 0.320 0 13.953 6 042.1 -4 851.0 -446.9 462.2 -2.5 -104.1 1.083 0.014 -0.096 9 0.330 0 15.303 4 217.9 -4 029.3 -263.3 320.2 -11.4 -84.7 1.262 0.381 -0.643 2 0.350 0 18.257 2 041.5 -2 800.4 -87.2 150.4 -15.0 -61.4 0.983 -0.082 0.098 9 0.360 0 19.867 1 414.6 -2 344.4 -48.3 102.7 -13.9 -53.0 0.987 -0.058 0.071 0 0.375 6 22.563 792.5 -1 788.0 -17.5 58.0 -10.9 -41.9 0.988 -0.040 0.052 4 0.390 0 25.259 459.5 -1 402.3 -5.2 36.3 -8.2 -41.4 0.990 -0.033 0.043 5 表 2 室温下固氩的物态方程的具体计算数据
Table 2. Calculation data of equation of state for fcc solid Ar at room temperature
R/(nm) V/(cm3/mol) pzp/(GPa) pth/(GPa) p2T/(GPa) p23/(GPa) p234/(GPa) p2/(GPa) p3/(GPa) p4/(GPa) 0.240 5.887 1.58 0.37 329.05 210.49 248.95 327.10 -118.56 38.46 0.245 6.262 1.44 0.39 265.06 178.76 204.44 263.23 -86.31 25.68 0.250 6.653 1.31 0.42 213.36 150.52 167.59 211.64 -62.85 17.08 0.255 7.061 1.19 0.44 171.59 125.83 137.12 169.96 -45.76 11.29 0.260 7.484 1.08 0.47 137.86 104.56 111.96 136.31 -33.30 7.41 0.265 7.924 0.99 0.49 110.63 86.43 91.23 109.16 -24.21 4.81 0.270 8.381 0.90 0.51 88.68 71.11 74.18 87.27 -17.57 3.07 0.275 8.856 0.82 0.53 70.99 58.27 60.20 69.64 -12.71 1.92 0.280 9.348 0.74 0.56 56.76 47.59 48.75 55.46 -9.17 1.17 0.285 9.857 0.68 0.58 45.32 38.74 39.41 44.07 -6.58 0.67 0.290 10.385 0.61 0.61 36.14 31.44 31.80 34.93 -4.69 0.36 0.295 10.932 0.56 0.61 28.78 25.46 25.62 27.61 -3.32 0.15 0.300 11.497 0.51 0.63 22.89 20.57 20.60 21.75 -2.32 0.03 0.305 12.082 0.46 0.65 18.19 16.59 16.55 17.08 -1.60 -0.04 0.310 12.686 0.42 0.67 14.43 13.36 13.28 13.35 -1.08 -0.08 0.315 13.309 0.38 0.68 11.44 10.74 10.64 10.38 -0.70 -0.10 0.320 13.953 0.34 0.70 9.06 8.63 8.52 8.03 -0.44 -0.10 0.325 14.618 0.31 0.71 7.18 6.93 6.83 6.16 -0.25 -0.10 0.330 15.303 0.28 0.72 5.68 5.56 5.47 4.68 -0.12 -0.10 0.335 16.009 0.25 0.73 4.50 4.47 4.38 3.52 -0.03 -0.09 0.340 16.737 0.23 0.74 3.57 3.60 3.52 2.60 0.03 -0.08 0.345 17.486 0.21 0.75 2.84 2.91 2.84 1.88 0.07 -0.07 0.350 18.257 0.18 0.76 2.27 2.36 2.30 1.32 0.09 -0.06 0.355 19.051 0.17 0.77 1.83 1.93 1.88 0.89 0.10 -0.05 0.360 19.867 0.15 0.78 1.48 1.59 1.54 0.56 0.11 -0.05 0.365 20.707 0.13 0.78 1.22 1.33 1.29 0.30 0.11 -0.04 0.370 21.569 0.12 0.79 1.02 1.12 1.09 0.11 0.10 -0.03 0.375 22.456 0.11 0.80 0.87 0.96 0.93 -0.03 0.10 -0.03 0.380 23.366 0.09 0.80 0.75 0.84 0.82 -0.14 0.09 -0.02 0.385 24.300 0.08 0.80 0.67 0.75 0.73 -0.21 0.08 -0.02 0.390 25.259 0.07 0.81 0.61 0.69 0.67 -0.27 0.08 -0.02 -
[1] PECHENIK E, KELSON I, MAKOV G.Many-body model of rare gases at high pressures[J]. Phys Rev B, 2008, 78(13):134109. doi: 10.1103/PhysRevB.78.134109 [2] SCHWERDTFEGER P, HERMANN A.Equation of state for solid neon from quantum theory[J]. Phys Rev B, 2009, 80(6):064106. doi: 10.1103/PhysRevB.80.064106 [3] MAO H K, XU J A, BELL P M.Calibration of the ruby pressure gauge to 800 kbar under quasi-hydrostatic conditions[J]. J Geophys Res, 1986, 91(B5):4673-4676. doi: 10.1029/JB091iB05p04673 [4] 孟川民, 姬广富, 黄海军.固氩高压物态方程和弹性性质的密度泛函理论计算[J].高压物理学报, 2005, 19(4):353-356. doi: 10.3969/j.issn.1000-5773.2005.04.012MENG C M, JI G F, HUANG H J.Density-functional calculation of the EOS and adiabatic elastic properties for solid argon[J]. Chinese Journal of High Pressure Physics, 2005, 19(4):353-356. doi: 10.3969/j.issn.1000-5773.2005.04.012 [5] 孟川民, 姬广富, 杨向东.固态氩弹性性质的量子力学从头计算[J].原子与分子物理学报, 2005, 22(2):234-237. doi: 10.3969/j.issn.1000-0364.2005.02.011MENG C M, JI G F, YANG X D.First principles calculation of elastic properties of solid argon at high pressures[J]. Journal of Atomic and Molecular Physics, 2005, 22(2):234-237. doi: 10.3969/j.issn.1000-0364.2005.02.011 [6] 辛冰.百吉帕压力下固态氢的状态方程[J].高压物理学报, 1992, 6(4):254-263. http://www.gywlxb.cn/CN/abstract/abstract1116.shtmlXIN B.Equation of state of solid argon under high-pressure up to 100 GPa[J]. Chinese Journal of High Pressure Physics, 1992, 6(4):254-263. http://www.gywlxb.cn/CN/abstract/abstract1116.shtml [7] ERRANDONEA D, BOEHLER R, JAPEL S, et al.Structural transformation of compressed solid Ar:an X-ray diffraction study to 114 GPa[J]. Phys Rev B, 2006, 73(9):092106. doi: 10.1103/PhysRevB.73.092106 [8] AZIZ R A, SLAMAN M J.The argon and krypton interatomic potentials revisited[J]. Mol Phys, 1986, 58(4):679-697. doi: 10.1080/00268978600101501 [9] AZIZ R A, SLAMAN M J.The repulsive wall of the Ar-Ar interatomic potential reexamined[J]. J Chem Phys, 1990, 92(2):1030-1035. doi: 10.1063/1.458165 [10] AZIZ R A.A highly accurate interatomic potential for argon[J]. J Chem Phys, 1993, 99(6):4518-4525. doi: 10.1063/1.466051 [11] CYBULSKI S M, TOCZYLOWSKI R R.Ground state potential energy curves for He2, Ne2, Ar2, He-Ne, He-Ar, and Ne-Ar:a coupled-cluster study[J]. J Chem Phys, 1999, 111(23):10520-10528. doi: 10.1063/1.480430 [12] SLAVICEK P, KALUS R, PASKA P, et al.State-of-the-art correlated ab initio potential energy curves for heavy rare gas dimers:Ar2, Kr2, and Xe2[J]. J Chem Phys, 2003, 119(4):2102-2119. doi: 10.1063/1.1582838 [13] ROSS M.Shock compression and the melting curve for argon[J]. Phys Rev A, 1973, 8(3):1466. doi: 10.1103/PhysRevA.8.1466 [14] 李继弘, 郑兴荣, 彭昌宁.多体相互作用对固氩物态方程的影响[J].四川大学学报, 2016, 53(1):131-137. http://d.old.wanfangdata.com.cn/Periodical/scdxxb201601022LI J H, ZHENG X R, PENG C N.Effect of many-body interactions on the equation of state for solid argon[J]. Journal of Sichuan University, 2016, 53(1):131-137. http://d.old.wanfangdata.com.cn/Periodical/scdxxb201601022 [15] FREIMAN Y A, TRETYAK S M.Many-body interactions and high-pressure equations of state in rare-gas solids[J]. Low Temp Phys, 2007, 33(6):545-552. doi: 10.1063/1.2746249 [16] LOUBEYRE P.Three-body-exchange interaction in dense rare gases[J]. Phys Rev B, 1988, 37(10):5432. doi: 10.1103/PhysRevB.37.5432 [17] 郑兴荣, 付云, 付文羽, 等.基于原子晶体构型的高压固氩中的多体相互作用[J].原子与分子物理学报, 2015, 32(5):896-902. http://d.old.wanfangdata.com.cn/Periodical/yzyfzwlxb201505030ZHENG X R, FU Y, FU W Y, et al.Many-body interaction of highly compressed solid argon based on atomic crystal configuration[J]. Journal of Atomic and Molecular Physics, 2015, 32(5):896-902. http://d.old.wanfangdata.com.cn/Periodical/yzyfzwlxb201505030 [18] 田春玲, 刘福生, 蔡灵仓等.四体相互作用对固氦压缩特性的贡献[J].物理学报, 2003, 52(5):1218-1221. doi: 10.3321/j.issn:1000-3290.2003.05.034TIAN C L, LIU F S, CAI L C, et al.Contributions of four-body interactions to compressibility of solid helium[J]. Acta Phsica Sinica, 2003, 52(5):1218-1221. doi: 10.3321/j.issn:1000-3290.2003.05.034 [19] Gordon Group.Gamess homepage[EB/OL].[2016-12-19]. http://www.msg.ameslab.gov/gamess. [20] TANGE Y, NISHIHARA Y, TSUCHIYA T.Unified analyses for P-V-T equation of state of MgO:a solution for pressure-scale problems in high P-T experiments[J]. J Geophys Res, 2009, 114(B3):B03208. http://adsabs.harvard.edu/abs/2009JGRB..114.3208T [21] JEPHCOAT A P.Rare-gas solids in the Earth's deep interior[J]. Nature, 1998, 393(6683):355-358. doi: 10.1038/30712 [22] TIAN C L, LIU F S, JING F Q, et al.Five- and six-body effects on equation of state of solid 4He[J]. J Phys Condens Mat, 2006, 18(34):8103. doi: 10.1088/0953-8984/18/34/019 [23] ROSS M, MAO H K, BELL P M, et al.The equation of state of dense argon:a comparison of shock and static studies[J]. J Chem Phys, 1986, 85(2):1028-1033. doi: 10.1063/1.451346 -

下载: