Shock-Induced Desulfurization of Natural Pyrite and Its Implications for the Early Earth’s Environment
-
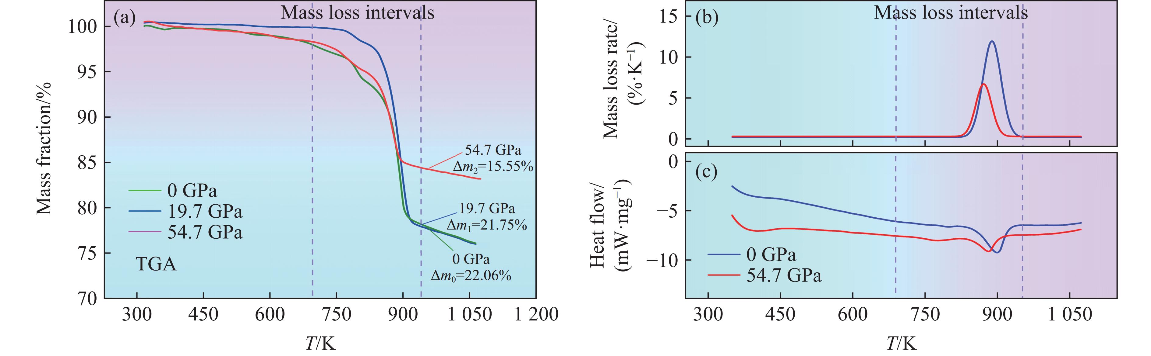
摘要: 陨石撞击事件被认为是早期地球大气成分变化的重要驱动因素之一,对生物演化产生了深远影响。含硫矿物在这类自然撞击事件中的物理化学行为对于理解硫元素在地球海洋-大气系统演化中的作用至关重要。为此,通过天然含硫矿物黄铁矿(FeS2)在约20和55 GPa冲击压力下的回收实验探究其在高速撞击条件下的分解特性。实验结果表明,在约55 GPa的冲击压力下,黄铁矿部分分解为磁黄铁矿和单质硫,揭示了黄铁矿在陨石撞击相关环境下具有热力学不稳定性,并伴随着硫的释放。这一脱硫反应可能为含硫气体注入海洋和大气系统提供了新的路径,由此引发的环境变化可能与约2.5亿年前二叠纪末期的生物灭绝事件存在关联,为理解该时期的生物危机提供了重要线索。Abstract: Meteorite impact events are considered as important influences on the composition of Earth’s early atmosphere, with substantial implications for biological evolution. The physicochemical behavior of sulfur-bearing minerals during such natural impact events is crucial for understanding the role of sulfur in the evolution of Earth’s ocean-atmosphere system. Here, we conducted shock recovery experiments on natural pyrite (FeS2) under shock pressures of approximately 20 and 55 GPa to investigate its decomposition characteristics under high-velocity impact. The experimental results indicate that pyrite undergoes partially decomposition into pyrrhotite and sulfur at the shock pressure of about 55 GPa, revealing its thermodynamic instability and the release of sulfur vapor. Our results suggest that the desulfurization of pyrite during meteorite impacts may contribute to the release of sulfur gases into oceanic and atmospheric systems. Such environmental changes may be linked to the Permian-Triassic mass extinction event approximately 250 million years ago, providing important insights into the biological crises of that era.
-
Key words:
- pyrite /
- shock recovery /
- sulfur degassing /
- ocean-atmosphere /
- bio-extinction
-
表 1 天然黄铁矿样品的化学成分
Table 1. Chemical composition of natural pyrite sample
No. Mass fraction/% FeS2 Others 1 98.63 1.37 2 98.52 1.48 3 98.35 1.65 Average 98.50 1.50 表 3 冲击回收实验条件
Table 3. Conditions for shock recovery experiments
Shot No. Flyer Sample container w/(km·s−1) ρ0/(g·cm−3) p1/GPa p/GPa S1 Ta Cu 0.793(4) 4.989 16.3 19.7(3) S2 Cu Cu 2.197(11) 5.010 45.3 54.7(9) -
[1] GRIEVE R A F. The record of impact on Earth: implications for a major Cretaceous/Tertiary impact event [M]//SILVER L T, SCHULTZ P H. Geological Implications of Impacts of Large Asteroids and Comets on the Earth. Boulder: Geological Society of America, 1982: 25−38. [2] RAUP D M. Biological extinction in earth history [J]. Science, 1986, 231(4745): 1528–1533. doi: 10.1126/science.11542058 [3] JUNIUM C K, ZERKLE A L, WITTS J D, et al. Massive perturbations to atmospheric sulfur in the aftermath of the Chicxulub impact [J]. Proceedings of the National Academy of Sciences of the United States of America, 2022, 119(14): e2119194119. doi: 10.1073/pnas.2119194119 [4] SCHMIEDER M, KRING D A. Earth’s impact events through geologic time: a list of recommended ages for terrestrial impact structures and deposits [J]. Astrobiology, 2020, 20(1): 91–141. doi: 10.1089/ast.2019.2085 [5] GAY N C. Spherules on shatter cone surfaces from the vredefort structure, South Africa [J]. Science, 1976, 194(4266): 724–725. doi: 10.1126/science.194.4266.724 [6] ALLEN N H, NAKAJIMA M, WÜNNEMANN K, et al. A revision of the formation conditions of the vredefort crater [J]. Journal of Geophysical Research: Planets, 2022, 127(8): e2022JE007186. doi: 10.1029/2022JE007186 [7] ALVAREZ W, CLAEYS P, KIEFFER S W. Emplacement of cretaceous-tertiary boundary shocked quartz from Chicxulub crater [J]. Science, 1995, 269(5226): 930–935. doi: 10.1126/science.269.5226.930 [8] SCHULTE P, ALEGRET L, ARENILLAS I, et al. The Chicxulub asteroid impact and mass extinction at the cretaceous-paleogene boundary [J]. Science, 2010, 327(5970): 1214–1218. doi: 10.1126/science.1177265 [9] POPE K O, BAINES K H, OCAMPO A C, et al. Energy, volatile production, and climatic effects of the Chicxulub Cretaceous/Tertiary impact [J]. Journal of Geophysical Research: Planets, 1997, 102(E9): 21645–21664. doi: 10.1029/97JE01743 [10] KAWARAGI K, SEKINE Y, KADONO T, et al. Direct measurements of chemical composition of shock-induced gases from calcite: an intense global warming after the Chicxulub impact due to the indirect greenhouse effect of carbon monoxide [J]. Earth and Planetary Science Letters, 2009, 282(1/2/3/4): 56–64. doi: 10.1016/j.jpgl.2009.02.037 [11] VON GEHLEN K. Sulfur in the Earth’s mantle—a review [M]//SCHIDLOWSKI M, GOLUBIC S, KIMBERLEY M M, et al. Early Organic Evolution. Berlin: Springer, 1992: 359−366. [12] WALTERS J B, CRUZ-URIBE A M, MARSCHALL H R. Sulfur loss from subducted altered oceanic crust and implications for mantle oxidation [J]. Geochemical Perspectives Letters, 2020, 13: 36–41. doi: 10.7185/geochemlet.2011 [13] CHOWDHURY P, DASGUPTA R. Sulfur extraction via carbonated melts from sulfide-bearing mantle lithologies-implications for deep sulfur cycle and mantle redox [J]. Geochimica et Cosmochimica Acta, 2020, 269: 376–397. doi: 10.1016/j.gca.2019.11.002 [14] PIERAZZO E, HAHMANN A N, SLOAN L C. Chicxulub and climate: radiative perturbations of impact-produced S-bearing gases [J]. Astrobiology, 2003, 3(1): 99–118. doi: 10.1089/153110703321632453 [15] MORGAN J V, BRALOWER T J, BRUGGER J, et al. The Chicxulub impact and its environmental consequences [J]. Nature Reviews Earth & Environment, 2022, 3(5): 338–354. doi: 10.1038/s43017-022-00283-y [16] KAIHO K, KAJIWARA Y, NAKANO T, et al. End-Permian catastrophe by a bolide impact: evidence of a gigantic release of sulfur from the mantle [J]. Geology, 2001, 29(9): 815–818. doi: 10.1130/0091-7613(2001)029<0815:EPCBAB>2.0.CO;2 [17] BRENNECKA G A, HERRMANN A D, ALGEO T J, et al. Rapid expansion of oceanic anoxia immediately before the end-Permian mass extinction [J]. Proceedings of the National Academy of Sciences of the United States of America, 2011, 108(43): 17631–17634. doi: 10.1073/pnas.1106039108 [18] ZHANG H, ZHANG F F, CHEN J B, et al. Felsic volcanism as a factor driving the end-Permian mass extinction [J]. Science Advances, 2021, 7(47): eabh1390. doi: 10.1126/sciadv.abh1390 [19] BECKER L, POREDA R J, BASU A R, et al. Bedout: a possible end-Permian impact crater offshore of Northwestern Australia [J]. Science, 2004, 304(5676): 1469–1476. doi: 10.1126/science.1093925 [20] JIANG Y F, TANG Y G, CHOU C L. Research on genesis of pyrite near the Permian-Triassic boundary in Meishan, Zhejiang, China [J]. Journal of China University of Mining and Technology, 2006, 16(4): 457–460. doi: 10.1016/S1006-1266(07)60047-9 [21] SALISBURY J, GRÖCKE D R, CHEUNG H D R A, et al. An 80-million-year sulphur isotope record of pyrite burial over the Permian-Triassic [J]. Scientific Reports, 2022, 12(1): 17370. doi: 10.1038/s41598-022-21542-4 [22] SHEN W J, LIN Y T, XU L, et al. Pyrite framboids in the Permian-Triassic boundary section at Meishan, China: evidence for dysoxic deposition [J]. Palaeogeography, Palaeoclimatology, Palaeoecology, 2007, 253(3/4): 323–331. doi: 10.1016/j.palaeo.2007.06.005 [23] AHMED M A, ELLID M S, AMAMI S, et al. Mössbauer study of the thermal decomposition of pyrite in one Egyptian coal heated in hydrogen atmosphere at different temperatures (438 K–715 K) [J]. Arabian Journal for Science and Engineering, 2006, 31(2A): 159–165. [24] HU G L, DAM-JOHANSEN K, WEDEL S, et al. Decomposition and oxidation of pyrite [J]. Progress in Energy and Combustion Science, 2006, 32(3): 295–314. doi: 10.1016/j.pecs.2005.11.004 [25] XU H W, GUO X F, SEAMAN L A, et al. Thermal desulfurization of pyrite: an in situ high-T neutron diffraction and DTA-TGA study [J]. Journal of Materials Research, 2019, 34(19): 3243–3253. doi: 10.1557/jmr.2019.185 [26] SHARP W E. Melting curves of sphalerite, galena, and pyrrhotite and the decomposition curve of pyrite between 30 and 65 kilobars [J]. Journal of Geophysical Research, 1969, 74(6): 1645–1652. doi: 10.1029/JB074i006p01645 [27] ZHMODIK S M, VERKHOVTSEVA N V, CHIKOV B M, et al. Experimental study of gold redistribution in a shock-metamorphosed pyrite-quartz mixture with the use of the 195Au radionuclide [J]. Geochemistry International, 2004, 42(12): 1139–1153. [28] MOROSIN B, GRAHAM R A, POLLACK S S. X-ray diffraction line broadening in shock modified pyrite [M]//SCHMIDT S C, DICK R D, FORBES J W, et al. Shock Compression of Condensed Matter–1991. Amsterdam: North-Holland, 1992: 613−616. [29] POLLACK S S, MARTELLO D V, GRAHAM R A, et al. Reactivity of pyrites and dislocation density [M]//International Energy Agency Coal Research Ltd. 1991 International Conference on Coal Science Proceedings. Butterworth-Heinemann, 1991: 885−888. [30] SCLAR C B, USSELMAN T M. Experimentally induced shock effects in some rock-forming minerals [J]. Meteoritics, 1970, 5: 222–223. [31] AHRENS T J. Equations of state of iron sulfide and constraints on the sulfur content of the Earth [J]. Journal of Geophysical Research: Solid Earth, 1979, 84(B3): 985–998. doi: 10.1029/JB084iB03p00985 [32] AHRENS T J, JEANLOZ R. Pyrite: shock compression, isentropic release, and composition of the Earth’s core [J]. Journal of Geophysical Research: Solid Earth, 1987, 92(B10): 10363–10375. doi: 10.1029/JB092iB10p10363 [33] ANDERSON W W, AHRENS T J. Shock temperature and melting in iron sulfides at core pressures [J]. Journal of Geophysical Research: Solid Earth, 1996, 101(B3): 5627–5642. doi: 10.1029/95JB01972 [34] LANGENHORST F, BOUSTIE M, DEUTSCH A, et al. Experimental techniques for the simulation of shock metamorphism: a case study on calcite [M]//DAVISON L, HORIE Y, SEKINE T. High-Pressure Shock Compression of Solids V. New York: Springer, 2003: 1−27. [35] MARTINEZ I, DEUTSCH A, SCHÄRER U, et al. Shock recovery experiments on dolomite and thermodynamical calculations of impact induced decarbonation [J]. Journal of Geophysical Research: Solid Earth, 1995, 100(B8): 15465–15476. doi: 10.1029/95JB01151 [36] MANSFELD U, LANGENHORST F, EBERT M, et al. Microscopic evidence of stishovite generated in low-pressure shock experiments on porous sandstone: constraints on its genesis [J]. Meteoritics & Planetary Science, 2017, 52(7): 1449–1464. doi: 10.1111/maps.12867 [37] ZHANG F P, SEKINE T. Impact-shock behavior of Mg- and Ca-sulfates and their hydrates [J]. Geochimica et Cosmochimica Acta, 2007, 71(16): 4125–4133. doi: 10.1016/j.gca.2007.06.037 [38] KUROSAWA K, MORIWAKI R, KOMATSU G, et al. Shock vaporization/devolatilization of evaporitic minerals, halite and gypsum, in an open system investigated by a two-stage light gas gun [J]. Geophysical Research Letters, 2019, 46(13): 7258–7267. doi: 10.1029/2019GL083249 [39] PRESCHER C, LANGENHORST F, HORNEMANN U, et al. Shock experiments on anhydrite and new constraints on the impact-induced SO x release at the K-Pg boundary [J]. Meteoritics & Planetary Science, 2011, 46(11): 1619–1629. doi: 10.1111/j.1945-5100.2011.01249.x [40] GRIEVE R A F, LANGENHORST F, STÖFFLER D. Shock metamorphism of quartz in nature and experiment: Ⅱ. significance in geoscience [J]. Meteoritics & Planetary Science, 1996, 31(1): 6–35. doi: 10.1111/j.1945-5100.1996.tb02049.x [41] THOMPSON E C, CHIDESTER B A, FISCHER R A, et al. Equation of state of pyrite to 80 GPa and 2400 K [J]. American Mineralogist, 2016, 101(5): 1046–1051. doi: 10.2138/am-2016-5527 [42] ZHANG Y J, SEKINE T, LIN J F, et al. Shock compression and melting of an Fe-Ni-Si alloy: implications for the temperature profile of the Earth’s core and the heat flux across the core-mantle boundary [J]. Journal of Geophysical Research: Solid Earth, 2018, 123(2): 1314–1327. doi: 10.1002/2017JB014723 [43] KRAUS R G, DAVIS J P, SEAGLE C T, et al. Dynamic compression of copper to over 450 GPa: a high-pressure standard [J]. Physical Review B, 2016, 93(13): 134105. doi: 10.1103/PhysRevB.93.134105 [44] DAI C D, HU J B, TAN H. Hugoniot temperatures and melting of tantalum under shock compression determined by optical pyrometry [J]. Journal of Applied Physics, 2009, 106(4): 043519. doi: 10.1063/1.3204941 [45] MITCHELL A C, NELLIS W J. Shock compression of aluminum, copper, and tantalum [J]. Journal of Applied Physics, 1981, 52(5): 3363–3374. doi: 10.1063/1.329160 [46] SEILER F, IGRA O. Hypervelocity launchers [M]. Cham: Springer, 2016. [47] WANG H P, SALVESON I. A review on the mineral chemistry of the non-stoichiometric iron sulphide, Fe1− xS (0≤x≤0.125): polymorphs, phase relations and transitions, electronic and magnetic structures [J]. Phase Transitions, 2005, 78(7/8): 547–567. doi: 10.1080/01411590500185542 [48] GAN B, ZHANG Y J, HUANG Y Q, et al. Partial deoxygenation and dehydration of ferric oxyhydroxide in Earth’s subducting slabs [J]. Geophysical Research Letters, 2021, 48(17): e2021GL094446. doi: 10.1029/2021GL094446 [49] MANG C, KONTNY A, FRITZ J, et al. Shock experiments up to 30 GPa and their consequences on microstructures and magnetic properties in pyrrhotite [J]. Geochemistry, Geophysics, Geosystems, 2013, 14(1): 64–85. doi: 10.1029/2012GC004242 [50] LEROUX H, REIMOLD W U, KOEBERL C, et al. Experimental shock deformation in zircon: a transmission electron microscopic study [J]. Earth and Planetary Science Letters, 1999, 169(3/4): 291–301. doi: 10.1016/S0012-821X(99)00082-5 [51] RAO M N, NYQUIST L E, ASIMOW P D, et al. Shock experiments on basalt-ferric sulfate mixes and their possible relevance to the sulfide bleb clusters in large impact melts in shergottites [J]. Meteoritics & Planetary Science, 2021, 56(12): 2250–2264. doi: 10.1111/maps.13770 [52] RAO M N, NYQUIST L E, ROSS D K, et al. Signatures of the Martian regolith components entrained in some impact-melt glasses in shergottites [J]. Meteoritics & Planetary Science, 2018, 53(12): 2558–2582. doi: 10.1111/maps.13177 [53] DENG J S, WEN S M, CHEN X M, et al. Dynamic simulation of the thermal decomposition of pyrite under vacuum [J]. Metallurgical and Materials Transactions A, 2014, 45(5): 2445–2452. doi: 10.1007/s11661-014-2206-4 [54] LANGE M A, LAMBERT P, AHRENS T J. Shock effects on hydrous minerals and implications for carbonaceous meteorites [J]. Geochimica et Cosmochimica Acta, 1985, 49(8): 1715–1726. doi: 10.1016/0016-7037(85)90142-5 [55] MEYERS M A, ANDRADE U R, CHOKSHI A H. The effect of grain size on the high-strain, high-strain-rate behavior of copper [J]. Metallurgical and Materials Transactions A, 1995, 26(11): 2881–2893. doi: 10.1007/BF02669646 [56] SCHMITT R T. Shock experiments with the H6 chondrite Kernouvé: pressure calibration of microscopic shock effects [J]. Meteoritics & Planetary Science, 2000, 35(3): 545–560. doi: 10.1111/j.1945-5100.2000.tb01435.x [57] 苏林祥. 《实验物态方程导引》简介 [J]. 爆炸与冲击, 1987, 7(1): 84. doi: 10.11883/1001-1455(1987)01-0084-1SU L X. Introduction to the “equation of state for experimental states” [J]. Explosion and Shock Waves, 1987, 7(1): 84. doi: 10.11883/1001-1455(1987)01-0084-1 [58] GRAY Ⅲ G T. Shock recovery experiments: an assessment [C]//American Physical Society Topical Conference on Shock Compression of Condensed Matter. Albuquerque, 1989. [59] WILLIAMS C L, ZIMMERMAN K B. Structure-property relationships under extreme dynamic environments: shock recovery experiments [M]. Cham: Springer, 2019. [60] SEKINE T. Shock-induced chemistry [M]. Singapore: Springer, 2024. [61] RAIKES S A, AHRENS T J. Post-shock temperatures in minerals [J]. Geophysical Journal International, 1979, 58(3): 717–747. doi: 10.1111/j.1365-246X.1979.tb04804.x [62] GRAY Ⅲ G T, FOLLANSBEE P S, FRANTZ C E. Effect of residual strain on the substructure development and mechanical response of shock-loaded copper [J]. Materials Science and Engineering: A, 1989, 111: 9–16. doi: 10.1016/0921-5093(89)90192-5 [63] GRAY Ⅲ G T. Influence of shock-wave deformation on the structure/property behavior of materials [M]//ASAY J R, SHAHINPOOR M. High-Pressure Shock Compression of Solids. New York: Springer, 1993: 187−215. [64] HU J P, ASIMOW P D, MA C, et al. First synthesis of a unique icosahedral phase from the Khatyrka meteorite by shock-recovery experiment [J]. IUCrJ, 2020, 7(3): 434–444. doi: 10.1107/S2052252520002729 [65] BECKER L, POREDA R J, HUNT A G, et al. Impact event at the Permian-Triassic boundary: evidence from extraterrestrial noble gases in fullerenes [J]. Science, 2001, 291(5508): 1530–1533. doi: 10.1126/science.1057243 [66] BELL M S. CO2 release due to impact devolatilization of carbonate: results of shock experiments [J]. Meteoritics & Planetary Science, 2016, 51(4): 619–646. doi: 10.1111/maps.12613 [67] FRITZ J, GRESHAKE A, FERNANDES V A. Revising the shock classification of meteorites [J]. Meteoritics & Planetary Science, 2017, 52(6): 1216–1232. doi: 10.1111/maps.12845 [68] STÖFFLER D, KEIL K, SCOTT E R D. Shock metamorphism of ordinary chondrites [J]. Geochimica et Cosmochimica Acta, 1991, 55(12): 3845–3867. doi: 10.1016/0016-7037(91)90078-J [69] RUBIN A E. Smyer H-chondrite impact-melt breccia and evidence for sulfur vaporization [J]. Geochimica et Cosmochimica Acta, 2002, 66(4): 699–711. doi: 10.1016/S0016-7037(01)00799-2 [70] BENNETT III M E, MCSWEEN H Y. Shock features in iron-nickel metal and troilite of L-group ordinary chondrites [J]. Meteoritics & Planetary Science, 1996, 31(2): 255–264. doi: 10.1111/j.1945-5100.1996.tb02021.x [71] DAI C D, JIN X G, FU S Q, et al. The equation-of-states of Jilin ordinary chondrite and Nandan iron meteorite [J]. Science in China Series D: Earth Sciences, 1997, 40(4): 403–410. doi: 10.1007/BF02877572 [72] STÖFFLER D, BISCHOFF A, BUCHWALD V, et al. Shock effects in meteorites [M]. Meteorites and the Early Solar System, 1988. [73] HU J P, SHARP T G. Formation, preservation and extinction of high-pressure minerals in meteorites: temperature effects in shock metamorphism and shock classification [J]. Progress in Earth and Planetary Science, 2022, 9(1): 6. doi: 10.1186/s40645-021-00463-2 [74] IVANOV B A. Mars/moon cratering rate ratio estimates [J]. Space Science Reviews, 2001, 96(1/2/3/4): 87–104. doi: 10.1023/A:1011941121102 [75] FARINELLA P, DAVIS D R. Collision rates and impact velocities in the main asteroid belt [J]. Icarus, 1992, 97(1): 111–123. doi: 10.1016/0019-1035(92)90060-K [76] SAITO T, KAIHO K, ABE A, et al. Hypervelocity impact of asteroid/comet on the oceanic crust of the Earth [J]. International Journal of Impact Engineering, 2008, 35(12): 1770–1777. doi: 10.1016/j.ijimpeng.2008.07.046 [77] SAITO T, KAIHO K, ABE A, et al. Numerical simulations of hypervelocity impact of asteroid/comet on the Earth [J]. International Journal of Impact Engineering, 2006, 33(1): 713−722. [78] LI M H, FRANK T D, XU Y L, et al. Sulfur isotopes link atmospheric sulfate aerosols from the Siberian Traps outgassing to the end-Permian extinction on land [J]. Earth and Planetary Science Letters, 2022, 592: 117634. doi: 10.1016/j.jpgl.2022.117634 [79] KAIHO K, KAJIWARA Y, CHEN Z Q, et al. A sulfur isotope event at the end of the Permian [J]. Chemical Geology, 2006, 235(1/2): 33–47. doi: 10.1016/j.chemgeo.2006.06.001 [80] ERWIN D H, BOWRING S A, YUGAN J. End-Permian mass extinctions: a review [M]//KOEBERL C, MACLEOD K G. Catastrophic Events and Mass Extinctions: Impacts and Beyond. Boulder: Geological Society of America, 2002. [81] RUBIN A E. Maskelynite in asteroidal, lunar and planetary basaltic meteorites: an indicator of shock pressure during impact ejection from their parent bodies [J]. Icarus, 2015, 257: 221–229. doi: 10.1016/j.icarus.2015.05.010 [82] GENG S J, ZHOU B H, LI M T. On the capture of small stony asteroids into the Earth’s orbit by atmospheric grazing [J]. Monthly Notices of the Royal Astronomical Society, 2021, 507(3): 4661–4668. doi: 10.1093/mnras/stab2439 [83] MAHOWALD N, WARD D S, KLOSTER S, et al. Aerosol impacts on climate and biogeochemistry [J]. Annual Review of Environment and Resources, 2011, 36: 45–74. doi: 10.1146/annurev-environ-042009-094507 [84] FINLAYSON-PITTS B J, PITTS J N JR. Chemistry of the upper and lower atmosphere [M]. San Diego: Academic Press, 2000. [85] MACDONALD F A, WORDSWORTH R. Initiation of Snowball Earth with volcanic sulfur aerosol emissions [J]. Geophysical Research Letters, 2017, 44(4): 1938–1946. doi: 10.1002/2016GL072335 [86] STERN R J, AVIGAD D, MILLER N, et al. From volcanic winter to snowball Earth: an alternative explanation for neoproterozoic biosphere stress [M]//DILEK Y, FURNES H, MUEHLENBACHS K. Links Between Geological Processes, Microbial Activities & Evolution of Life: Microbes and Geology. Dordrecht: Springer, 2008: 313−337. [87] FAN S M, JACOB D J. Surface ozone depletion in Arctic spring sustained by bromine reactions on aerosols [J]. Nature, 1992, 359(6395): 522–524. doi: 10.1038/359522a0 [88] PORTMANN R W, SOLOMON S, GARCIA R R, et al. Role of aerosol variations in anthropogenic ozone depletion in the polar regions [J]. Journal of Geophysical Research: Atmospheres, 1996, 101(D17): 22991–23006. doi: 10.1029/96JD02608 [89] TABAZADEH A, DRDLA K, SCHOEBERL M R, et al. Arctic “ozone hole” in a cold volcanic stratosphere [J]. Proceedings of the National Academy of Sciences of the United States of America, 2002, 99(5): 2609–2612. doi: 10.1073/pnas.052518199 [90] BENCA J P, DUIJNSTEE I A P, LOOY C V. UV-B-induced forest sterility: implications of ozone shield failure in Earth’s largest extinction [J]. Science Advances, 2018, 4(2): e1700618. doi: 10.1126/sciadv.1700618 [91] VISSCHER H, LOOY C V, COLLINSON M E, et al. Environmental mutagenesis during the end-Permian ecological crisis [J]. Proceedings of the National Academy of Sciences of the United States of America, 2004, 101(35): 12952–12956. doi: 10.1073/pnas.0404472101 [92] BLACK B A, LAMARQUE J F, SHIELDS C A, et al. Acid rain and ozone depletion from pulsed Siberian Traps magmatism [J]. Geology, 2014, 42(1): 67–70. doi: 10.1130/G34875.1 [93] LI R C, SHEN S Z, XIA X P, et al. Atmospheric ozone destruction and the end-Permian crisis: evidence from multiple sulfur isotopes [J]. Chemical Geology, 2024, 647: 121936. doi: 10.1016/j.chemgeo.2024.121936 [94] JURIKOVA H, GUTJAHR M, WALLMANN K, et al. Permian-Triassic mass extinction pulses driven by major marine carbon cycle perturbations [J]. Nature Geoscience, 2020, 13(11): 745–750. doi: 10.1038/s41561-020-00646-4 -

下载: