Research on the Deployment Process of Explosive-Driven Structures under the Condition of Projectile-Target Rendezvous
-
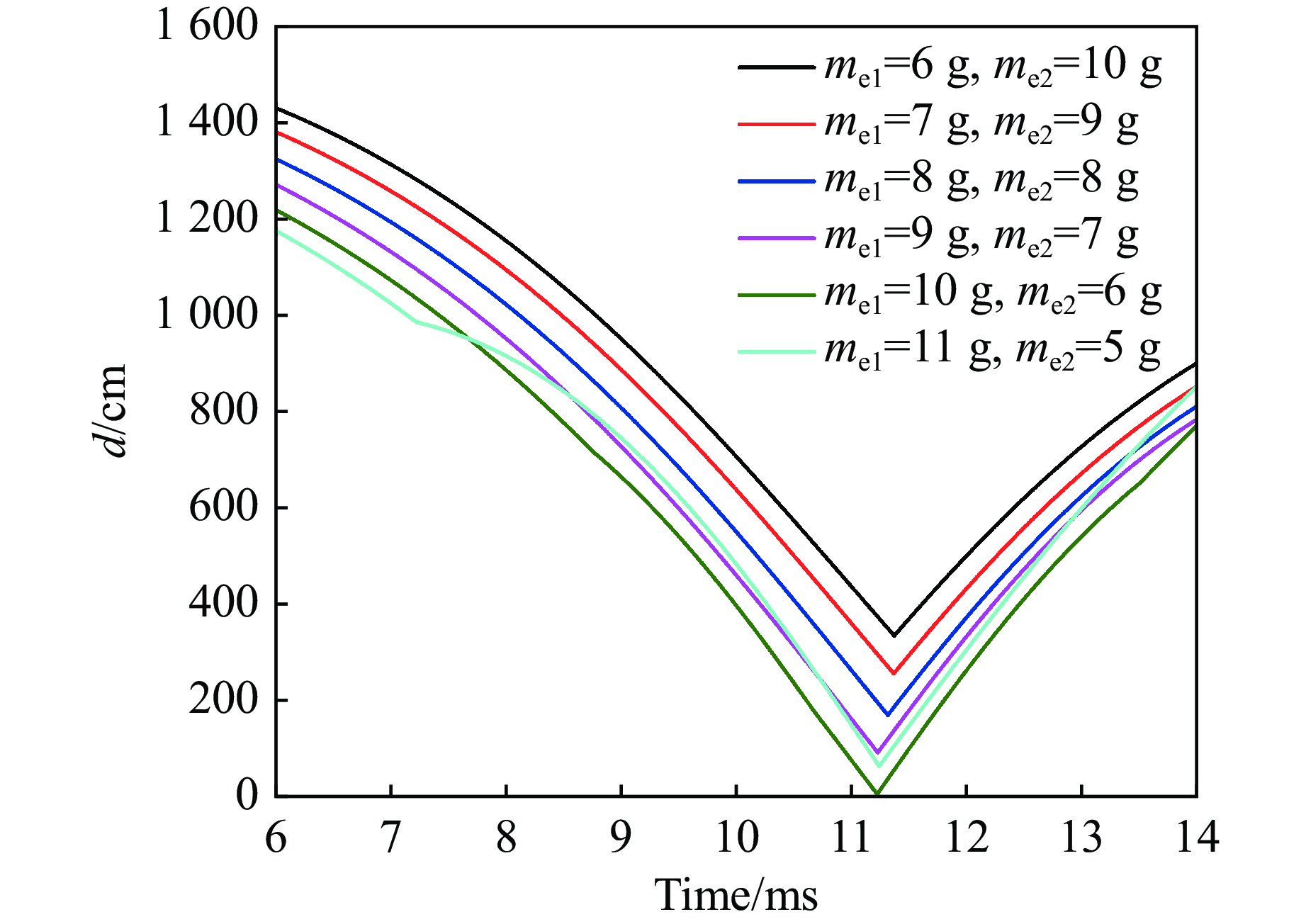
摘要: 复杂结构在爆炸驱动作用下的展开是展开型定向战斗部定向过程中的关键问题,对展开过程进行有效控制,有利于战斗部的起爆延时控制和破片利用率提高。针对复杂结构体的展开问题,基于JWL状态方程和第二类拉格朗日方程,从能量守恒出发推导了考虑爆轰产物膨胀过程和对目标命中状态的爆炸驱动展开模型。将驱动展开模型计算结果与文献实验结果进行对比,验证了爆炸驱动展开模型计算结果的准确性。结果表明,基于该模型的理论计算结果与实验结果的一致性较好,能较为精确地预测不同装药量下结构的展开时间;将辅助装药1与辅助装药2的质量比控制在1.5~1.7,结构体展开可达最佳命中姿态,更有利于命中目标。研究成果可充实定向战斗部设计理论,为展开型定向战斗部的设计提供参考。Abstract: The deployment of complex structures under explosive driving is a key issue in the directional process of deployable directional warheads. Effectively controlling the deployment process is beneficial for controlling the detonation delay and improving the utilization rate of fragments. For the deployment problem of complex structures, based on the JWL equation of state and the second-order Lagrange equation, an explosive driving deployment model considering the expansion process of detonation products and the target hit state is derived from energy conservation. The calculation results of the driving deployment model are compared with the experiment results in the literature, and the accuracy of the calculation results of the explosive driving deployment model is verified. The results show that the theoretical results of the model are in good agreement with the experiment results, and can accurately predict the deployment time of structures under different charge amounts. By controlling the mass ratio of auxiliary charge 1 to auxiliary charge 2 at 1.5−1.7, the structure can be deployed to achieve optimal hit posture, which is more conducive to hitting the target. The research results can enrich the design theory of directional warheads and provide a reference for the design of deployable directional warheads.
-
Key words:
- explosion driving /
- deploying posture /
- deployment time /
- auxiliary charge /
- directional warhead
-
表 1 计算模型参数
Table 1. Model parameters
R/cm h1/cm h2/cm ρ1/(g·cm−3) ρ2/(g·cm−3) ρ3/(g·cm−3) ρ4/(g·cm−3) 8 1.2 3 2.71 1.72 7.8 7.8 表 2 壳体及破片材料参数
Table 2. Material parameters of shell and fragment
Material ρ/(g·cm−3) E/GPa ν σs/GPa G/GPa 45 steel 7.80 200 0.30 0.231 76.3 LY-12 aluminum alloy 2.71 73 0.34 0.276 25.9 表 3 主装药材料参数
Table 3. Material parameters of main charge
Material ρ/(g·cm−3) E/GPa σs/GPa ν Composition B 1.72 4.2 1.1 0.34 表 4 辅助装药的JWL状态方程参数
Table 4. JWL equation of state parameters of auxiliary charge
ρ/(g·cm−3) pCJ/GPa A/GPa B/GPa R1 R2 ω 1.85 28 520 7 4.6 1.3 0.38 表 5 不同药量下最佳命中姿态对应的参数
Table 5. Parameters corresponding to the optimal hit attitude of different mass of the auxiliary charge
Total mass of the auxiliary charge/g me1/g me2/g d/cm α/(°) χ/(°) 11.0 7.0 4.0 27.8 45.9 89.2 16.0 10.0 6.0 6.2 45.4 89.1 18.0 11.0 7.0 13.3 44.1 90.0 20.0 12.5 7.5 0.2 44.8 89.4 22.0 14.0 8.0 9.7 45.1 88.9 26.0 16.5 9.5 2.4 44.6 89.5 -
[1] ABERNATHY D D. Variable geometry warhead: US3960085 [P]. 1976-06-01. [2] 李鹏飞, 杨磊, 赵向军, 等. 极小装药爆炸驱动两级重载荷研究 [J]. 高压物理学报, 2018, 32(6): 065102. doi: 10.11858/gywlxb.20180581LI P F, YANG L, ZHAO X J, et al. Study on minimal charge explosive driving two mass load [J]. Chinese Journal of High Pressure Physics, 2018, 32(6): 065102. doi: 10.11858/gywlxb.20180581 [3] 王新颖, 王树山, 徐豫新, 等. 爆轰驱动金属圆筒的能量转换与破片初速模型 [J]. 兵工学报, 2015, 36(8): 1417–1422. doi: 10.3969/j.issn.1000-1093.2015.08.007WANG X Y, WANG S S, XU Y X, et al. The energy conversion and fragment initial velocity model of metal cylinder driven by detonation [J]. Acta Armamentarii, 2015, 36(8): 1417–1422. doi: 10.3969/j.issn.1000-1093.2015.08.007 [4] 王新颖, 王树山, 徐豫新, 等. 杀爆战斗部炸药毁伤能量转换研究 [J]. 兵工学报, 2014, 35(Suppl 2): 184–187.WANG X Y, WANG S S, XU Y X, et al. Conversion of explosive damage energy of high explosive warhead [J]. Acta Armamentarii, 2014, 35(Suppl 2): 184–187. [5] 王新颖, 王树山, 赵书超. 基于爆轰产物膨胀驱动金属加速能力的评定方法 [J]. 科学技术与工程, 2019, 19(11): 116–122. doi: 10.3969/j.issn.1671-1815.2019.11.018WANG X Y, WANG S S, ZHAO S C. Evaluation method of metal accelerating ability based on the expansion of detonation products [J]. Science Technology and Engineering, 2019, 19(11): 116–122. doi: 10.3969/j.issn.1671-1815.2019.11.018 [6] 陈兴旺, 王金相, 唐奎, 等. 爆炸驱动多层球形破片初速场分析 [J]. 振动与冲击, 2020, 39(16): 129–134. doi: 10.13465/j.cnki.jvs.2020.16.018CHEN X W, WANG J X, TANG K, et al. Analysis on the initial velocity field of a multi-layer spherical fragment driven by explosion [J]. Journal of Vibration and Shock, 2020, 39(16): 129–134. doi: 10.13465/j.cnki.jvs.2020.16.018 [7] 金鑫, 肖强强, 黄正祥, 等. 梯形截面战斗部预制破片爆炸飞散数值模拟 [J]. 弹箭与制导学报, 2023, 43(3): 26–32. doi: 10.15892/j.cnki.djzdxb.2023.03.004JIN X, XIAO Q Q, HUANG Z X, et al. Numerical simulation of explosive dispersion of prefabricated fragments of trapezoidal cross-section warhead [J]. Journal of Projectiles, Rockets, Missiles and Guidance, 2023, 43(3): 26–32. doi: 10.15892/j.cnki.djzdxb.2023.03.004 [8] 邓宇轩, 张先锋, 冯可华, 等. 椭圆截面战斗部爆炸驱动破片作用过程的数值模拟 [J]. 高压物理学报, 2022, 36(2): 025104. doi: 10.11858/gywlxb.20210856DENG Y X, ZHANG X F, FENG K H, et al. Numerical simulation of fragmentation process driven by explosion in elliptical cross-section warhead [J]. Chinese Journal of High Pressure Physics, 2022, 36(2): 025104. doi: 10.11858/gywlxb.20210856 [9] 邓宇轩, 张先锋, 刘闯, 等. 椭圆截面战斗部爆轰驱动壳体的断裂及毁伤特性 [J]. 爆炸与冲击, 2023, 43(9): 091412. doi: 10.11883/bzycj-2023-0135DENG Y X, ZHANG X F, LIU C, et al. Casing fracture and damage characteristics of an elliptical cross-section warhead under explosive loading [J]. Explosion and Shock Waves, 2023, 43(9): 091412. doi: 10.11883/bzycj-2023-0135 [10] GUO Z W, HUANG G Y, LIU H, et al. Fragment velocity distribution of the bottom part of d-shaped casings under eccentric initiation [J]. International Journal of Impact Engineering, 2020, 144: 103649. doi: 10.1016/j.ijimpeng.2020.103649 [11] GUO Z W, HUANG G Y, ZHU W, et al. Fragment velocity distribution of D-shaped casing with multiple fragment layers [J]. International Journal of Impact Engineering, 2019, 131: 85–93. doi: 10.1016/j.ijimpeng.2019.04.027 [12] GUO Z W, HUANG G Y, LIU H, et al. Effects of shell thickness on the fragment velocity distribution of D-shaped casing filled with explosive [J]. Journal of Physics: Conference Series, 2021, 1721(1): 012018. doi: 10.1088/1742-6596/1721/1/012018 [13] NING J G, DUAN Y, XU X Z, et al. Velocity characteristics of fragments from prismatic casing under internal explosive loading [J]. International Journal of Impact Engineering, 2017, 109: 29–38. doi: 10.1016/j.ijimpeng.2017.05.018 [14] MA T B, SHI X W, LI J, et al. Fragment spatial distribution of prismatic casing under internal explosive loading [J]. Defence Technology, 2020, 16(4): 910–921. doi: 10.1016/j.dt.2019.11.006 [15] 耿荻, 马天宝, 宁建国, 等. 基于Lagrange和ALE算法的展开型定向战斗部数值模拟 [C]//塑性力学新进展——2011年全国塑性力学会议论文集. 北京: 清华大学出版社, 2011: 1−8.GENG D, MA T B, NING J G, et al. Numerical simulation of evolvable aimed warhead based on Lagrange and ALE algorithm [C]//New Progress in Plastic Mechanics—Proceedings of the 2011 National Plastic Mechanics Conference. Beijing: Tsinghua University Press, 2011: 1−8. [16] 赵宇哲, 李健, 马天宝. 展开式定向战斗部展开过程实验研究 [J]. 高压物理学报, 2016, 30(2): 116–122. doi: 10.11858/gywlxb.2016.02.005ZHAO Y Z, LI J, MA T B. Experiment on spread processes of the spreadable aimed warhead [J]. Chinese Journal of High Pressure Physics, 2016, 30(2): 116–122. doi: 10.11858/gywlxb.2016.02.005 [17] 凌琦, 何勇, 何源. 定向战斗部破片飞散的数值模拟与试验研究 [J]. 振动与冲击, 2017, 36(3): 234–241. doi: 10.13465/j.cnki.jvs.2017.03.037LING Q, HE Y, HE Y. Numerical simulation and tests for fragments dispersion of an aimed warhead [J]. Journal of Vibration and Shock, 2017, 36(3): 234–241. doi: 10.13465/j.cnki.jvs.2017.03.037 [18] 洪晓文, 李伟兵, 李文彬, 等. 展开角度及起爆位置对轴向展开式定向战斗部性能的影响 [J]. 含能材料, 2018, 26(5): 383–389. doi: 10.11943/j.issn.1006-9941.2018.05.002HONG X W, LI W B, LI W B, et al. Effect of expanding angle and initiation position on the performance of axial-expanding directional warhead [J]. Chinese Journal of Energetic Materials, 2018, 26(5): 383–389. doi: 10.11943/j.issn.1006-9941.2018.05.002 [19] 马征, 宁建国, 马天宝. 展开型定向战斗部展开过程的理论计算与数值模拟 [J]. 弹箭与制导学报, 2007, 27(1): 111–114. doi: 10.3969/j.issn.1673-9728.2007.01.033MA Z, NING J G, MA T B. Dynamic analysis and numerical simulation for spread process of a evolvable aimed warhead [J]. Journal of Projectiles, Rockets, Missiles and Guidance, 2007, 27(1): 111–114. doi: 10.3969/j.issn.1673-9728.2007.01.033 [20] ZHAO Y Z, MA T B, LI J, et al. Study on dynamic response of multi-body structure under explosive driving [J]. Science China Technological Sciences, 2016, 59(9): 1360–1369. doi: 10.1007/s11431-016-0263-4 [21] 孙博, 胡国怀, 赵军民, 等. 基于激光近炸引信的引战配合数学仿真设计 [J]. 弹箭与制导学报, 2012, 32(4): 123–126. doi: 10.3969/j.issn.1673-9728.2012.04.032SUN B, HU G H, ZHAO J M, et al. Design of fuze-warhead coordination simulation system based on laser proximity fuze [J]. Journal of Projectiles, Rockets, Missiles and Guidance, 2012, 32(4): 123–126. doi: 10.3969/j.issn.1673-9728.2012.04.032 [22] 李文彬, 王晓鸣, 朱中东. 反直升机智能雷系统毁伤效能仿真研究 [J]. 系统仿真学报, 2009, 21(19): 6294–6297.LI W B, WANG X M, ZHU Z D. Simulation of damage efficiency of anti-helicopter intelligent mine [J]. Journal of System Simulation, 2009, 21(19): 6294–6297. [23] 张蓬蓬, 张俊宝, 宋琛. 定向战斗部在空空导弹上的应用分析 [J]. 电光与控制, 2015, 22(3): 93–96. doi: 10.3969/j.issn.1671-637X.2015.03.021ZHANG P P, ZHANG J B, SONG C. Application of directional warhead on air to air missiles [J]. Electronics Optics & Control, 2015, 22(3): 93–96. doi: 10.3969/j.issn.1671-637X.2015.03.021 -

下载: