The Experimental Progress on Binary Polyhydrides with High Temperature Superconductivity
-
摘要: 近室温富氢超导材料相关实验报道引发了科研人员对富氢超导的广泛关注,理论预测与实验探索新的富氢超导体及其物性研究已经成为目前超导领域的研究热点。本文结合课题组在富氢超导材料方面的实验研究工作,详细介绍了二元富氢超导体的实验研究进展。Abstract: Recently, the experimental reports on near room temperature superconductivity of polyhydrides have attracted great attentions, and the theoretical and experimental exploration of new hydrogen-rich superconductors have become a research hotspot in the field of superconductivity. In this paper, we will give a detailed introduction to the experimental progress of binary polyhydride superconductors base on our works.
-
图 2 (a) 钙基富氢样品的高压原位电阻测量数据(插图为样品1电阻数据的微分曲线)[16],(b) 样品2在磁场下的电阻测量数据[16],(c) CaH6晶体结构示意图(H占据体心立方格子的四面体位置,形成H24笼子)
Figure 2. (a) Temperature dependence of resistance measured under high pressure for two calcium polyhydride samples (The inset show the derivative of resistance over temperature. ) [16]; (b) resistance versus temperature measured under different magnetic field for sample 2[16]; (c) scheme of crystal structure of CaH6 (The H atoms occupy the T-site and form H24 cage.)
图 3 (a) CaH6超导体上临界场随温度的变化及其GL公式拟合(插图为上临界场数据的线性拟合)[16],(b) 常见超导体及富氢高温超导体CaH6、LaH10的上临界场数据[23]
Figure 3. (a) Temperature dependence of upper critical field for CaH6 sample and its GL fit (The inset shows the linear fit for the μ0H(T) data.) [16]; (b) μ0H(T) data for the common superconductors and polyhydride superconductors of CaH6 and LaH10[23]
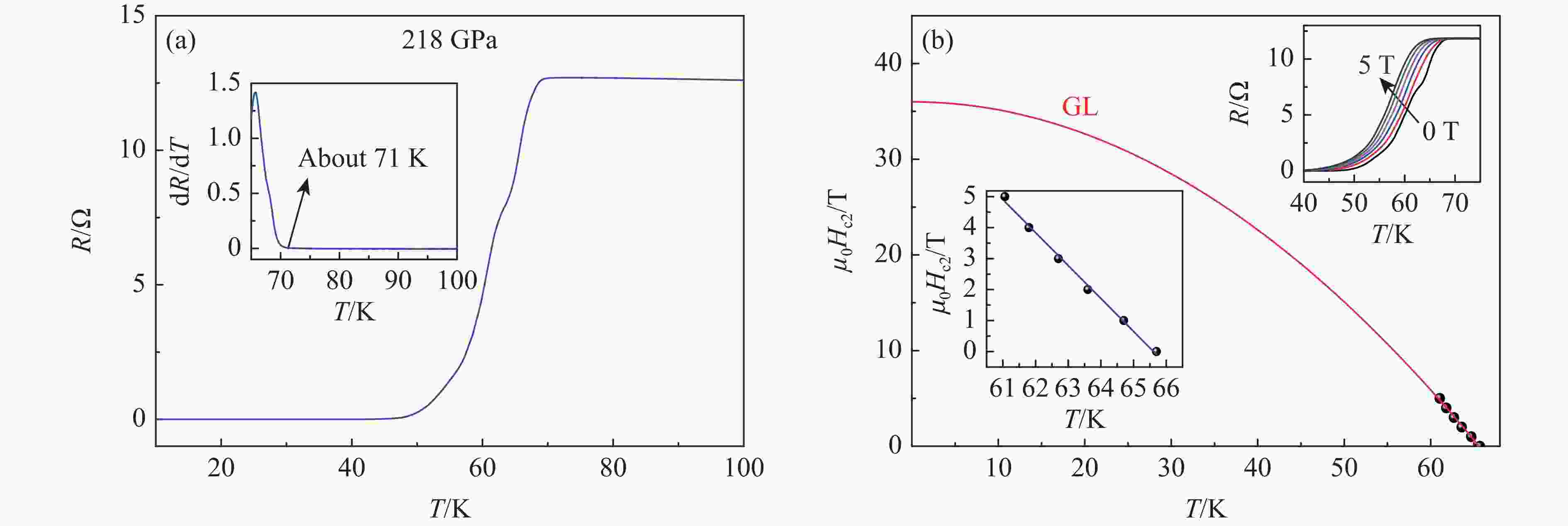
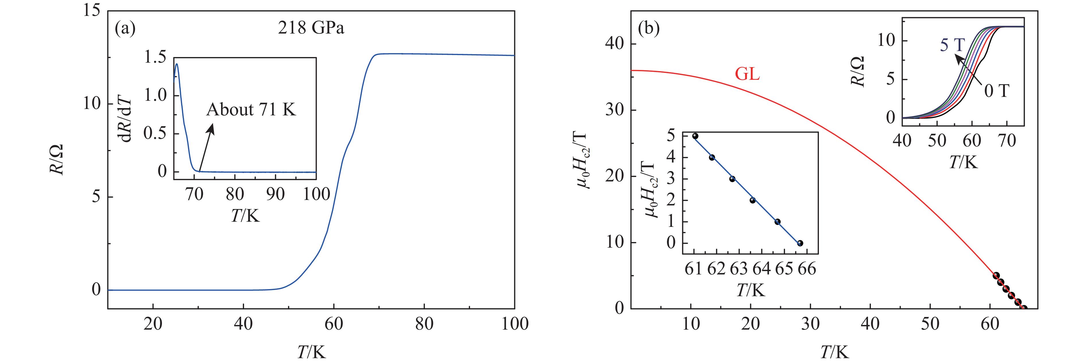
图 4 (a) 218 GPa下镥基富氢样品的原位电阻测量数据(插图为样品电阻数据的微分曲线)[27],(b) 镥基富氢样品上临界场随温度的变化及其GL公式拟合(右上插图为磁场下的电阻曲线,左下插图为上临界场数据的线性拟合)[27]
Figure 4. (a) Temperature dependence of resistance measured under high pressure for lutetium polyhydride sample (The inset shows the derivative of resistance over temperature.)[27]; (b) temperature dependence of upper criticalfield for lutetium polyhydride sample and its GL fit (The right-upper inset is the resistance curves measuredunder different magnetic field, and the left-lower inset shows the linear fit for the μ0H(T) data.) [27]
图 5 (a) 185 GPa下镥基富氢样品原位同步辐射X射线衍射谱及其结构精修[27],(b) Lu4H23的晶体结构及其氢笼示意图
Figure 5. (a) The in-situ high pressure synchrotron X-ray diffraction pattern measured of lutetium polyhydride sample and its refinement under 185 GPa[27]; (b) scheme of crystal structure of Pm
$\overline 3$ n phase of Lu4H23 and its H20 and H24 cages图 6 (a) 184 GPa下锑基富氢样品的原位电阻测量数据(左上插图为样品电阻数据的微分曲线,左下插图为低温下零电阻放大图,右插图为P63/mmc相SbH4的晶体结构示意图)[19],(b) 锑基富氢样品上临界场随温度的变化及其GL公式拟合(右上插图为磁场下的电阻曲线,左下插图为上临界场数据的线性拟合)[19]
Figure 6. (a) Temperature dependence of resistance measured at 184 GPa for antimony polyhydride sample (The left-upper inset shows the derivative of resistance over temperature, the left-lower inset shows the zero resistance at low temperature, and the right inset is the scheme of crystal structure of P63/mmc phase of SbH4.) [19]; (b) temperature dependence of upper critical field for antimony polyhydride sample and its GL fit (The right-upper inset is the resistance curve measured under different magnetic field, and the left-lower inset shows the linear fit for the μ0H(T) data.) [19]
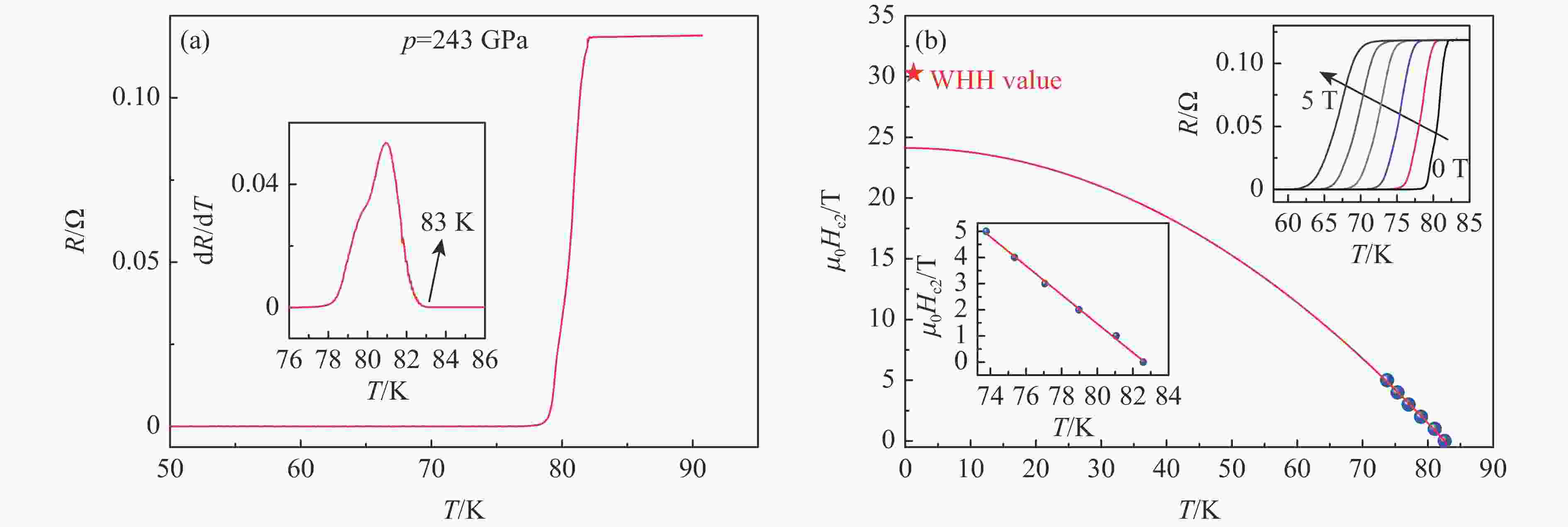
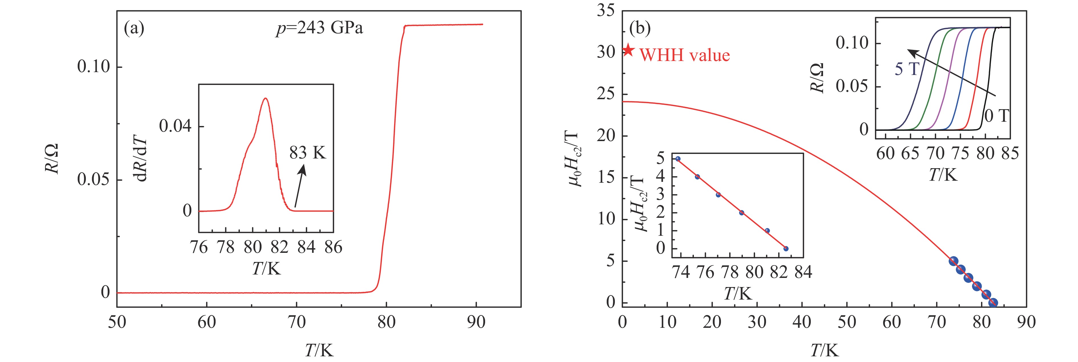
图 7 (a) 243 GPa下铪基富氢样品的原位电阻测量数据(插图为样品电阻数据的微分曲线)[34],(b)铪基富氢样品上临界场随温度的变化及其GL公式拟合(右上插图为磁场下的电阻曲线,左下插图为上临界场数据的线性拟合)[34]
Figure 7. (a) The temperature dependence of resistance of hafnium polyhydride sample measured at 243 GPa (The inset shows the derivative of resistance over temperature.) [34]; (b) temperature dependence of upper critical field of hafniumpolyhydride sample and its GL fit (The right-upper inset is the resistance curves measured under differentmagnetic field, and the left-lower inset shows the linear fit for the μ0H(T) data.) [34]
-
[1] WIGNER E, HUNTINGTON H B. On the possibility of a metallic modification of hydrogen [J]. The Journal of Chemical Physics, 1935, 3(12): 764–770. doi: 10.1063/1.1749590 [2] JOHNSON K A, ASHCROFT N W. Structure and bandgap closure in dense hydrogen [J]. Nature, 2000, 403(6770): 632–635. doi: 10.1038/35001024 [3] STÄDELE M, MARTIN R M. Metallization of molecular hydrogen: predictions from exact-exchange calculations [J]. Physical Review Letters, 2000, 84(26): 6070–6073. doi: 10.1103/PhysRevLett.84.6070 [4] ASHCROFT N W. Metallic hydrogen: a high-temperature superconductor? [J]. Physical Review Letters, 1968, 21(26): 1748–1749. doi: 10.1103/PhysRevLett.21.1748 [5] 徐济安, 朱宰万. 金属氢 [J]. 物理, 1977, 6(5): 296–300. [6] ASHCROFT N W. Hydrogen dominant metallic alloys: high temperature superconductors? [J]. Physical Review Letters, 2004, 92(18): 187002. doi: 10.1103/PhysRevLett.92.187002 [7] LI Y W, HAO J, LIU H Y, et al. The metallization and superconductivity of dense hydrogen sulfide [J]. The Journal of Chemical Physics, 2014, 140(17): 174712. doi: 10.1063/1.4874158 [8] DUAN D F, LIU Y X, TIAN F B, et al. Pressure-induced metallization of dense (H2S)2H2 with high- Tc superconductivity [J]. Scientific Reports, 2014, 4(1): 6968. doi: 10.1038/srep06968 [9] FLORES-LIVAS J A, BOERI L, SANNA A, et al. A perspective on conventional high-temperature superconductors at high pressure: methods and materials [J]. Physics Reports, 2020, 856: 1–78. doi: 10.1016/j.physrep.2020.02.003 [10] SEMENOK D V, KRUGLOV I A, SAVKIN I A, et al. On distribution of superconductivity in metal hydrides [J]. Current Opinion in Solid State and Materials Science, 2020, 24(2): 100808. doi: 10.1016/j.cossms.2020.100808 [11] DROZDOV A P, EREMETS M I, TROYAN I A, et al. Conventional superconductivity at 203 kelvin at high pressures in the sulfur hydride system [J]. Nature, 2015, 525(7567): 73–76. doi: 10.1038/nature14964 [12] DROZDOV A P, KONG P P, MINKOV V S, et al. Superconductivity at 250 K in lanthanum hydride under high pressures [J]. Nature, 2019, 569(7757): 528–531. doi: 10.1038/s41586-019-1201-8 [13] SOMAYAZULU M, AHART M, MISHRA A K, et al. Evidence for superconductivity above 260 K in lanthanum superhydride at Megabar pressures [J]. Physical Review Letters, 2019, 122(2): 027001. doi: 10.1103/PhysRevLett.122.027001 [14] HONG F, YANG L X, SHAN P F, et al. Superconductivity of lanthanum superhydride investigated using the standard four-probe configuration under high pressures [J]. Chinese Physics Letters, 2020, 37(10): 107401. doi: 10.1088/0256-307X/37/10/107401 [15] KONG P P, MINKOV V S, KUZOVNIKOV M A, et al. Superconductivity up to 243 K in the yttrium-hydrogen system under high pressure [J]. Nature Communications, 2021, 12(1): 5075. doi: 10.1038/s41467-021-25372-2 [16] LI Z W, HE X, ZHANG C L, et al. Superconductivity above 200 K discovered in superhydrides of calcium [J]. Nature Communications, 2022, 13(1): 2863. doi: 10.1038/s41467-022-30454-w [17] MA L, WANG K, XIE Y, et al. High-temperature superconducting phase in clathrate calcium hydride CaH6 up to 215 K at a pressure of 172 GPa [J]. Physical Review Letters, 2022, 128(16): 167001. doi: 10.1103/PhysRevLett.128.167001 [18] SUN Y, ZHONG X, LIU H Y, et al. Clathrate metal superhydrides at high-pressure conditions: enroute to room-temperature superconductivity [J]. National Science Review, 2023: nwad270. [19] LU K, HE X, ZHANG C L, et al. Superconductivity with Tc 116 K discovered in antimony polyhydrides [J]. National Science Review, 2023: nwad241. [20] HE X, ZHANG C L, LI Z W, et al. Superconductivity discovered in niobium polyhydride at high pressures [J]. Materials Today Physics, 2024, 40: 101298. doi: 10.1016/j.mtphys.2023.101298 [21] PENG F, SUN Y, PICKARD C J, et al. Hydrogen clathrate structures in rare earth hydrides at high pressures: possible route to room-temperature superconductivity [J]. Physical Review Letters, 2017, 119(10): 107001. doi: 10.1103/PhysRevLett.119.107001 [22] WANG H, TSE J S, TANAKA K, et al. Superconductive sodalite-like clathrate calcium hydride at high pressures [J]. Proceedings of the National Academy of Sciences of the United States of America, 2012, 109(17): 6463–6466. doi: 10.1073/pnas.1118168109 [23] 靳常青, 邓正, 望贤成. 迈向室温的超导新材料及可能的应用前景 [M]. 北京: 科学出版社, 2021. [24] SALKE N P, DAVARI ESFAHANI M M, ZHANG Y J, et al. Synthesis of clathrate cerium superhydride CeH9 at 80–100 GPa with atomic hydrogen sublattice [J]. Nature Communications, 2019, 10(1): 4453. doi: 10.1038/s41467-019-12326-y [25] ZHOU D, SEMENOK D V, DUAN D F, et al. Superconducting praseodymium superhydrides [J]. Science Advances, 2020, 6(9): eaax6849. doi: 10.1126/sciadv.aax6849 [26] ZHOU D, SEMENOK D V, XIE H, et al. High-pressure synthesis of magnetic neodymium polyhydrides [J]. Journal of the American Chemical Society, 2020, 142(6): 2803–2811. doi: 10.1021/jacs.9b10439 [27] LI Z W, HE X, ZHANG C L, et al. Superconductivity above 70 K observed in lutetium polyhydrides [J]. Science China Physics, Mechanics & Astronomy, 2023, 66(6): 267411. [28] SEMENOK D V, ZHOU D, KVASHNIN A G, et al. Novel strongly correlated europium superhydrides [J]. The Journal of Physical Chemistry Letters, 2021, 12(1): 32–40. doi: 10.1021/acs.jpclett.0c03331 [29] HONG F, SHAN P F, YANG L X, et al. Possible superconductivity at ~70K in tin hydride SnH x under high pressure [J]. Materials Today Physics, 2022, 22: 100596. doi: 10.1016/j.mtphys.2021.100596 [30] DROZDOV A P, EREMETS M I, TROYAN I A. Superconductivity above 100 K in PH3 at high pressures [EB/OL]. arXiv: 1508.06224. https://arxiv.org/abs/1508.06224. [31] MA Y B, DUAN D F, LI D, et al. The unexpected binding and superconductivity in SbH4 at high pressure [EB/OL]. arXiv: 1506.03889. https://arxiv.org/abs/1506.03889. [32] FU Y H, DU X P, ZHANG L J, et al. High-pressure phase stability and superconductivity of pnictogen hydrides and chemical trends for compressed hydrides [J]. Chemistry of Materials, 2016, 28(6): 1746–1755. doi: 10.1021/acs.chemmater.5b04638 [33] ZHANG C L, HE X, LI Z W, et al. Superconductivity in zirconium polyhydrides with Tc above 70 K [J]. Science Bulletin, 2022, 67(9): 907–909. doi: 10.1016/j.scib.2022.03.001 [34] ZHANG C L, HE X, LI Z W, et al. Superconductivity above 80 K in polyhydrides of hafnium [J]. Materials Today Physics, 2022, 27: 100826. doi: 10.1016/j.mtphys.2022.100826 [35] HE X, ZHANG C L, LI Z W, et al. Superconductivity observed in tantalum polyhydride at high pressure [J]. Chinese Physics Letters, 2023, 40(5): 057404. doi: 10.1088/0256-307X/40/5/057404 [36] DI CATALDO S, HEIL C, VON DER LINDEN W, et al. LaBH8: towards high- Tc low-pressure superconductivity in ternary superhydrides [J]. Physical Review B, 2021, 104(2): L020511. doi: 10.1103/PhysRevB.104.L020511 [37] SONG Y G, BI J K, NAKAMOTO Y, et al. Stoichiometric ternary superhydride LaBeH8 as a new template for high-temperature superconductivity at 110 K under 80 GPa [J]. Physical Review Letters, 2023, 130(26): 266001. doi: 10.1103/PhysRevLett.130.266001 [38] DI CATALDO S, QULAGHASI S, BACHELET G B, et al. High- Tc superconductivity in doped boron-carbon clathrates [J]. Physical Review B, 2022, 105(6): 064516. doi: 10.1103/PhysRevB.105.064516 -

下载:
