Numerical Simulation of Anti-Penetration Performance of Body Armor against Small Tungsten Sphere
-
摘要: 为研究防弹衣抗小钨球侵彻的性能,结合试验,利用有限元分析软件LS-DYNA建立了小钨球侵彻防弹衣的数值模型。在此基础上,对侵彻过程进行了数值模拟,分析了防弹衣的破坏机理,并探讨了凯夫拉(Kevlar)与超高分子量聚乙烯(Ultra-high molecular weight polyethylene, UHMWPE)混杂配比对防弹衣抗侵彻性能的影响。研究结果表明:在小钨球侵彻作用下,防弹衣迎弹面主要发生纤维剪切破坏,背弹面主要发生纤维拉伸断裂破坏,并伴随着一定的层间分层破坏。随着着靶速度的提高,纤维的拉伸及分层破坏程度降低;与单一Kevlar制作的防弹衣相比,采用面板Kevlar、背板UHMWPE混杂结构的防弹衣抗侵彻性能更好。当Kevlar/UHMWPE的体积配比分别为1∶1、1∶2和1∶4时,防弹衣的抗侵彻性能分别提高3.7%、5.3%和4.4%,质量分别减少14.1%、18.8%和22.5%。综合考虑防弹衣的抗侵彻性能和重量,采用Kevlar/UHMWPE混杂配比为1∶2的防弹衣结构最佳;在弹道极限附近,采用Kevlar/UHMWPE混杂结构的防弹衣的吸能效果优于单一Kevlar结构,且随着着靶速度的提高,两者的吸能差异逐渐减小。研究结果对防护装备的优化设计具有一定的参考价值。Abstract: In order to study the anti-penetration performance of body armor against small tungsten sphere, combined with the experiment, the numerical model of small tungsten sphere penetrating into body armor was established by using the finite element analysis software LS-DYNA. On this basis, the penetration process was numerically simulated, the damage mechanism of body armor was analyzed, and the influence of Kevlar and Ultra-high molecular weight polyethylene (UHMWPE) hybrid ratio on the anti-penetration performance of body armor was discussed. The investigation results show that the shear failure of fiber mainly occurs on the impact face of body armor, and the tensile fracture of fiber mainly occurs on the back of body armor, accompanied by a certain delamination failure under the penetration effect of small tungsten sphere. The tensile failure and delamination failure degree of fiber decrease with the increase of the impact velocity of small tungsten sphere. Compared with the body armor made of Kevlar, the body armor with hybrid structure of Kevlar placed on the impact face and UHMWPE placed on the back has better anti-penetration performance. When the hybrid ratio of Kevlar and UHMWPE is 1∶1, 1∶2 and 1∶4, the anti-penetration performance of body armor is improved by 3.7%, 5.3% and 4.4% respectively, and the mass of body armor is reduced by 14.1%, 18.8% and 22.5% respectively. In the comprehensive consideration of anti-penetration performance and weight of body armor, the Kevlar/UHMWPE structure whose fiber hybrid ratio is 1∶2 is the best. When the impact velocity is near the ballistic limit, Kevlar/UHMWPE hybrid structure has better energy absorption effect than single Kevlar structure. However, with the increase of the impact velocity, the difference of energy absorption between them decreases gradually. The research results have a certain reference value for the optimization design of protective equipment.
-
Key words:
- body armor /
- small tungsten sphere /
- anti-penetration performance /
- hybrid composites
-
表 1 试验数据
Table 1. Experimental data
No. Impact velocity/(m·s−1) Residual velocity/(m·s−1) Perforation diameter/mm Perforation 1 694.8 0 2.90 No 2 714.8 0 2.92 No 3 725.3 0 2.92 No 4 732.7 15.2 2.96 Yes 5 748.4 118.3 2.98 Yes 6 811.5 189.6 2.98 Yes 表 2 钨球材料模型参数
Table 2. Material model parameters of tungsten sphere
$\;\rho $/(g·cm−3) E/GPa $\;\mu $ $\sigma{_0}$/MPa Et/MPa $\;\beta $ C P $\varepsilon_{\rm{f}}$ 13.7 367 0.303 1 506 792 1 3.9 6 1.2 表 3 Kevlar材料模型参数
Table 3. Material model parameters of Kevlar
$\;\rho $/(g·cm−3) E1/GPa E2/GPa E3/GPa $\;\mu $12 $\;\mu $13 $\;\mu $23 G12/GPa G13/GPa G23/GPa 1.35 21 21 4.6 0.31 0.14 0.14 1.2 1.2 1.2 Kf/GPa SC/GPa XT/GPa YT/GPa YC/GPa α SN/GPa S13/GPa S23/GPa 2 0.25 1.8 1.8 1.4 0.5 0.55 0.55 0.55 表 4 仿真值与试验值的比较
Table 4. Comparison between simulation results and experimental results
No. Impact velocity/(m·s−1) Residual velocity/(m·s−1) Perforation diameter/mm Ballistic limit/(m·s−1) Error/% Experiment Simulation Experiment Simulation Experiment Simulation 1 694.8 0 0 2.90 2.83 729 732 0.41 2 714.8 0 0 2.92 2.86 3 725.3 0 0 2.92 2.81 4 732.7 15.2 19.2 2.96 2.85 5 748.4 118.3 108.0 2.98 2.87 6 811.5 189.6 208.3 2.98 2.86 $\;\rho $/(g·cm−3) E1/GPa E2/GPa E3/GPa $\;\mu $12 $\;\mu $13 $\;\mu $23 G12/GPa G13/GPa G23/GPa 0.97 30.7 30.7 1.97 0.008 0.044 0.044 0.73 0.67 0.67 Kf/GPa SC/GPa XT/GPa YT/GPa YC/GPa α SN/GPa S13/GPa S23/GPa 2.2 0.36 3.0 3.0 2.5 0.5 0.95 0.95 0.95 表 6 小钨球侵彻不同结构防弹衣弹道极限的仿真结果
Table 6. Simulation results of ballistic limit of small tungsten sphere penetrating into body armor with different structures
Type of tungsten sphere Thickness of body armor/mm Structure of body armor Ballistic limit/(m·s−1) 0.16 g, $\varnothing $2.8 mm 9 K1U1 759.0 K1U2 771.0 K1U4 764.0 表 7 小钨球侵彻不同结构防弹衣的仿真结果
Table 7. Simulation results of small tungsten sphere penetrating into body armor with different structures
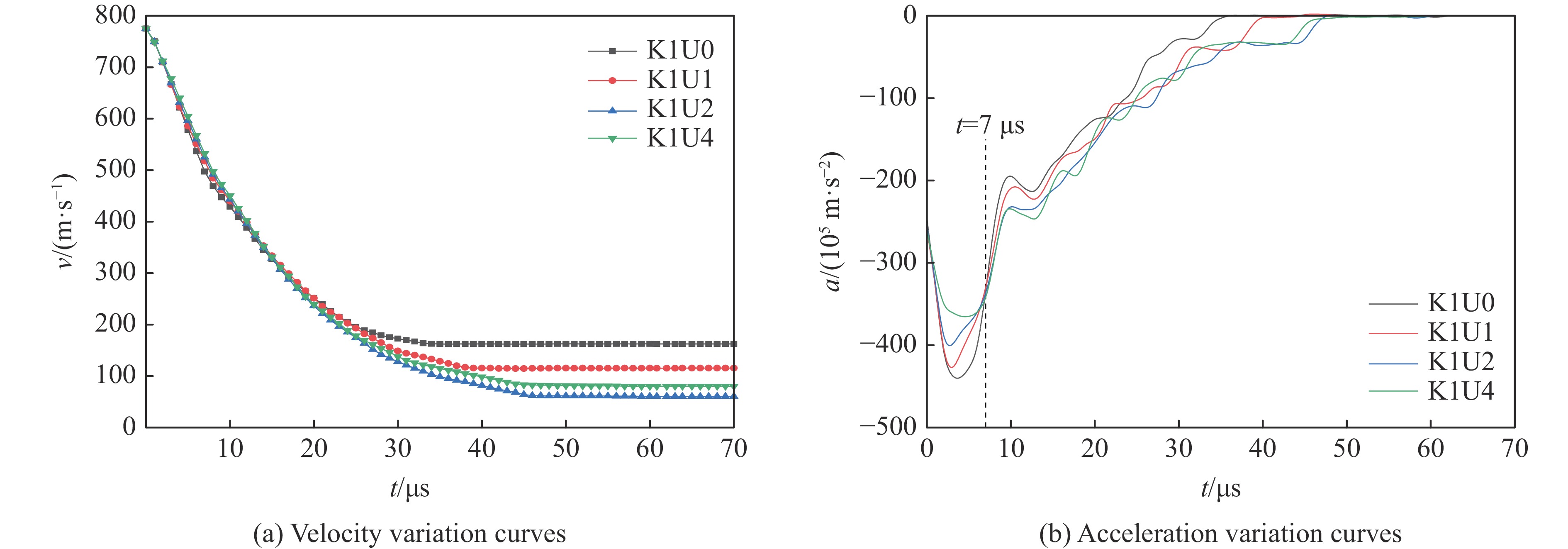
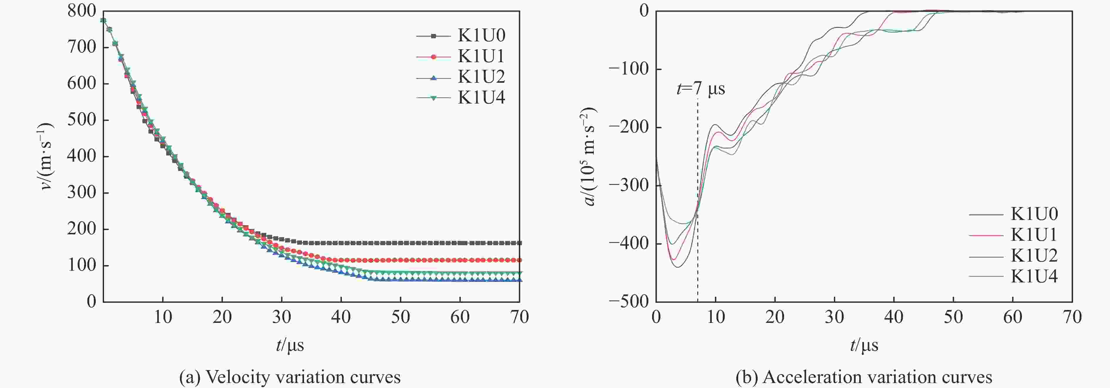
Type of tungsten sphere Thickness of body armor/mm Impact velocity/(m·s−1) Residual velocity/(m·s−1) K1U0 K1U1 K1U2 K1U4 0.16 g, $\varnothing $2.8 mm 9 750.0 108.9 0 0 0 775.0 162.1 114.6 60.2 80.1 800.0 199.5 187.6 164.6 177.0 825.0 241.6 229.9 206.5 219.6 850.0 282.9 274.3 254.5 265.4 -
[1] FLANAGAN M P, ZIKRY M A, WALL J W, et al. An experimental investigation of high velocity impact and penetration failure modes in textile composites [J]. Journal of Composite Materials, 1999, 33(12): 1080–1103. doi: 10.1177/002199839903301202 [2] SIKARWAR R S, VELMURUGAN R, GUPTA N K. Influence of fiber orientation and thickness on the response of glass/epoxy composites subjected to impact loading [J]. Composites Part B: Engineering, 2014, 60: 627–636. doi: 10.1016/j.compositesb.2013.12.023 [3] NAIK N K, SHRIRAO P, REDDY B C K. Ballistic impact behaviour of woven fabric composites: parametric studies [J]. Materials Science and Engineering: A, 2005, 412(1/2): 104–116. [4] MAJZOOBI G H, ZAHERIB F M. Numerical and experimental study of ballistic response of kevlar fabric and Kevlar/Epoxy composite [J]. International Journal of Engineering, Transactions B: Applications, 2017, 30(5): 791–799. [5] JORDAN J B, NAITO C J. An experimental investigation of the effect of nose shape on fragments penetrating GFRP [J]. International Journal of Impact Engineering, 2014, 63: 63–71. doi: 10.1016/j.ijimpeng.2013.08.002 [6] 邓云飞, 蔡雄峰, 曾宪智, 等. 弹体头部形状对碳纤维层合板抗冲击性能影响实验研究 [J]. 振动与冲击, 2020, 39(7): 86–92.DENG Y F, CAI X F, ZENG X Z, et al. Tests for effects of projectile nose shape on anti-impact performance of carbon fiber reinforced plates [J]. Journal of Vibration and Shock, 2020, 39(7): 86–92. [7] 谢文波, 张伟, 姜雄文. 钢球斜侵彻碳纤维复合材料板的实验研究 [J]. 爆炸与冲击, 2018, 38(3): 647–653.XIE W B, ZHANG W, JIANG X W. Oblique penetration on CFRPs by steel sphere [J]. Explosion and Shock Waves, 2018, 38(3): 647–653. [8] 秦建兵, 韩志军, 刘云雁, 等. 复合材料层合板侵彻行为的研究 [J]. 振动与冲击, 2013, 32(24): 122–126.QIN J B, HAN Z J, LIU Y Y, et al. Penetration behavior of composite laminated plates [J]. Journal of Vibration and Shock, 2013, 32(24): 122–126. [9] 肖露, 程建芳, 柴晓明, 等. 层间混杂复合材料的弹道侵彻性能研究 [J]. 浙江理工大学学报, 2013, 30(4): 471–476.XIAO L, CHENG J F, CHAI X M, et al. Study on ballistic penetration property of interply hybrid composite material [J]. Journal of Zhejiang Sci-Tech University, 2013, 30(4): 471–476. [10] 肖文莹, 李想, 郭万涛, 等. Kevlar/UHMWPE混杂纤维复合材料抗弹性能 [J]. 玻璃钢/复合材料, 2019(9): 79–84.XIAO W Y, LI X, GUO W T, et al. Resistance performance of Kevlar/UHMWPE fiber hybrid composites [J]. Fiber Reinforced Plastics/Composites, 2019(9): 79–84. [11] 秦溶蔓, 朱波, 乔琨, 等. 陶瓷/纤维复合材料层间混杂结构对装甲板抗侵彻性能的影响 [J]. 材料导报, 2020, 34(9): 18183–18187.QIN R M, ZHU B, QIAO K, et al. Effect of hybrid structure of ceramic/fiber composite material on penetration resistance of armor plate [J]. Materials Reports, 2020, 34(9): 18183–18187. [12] 黄献聪. 军用防弹衣的性能需求与发展方向[C]//2005现代服装纺织高科技发展研讨会. 北京: 北京纺织工程学会, 2005: 396−402.HUANG X C. Performance requirements and development direction of military body armor [C]//2005 Symposium on High Tech Development of Modern Clothing and Textile. Beijing: Beijing Textile Engineering Society, 2005: 396−402. [13] 纤维增强复合材料抗破片模拟弹性能试验方法 V50法: GB/T 32497–2016 [S]. 北京: 中国标准出版社, 2016.Test method of ballistic resistance against fragment simulating projectiles for fiber-reinforced composites—V50 method: GB/T 32497–2016 [S]. Beijing: China Standard Press, 2016. [14] 刘国繁. 层合结构复合材料抗弹机理研究及模拟仿真[D]. 南京: 南京航空航天大学, 2015: 15−16.LIU G F. Study on numerical simulation of ballistic damage mechanisms of laminated composites [D]. Nanjing: Nanjing University of Aeronautics and Astronautics, 2015: 15−16. [15] 唐昌州, 智小琦, 徐锦波, 等. 小钨球对防弹衣加松木靶的侵彻研究 [J]. 高压物理学报, 2020, 34(5): 055101.TANG C Z, ZHI X Q, XU J B, et al. Research on small tungsten spheres penetrating into pine target with body armor [J]. Chinese Journal of High Pressure Physics, 2020, 34(5): 055101. [16] CHANG F K, CHANG K Y. Post-failure analysis of bolted composite joints in tension or shear-out mode failure [J]. Journal of Composite Materials, 1987, 21(9): 809–833. doi: 10.1177/002199838702100903 [17] CHANG F K, CHANG K Y. A progressive damage model for laminated composites containing stress concentrations [J]. Journal of Composite Materials, 1987, 21(9): 834–855. doi: 10.1177/002199838702100904 [18] 胡年明, 陈长海, 侯海量, 等. 高速弹丸冲击下复合材料层合板损伤特性仿真研究 [J]. 兵器材料科学与工程, 2017, 40(3): 66–70.HU N M, CHEN C H, HOU H L, et al. Simulation on damage characteristic of composite laminates under high-velocity projectile impact [J]. Ordnance Material Science and Engineering, 2017, 40(3): 66–70. [19] 乔咏梅, 余铜辉. 软质防弹衣结构分析与性能研究 [J]. 警察技术, 2017(3): 81–84.QIAO Y M, YU T H. Structure analysis and performance research of soft body armor [J]. Police Technology, 2017(3): 81–84. -

下载: