Simulation of the Preheating Effects on the Discharging of Magnetized Liner Inertial Fusion
-
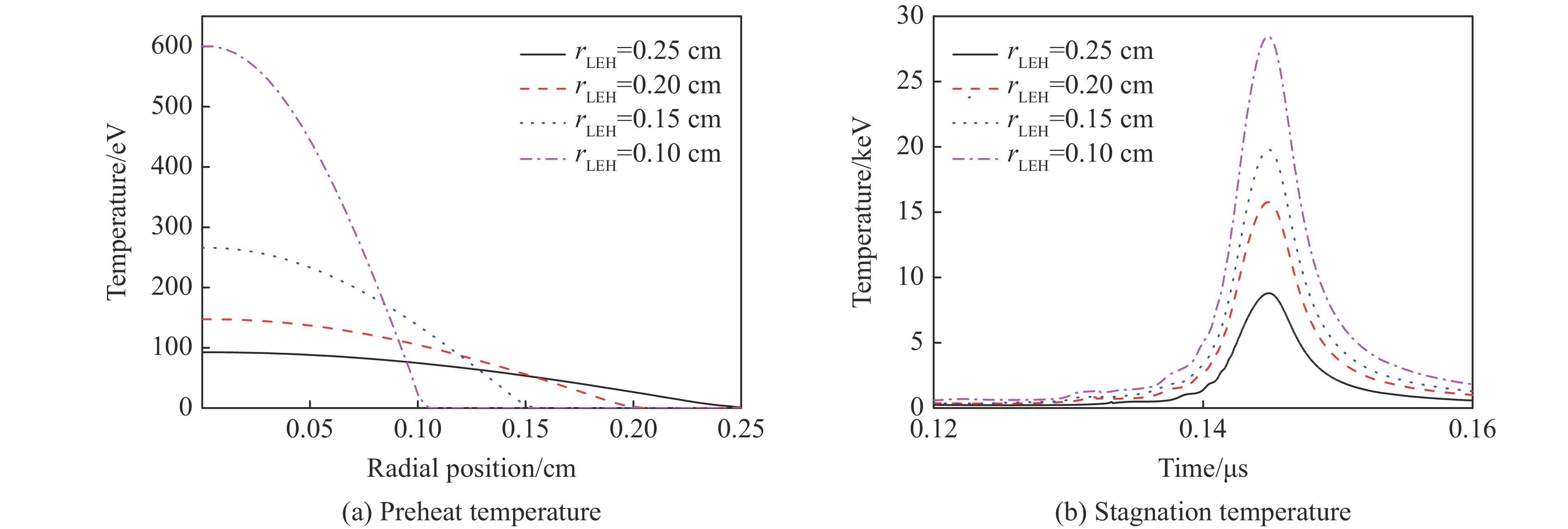
摘要: 得益于预加热和轴向磁场的作用,理论上磁化套筒惯性聚变(MagLIF)构型能有效降低聚变实现的难度,具有极大的应用潜力。然而,当前研究过于重视对激光能量沉积效率的提升,而忽略了预加热自身参数对MagLIF过程和内爆结果的影响。为此,采用一维集成化数值模拟程序MIST,开展了MagLIF过程中预加热效果对聚变放能影响的模拟研究,基于参数扫描方法,从简单的模型着手,逐步深入探讨相关参数对内爆结果的影响。模拟结果表明:预加热是MagLIF构型能够成功的必要条件,最佳时间是套筒即将开始向内压缩燃料的时刻;燃料预加热的设计原则是让燃料获得尽可能平缓分布的高温,而中心局部加热方式对于未能达到点火条件的负载更有优势;激光预加热模式下,脉宽越短越好,对于以ZR装置驱动能力为目标的算例而言,最佳套筒高度为1.0 cm。研究结果有助于加深对MagLIF过程中预加热机制和效果的认知和理解,对于具体的负载参数设计也有较强的指导意义。Abstract: Benefiting from laser preheating and axial magnetization, magnetized liner inertial fusion (MagLIF) has great application potential because it can effectively reduce the difficulties to realize the controlled fusion in theory. However, much attention has been paid to the improvement of laser energy deposition efficiency in current research, while the influence of preheating parameters on the MagLIF process and implosion is ignored. For this reason, the one-dimensional integrated simulation code, MIST, is used here to study the preheating effect on the fusion discharging in MagLIF process. Based on the method of parameter scanning, starting from a simple model, the studies of the influences of relevant parameters on implosion results are gradually advanced. The simulation results show that preheating is a necessary condition for the success of MagLIF configuration, and the best preheating time is the moment when the liner is about to compress the fuel. The design principle of preheating is to allow the fuel to acquire as smoothly distributed high temperature as possible, and the central local heating mode is more advantageous when the ignition fails. If the laser is preheated, the shorter pulse width will be better. For driving ability of ZR facility, the optimal liner height is 1.0 cm. These results are not only helpful to understand laser preheating mechanism and effect during MagLIF process, but also providing useful guidance for the design of the detail load parameters of MagLIF configuration.
-
Key words:
- Magnetized Liner Inertial Fusion /
- preheat influences /
- MIST /
- implosion
-
表 1 不同预加热温度下计算得到的内爆结果对比
Table 1. Calculated implosion results with different preheat temperatures
Preheat temperature/
eVPreheat energy/
kJFuel temperature/
keVInternal energy/
(kJ·cm−1)Fusion yield/
(kJ·cm−1)Q 50 3.8 4.7 310 510 1.65 100 7.2 7.5 470 1400 2.98 150 10.6 9.4 580 2000 3.45 200 14.0 10.5 650 2300 3.54 250 17.4 10.0 700 2420 3.46 300 20.8 11.6 730 2450 3.36 350 24.0 11.7 740 2390 3.23 表 2 不同套筒高度计算得到的内爆结果对比
Table 2. Calculated implosion results calculated with different liner heights
h/cm Preheat temperature/eV Peak current/MA Internal energy/(kJ·cm−1) Fusion yield/(kJ·cm−1) Total yield/kJ 0.50 890 29.5 786 2426 1213 0.75 615 28.9 668 2133 1600 1.00 450 28.2 565 1614 1614 1.25 364 27.4 478 1172 1465 -
[1] AYMAR R. The ITER project [J]. IEEE Transactions on Plasma Science, 1997, 25(6): 1187–1195. doi: 10.1109/27.650895 [2] SHIMOMURA Y, SPEARS W. Review of the ITER project [J]. IEEE Transactions on Applied Superconductivity, 2004, 14(2): 1369–1375. doi: 10.1109/TASC.2004.830580 [3] HUANG C J, LI L F. Magnetic confinement fusion: a brief review [J]. Frontiers in Energy, 2018, 12(2): 305–313. doi: 10.1007/s11708-018-0539-1 [4] HURRICANE O A, SPRINGER P T, PATEL P K, et al. Approaching a burning plasma on the NIF [J]. Physics of Plasmas, 2019, 26(5): 052704. doi: 10.1063/1.5087256 [5] MCCRORY R L, MEYERHOFER D D, BETTI R, et al. Progress in direct-drive inertial confinement fusion [J]. Physics of Plasmas, 2008, 15(5): 055503. doi: 10.1063/1.2837048 [6] ROSEN M D. The physics issues that determine inertial confinement fusion target gain and driver requirements: a tutorial [J]. Physics of Plasmas, 1999, 6(4): 1690–1699. doi: 10.1063/1.873427 [7] SLUTZ S A, HERRMANN M C, VESEY R A, et al. Pulsed-power-driven cylindrical liner implosions of laser preheated fuel magnetized with an axial field [J]. Physics of Plasmas, 2010, 17(5): 056303. doi: 10.1063/1.3333505 [8] HARVEY-THOMPSON A J, GEISSEL M, JENNINGS C A, et al. Constraining preheat energy deposition in maglif experiments with multi-frame shadowgraphy [J]. Physics of Plasmas, 2019, 26(3): 032707. doi: 10.1063/1.5086044 [9] PARADELA J, GARCÍA-RUBIO F, SANZ J. Alpha heating enhancement in MagLIF targets: a simple analytic model [J]. Physics of Plasmas, 2019, 26(1): 012705. doi: 10.1063/1.5079519 [10] PERKINS L J, LOGAN B G, ZIMMERMAN G B, et al. Two-dimensional simulation of thermonuclear burn in ignition-scale inertial confinement fusion targets under compressed axial magnetic fields [J]. Physics of Plasmas, 2013, 20(7): 072708. doi: 10.1063/1.4816813 [11] SLUTZ S A, VESEY R A. High-gain magnetized inertial fusion [J]. Physical Review Letters, 2012, 108(2): 025003. doi: 10.1103/PhysRevLett.108.025003 [12] SEFKOW A B, SLUTZ S A, KONING J M, et al. Design of magnetized liner inertial fusion experiments using the Z facility [J]. Physics of Plasmas, 2014, 21(7): 072711. doi: 10.1063/1.4890298 [13] SLUTZ S A. Magnetized Liner Inertial Fusion (MagLIF): the promise and challenges [C]//Proceedings of MagLIF Workshop. Albuquerque: 2012. [14] GOMEZ M R, SLUTZ S A, SEFKOW A B, et al. Experimental demonstration of fusion-relevant conditions in magnetized liner inertial fusion [J]. Physical Review Letters, 2014, 113(15): 155003. doi: 10.1103/PhysRevLett.113.155003 [15] AWE T J, MCBRIDE R D, JENNINGS C A, et al. Observations of modified three-dimensional instability structure for imploding z-pinch liners that are premagnetized with an axial field [J]. Physical Review Letters, 2013, 111(23): 235005. doi: 10.1103/PhysRevLett.111.235005 [16] GOMEZ M P, SLUTZ S A, SEFKOW A B, et al. Recent progress in magnetized liner inertial fusion (MagLIF) experiments [R]. Austin: NNSA, 2015. [17] SINARS D. Magnetized Liner Inertial Fusion (MagLIF) research at Sandia national laboratories [C]//The 1st Chinese Pulsed Power Society Workshop. Chengdu, 2015. [18] GEISSEL M, HARVEY-THOMPSON A J, AWE T J, et al. Minimizing scatter-losses during pre-heat for magneto-inertial fusion targets [J]. Physics of Plasmas, 2018, 25(2): 022706. doi: 10.1063/1.5003038 [19] DAVIES J R, BAHR R E, BARNAK D H, et al. Laser entrance window transmission and reflection measurements for preheating in magnetized liner inertial fusion [J]. Physics of Plasmas, 2018, 25(6): 062704. doi: 10.1063/1.5030107 [20] SLUTZ S A. On the feasibility of charged particle-beam preheat for MagLIF: SAND 2015-1515R [R]. Albuquerque, USA: Sandia National Laboratories, 2015. [21] 赵海龙, 肖波, 王刚华, 等. 磁化套筒惯性聚变一维集成化数值模拟 [J]. 物理学报, 2020, 69(3): 035203. doi: 10.7498/aps.69.20191411ZHAO H L, XIAO B, WANG G H, et al. One-dimensional integrated simulations of magnetized liner inertial fusion [J]. Acta Physica Sinica, 2020, 69(3): 035203. doi: 10.7498/aps.69.20191411 [22] BASKO M M, KEMP A J, MEYER-TER-VEHN J. Ignition conditions for magnetized target fusion in cylindrical geometry [J]. Nuclear Fusion, 2000, 40(1): 59–68. doi: 10.1088/0029-5515/40/1/305 [23] 阚明先, 王刚华, 赵海龙, 等. 金属电阻率模型 [J]. 爆炸与冲击, 2013, 33(3): 282–286. doi: 10.11883/1001-1455(2013)03-0282-05KAN M X, WANG G H, ZHAO H L, et al. Electrical resistivity model for metals [J]. Explosion and Shock Waves, 2013, 33(3): 282–286. doi: 10.11883/1001-1455(2013)03-0282-05 [24] ZOLLWEG R J, LIEBERMANN R W. Electrical conductivity of nonideal plasmas [J]. Journal of Applied Physics, 1987, 62(9): 3621–3627. doi: 10.1063/1.339265 [25] 薛全喜, 江少恩, 王哲斌, 等. 基于神光Ⅲ原型装置开展的激光直接驱动准等熵压缩研究进展 [J]. 物理学报, 2018, 67(4): 045202. doi: 10.7498/aps.67.20172159XUE Q C, JIANG S E, WANG Z B, et al. Progress of laser-driven quasi-isentropic compression study performed on SHENGUANG Ⅲ prototype laser facility [J]. Acta Physica Sinica, 2018, 67(4): 045202. doi: 10.7498/aps.67.20172159 [26] JENNINGS C A, CHITTENDEN J P, CUNEO M E, et al. Circuit model for driving three-dimensional resistive MHD wire array Z-pinch calculations [J]. IEEE Transactions on Plasma Science, 2010, 38(4): 529–539. doi: 10.1109/TPS.2010.2042971 [27] MCBRIDE R D, JENNINGS C A, VESEY R A, et al. Displacement current phenomena in the magnetically insulated transmission lines of the refurbished Z accelerator [J]. Physical Review Accelerators and Beams, 2010, 13(12): 120401. doi: 10.1103/PhysRevSTAB.13.120401 [28] SINARS D B, SLUTZ S A, HERRMANN M C, et al. Measurements of Magneto-Rayleigh-Taylor instability growth during the implosion of initially solid al tubes driven by the 20-MA, 100-ns Z facility [J]. Physical Review Letters, 2010, 105(18): 185001. doi: 10.1103/PhysRevLett.105.185001 -

下载: