Raman Scattering of Spin-Orbit Mott Insulator Sr2IrO4 at High-Pressure
-
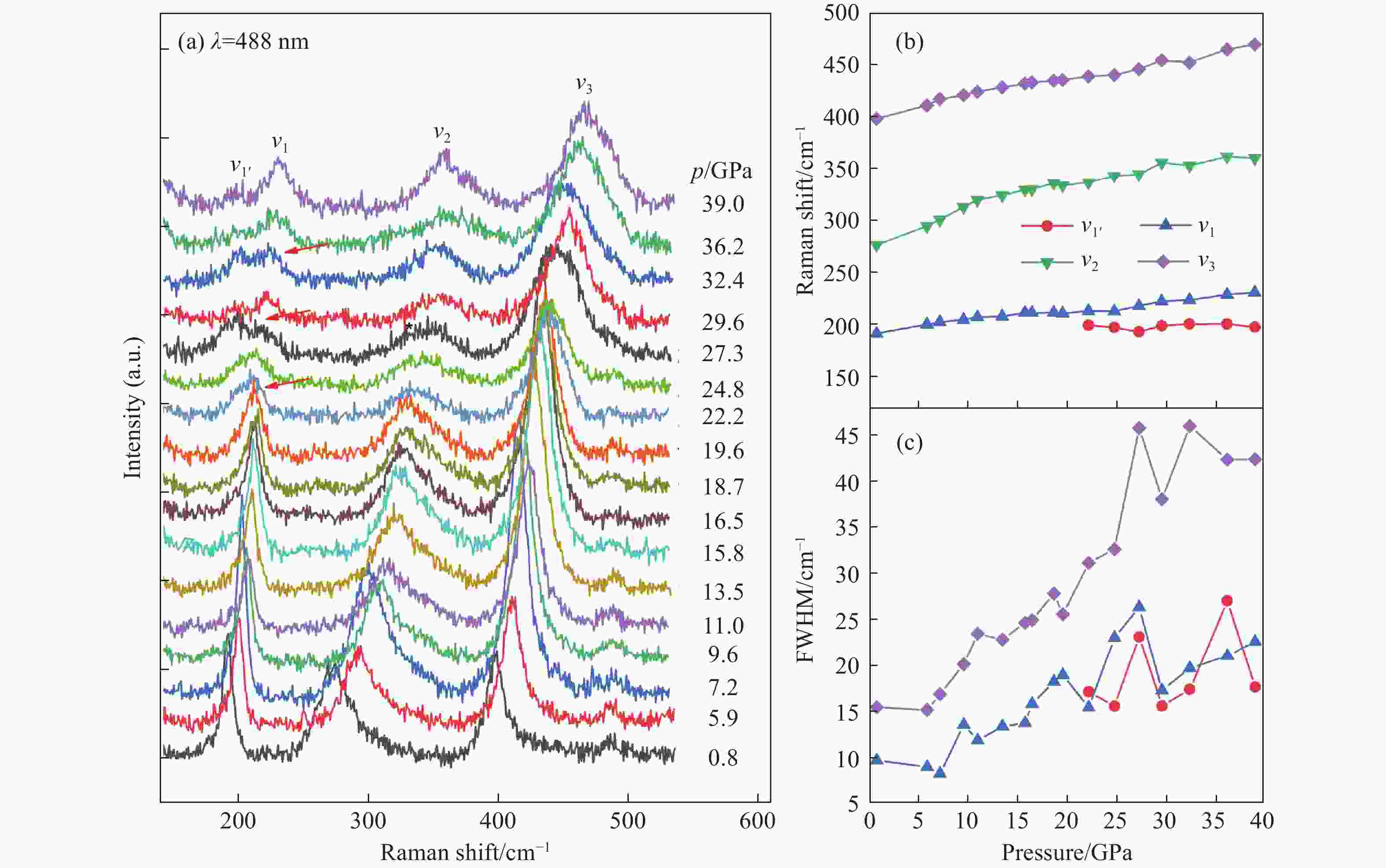
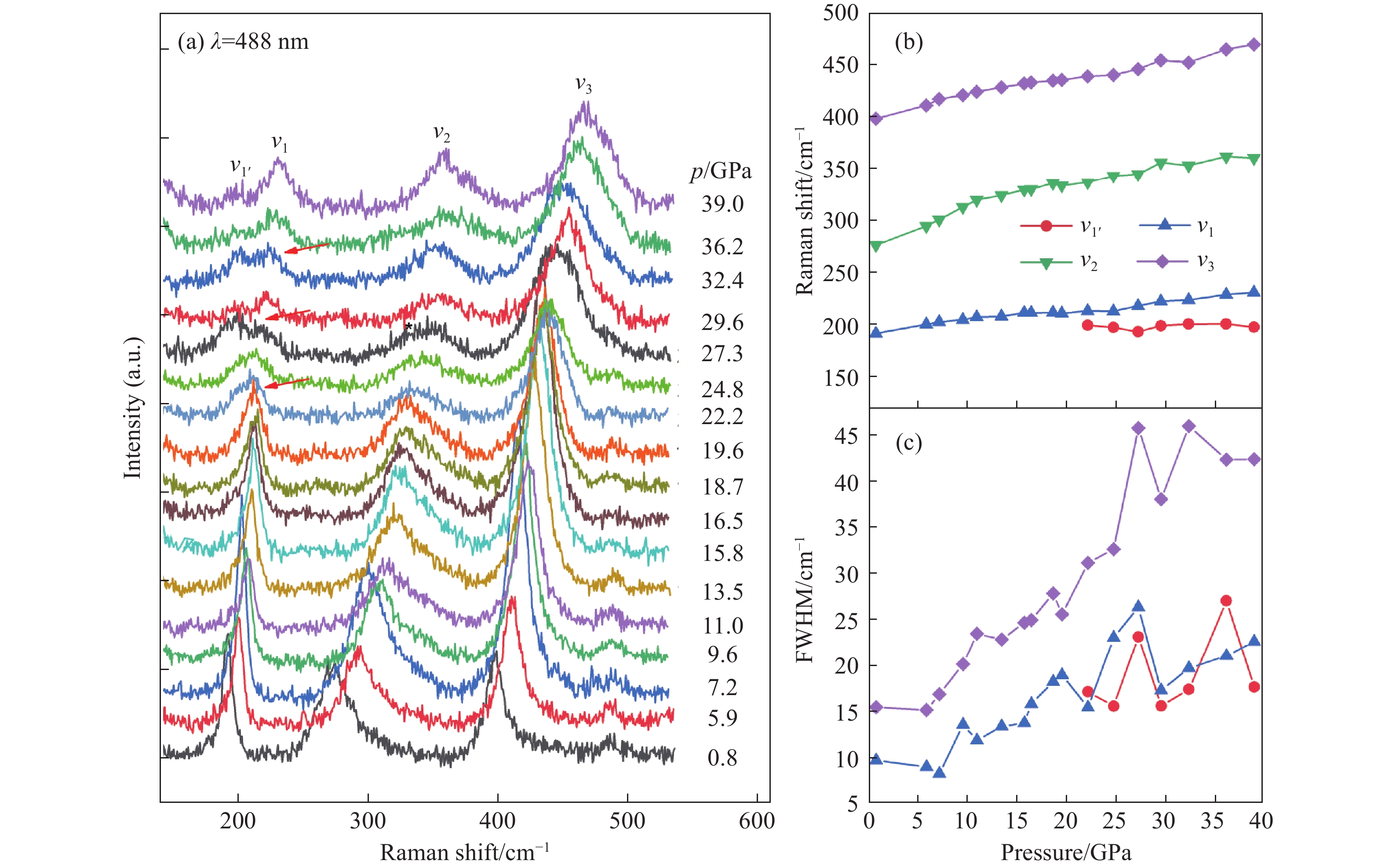
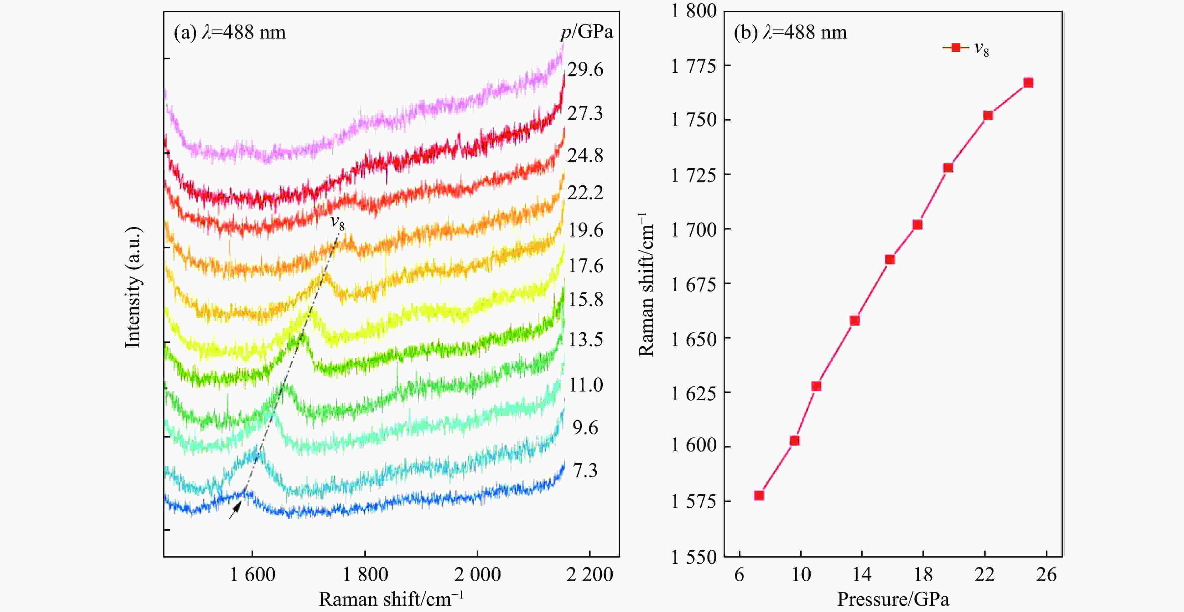
摘要: 5d过渡金属化合物内部的电子相互作用(U)、自旋-轨道耦合(SOC)、晶体场效应呈现既耦合又竞争的复杂关系。这些耦合竞争关系可以在温度、磁场或压力调控下诱发许多新奇的电磁性质,成为当前凝聚态物理的研究热点之一。通过对目前研究最多的化合物Sr2IrO4单晶进行常温高压下的拉曼光谱分析发现,加压至19.6~22.2 GPa时,拉曼光谱在波数为199 cm–1处出现新峰,清楚表明结构发生了相变,而该相变在此前一直无法确认。进一步的研究表明:这种结构相变的发生独立于低温下的磁性相变,可以通过自旋-轨道耦合对高压下Sr2IrO4的磁有序消失起到决定性作用。实验结果揭示了利用莫特绝缘体晶格变化来调控其电磁特性的新途径,也为未来设计新型功能材料提供了新思路。Abstract: The interplays of electron-electron interaction (U), spin-orbit coupling (SOC), and crystal field effects in the 5d transition metal oxides are complex, which can be turned by external fields to induce many novel electromagnetic phenomena and become one of hot topics in condensed matter physics. In this study, the Raman spectroscopy is carried out on single crystals of Sr2IrO4 at room temperature. We discover that when pressure reaches 19.6 GPa to 22.2 GPa, a new peak appears at a wavenumber of 199 cm-1 in the Raman spectra, accompanied with some anomalous changes of other Raman peaks. This result clearly evidences a structural phase transition occurs, although the existence of the such a transition has been long debated. The structural phase transition is independent of the magnetic phase transition at low temperature, but plays a dominant role in the magnetic ordering transition, owing to the strong spin-orbit coupling. This discovery promises a new way tune electromagnetic properties in the 5d Mott insulators and also provides a new idea to design novel functional materials in the future.
-
Key words:
- Mott insulator /
- iridate /
- Raman scattering /
- high pressure
-
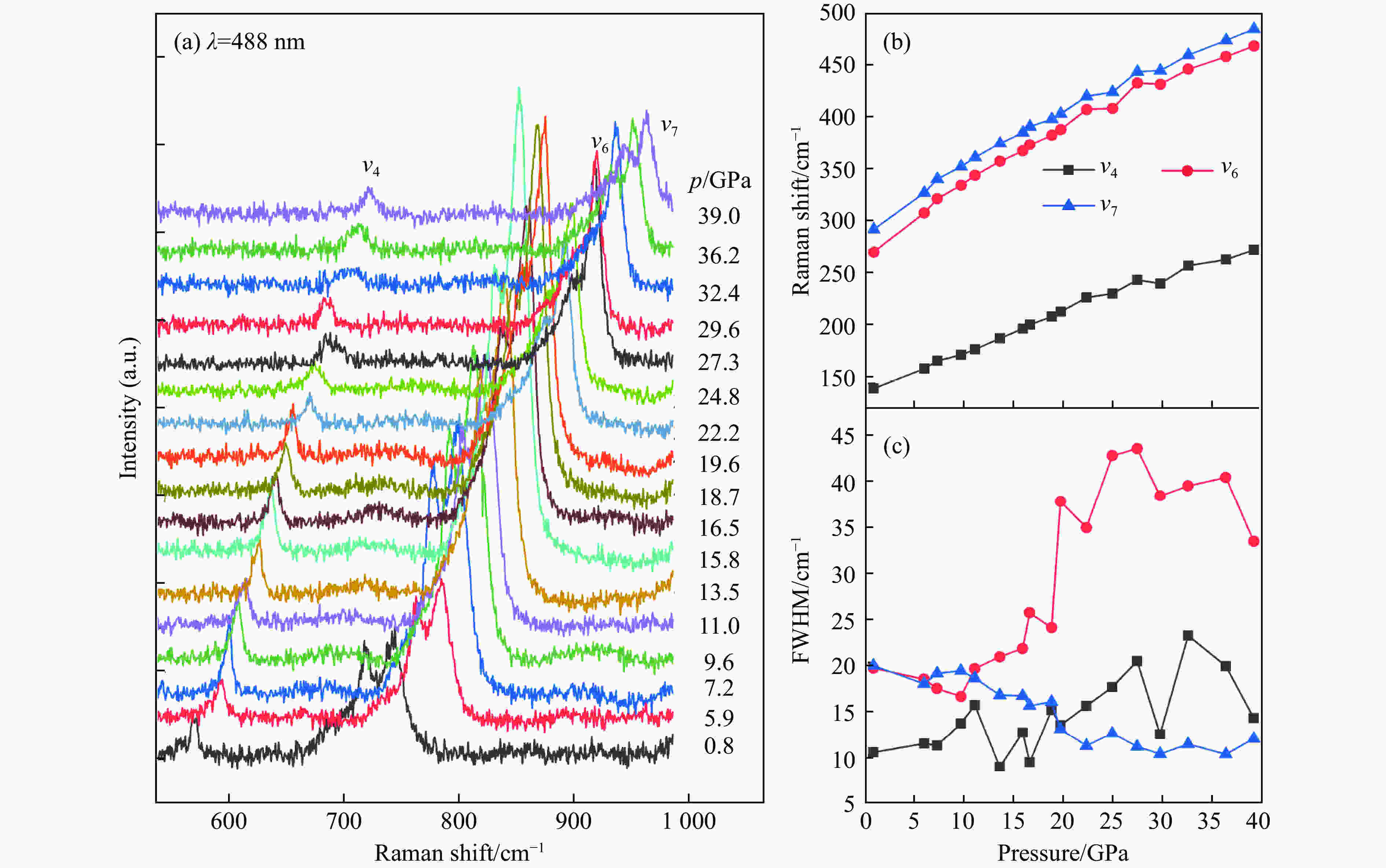
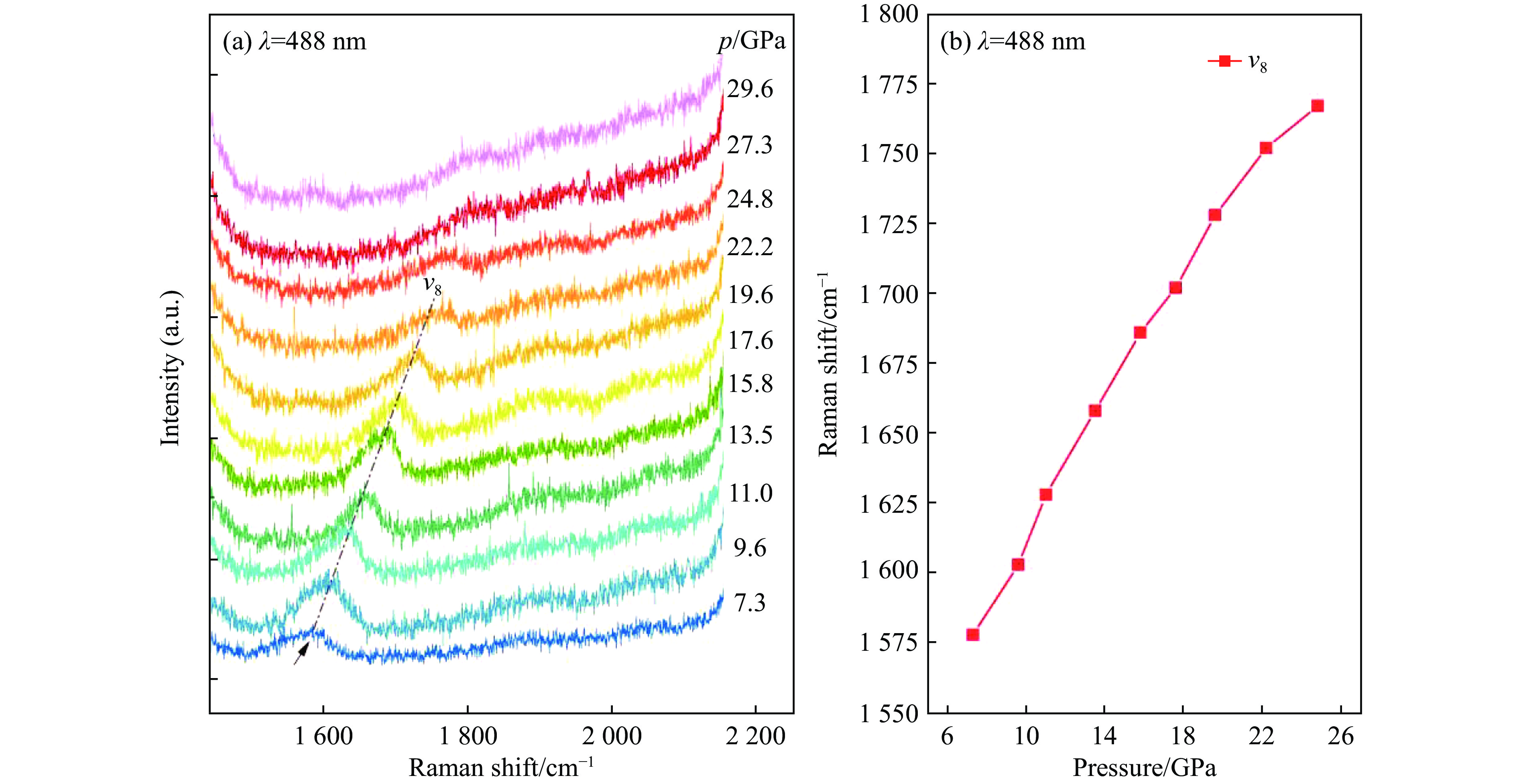
表 1 常温常压下单晶Sr2IrO4的拉曼峰振动模式指认与文献对比
Table 1. Frequencies and assignments about Raman modes of single crystal Sr2IrO4 at ambient condition
-
[1] WITCZAK-KREMPA W, CHEN G, KIM Y B, et al. Correlated quantum phenomena in the strong spin-orbit regime [J]. Annual Review of Condensed Matter Physics, 2014, 5(1): 57–82. doi: 10.1146/annurev-conmatphys-020911-125138 [2] WANG F, SENTHIL T. Twisted hubbard model for Sr2IrO4: magnetism and possible high temperature superconductivity [J]. Physical Review Letters, 2011, 106(13): 136402. [3] KITAGAWA K, TAKAYAMA T, MATSUMOTO Y, et al. A spin-orbital-entangled quantum liquid on a honeycomb lattice [J]. Nature, 2018, 554(7692): 341–345. doi: 10.1038/nature25482 [4] PRICE C C, PERKINS N B. Critical properties of the Kitaev-Heisenberg model [J]. Physical Review Letters, 2012, 109(18): 187201. doi: 10.1103/PhysRevLett.109.187201 [5] CHALOUPKA J, JACKELI G, KHALIULLIN G. Zigzag magnetic order in the iridium oxide Na2IrO3 [J]. Physical Review Letters, 2013, 110(9): 097204. doi: 10.1103/PhysRevLett.110.097204 [6] WATANABE H, SHIRAKAWA T, YUNOKI S. Monte carlo study of an unconventional superconducting phase in iridium oxide Jeff = 1/2 mott insulators induced by carrier doping [J]. Physical Review Letters, 2013, 110: 027002. doi: 10.1103/PhysRevLett.110.027002 [7] YONEZAWA S, MURAOKA Y, MATSUSHITA Y, et al. Superconductivity in a pyrochlore-related oxide KOs2O6 [J]. Journal of Physics:Condensed Matter, 2004, 16(3): L9–L12. doi: 10.1088/0953-8984/16/3/L01 [8] KIM B J, JIN H, MOON S J, et al. Novel Jeff = 1/2 mott state induced by relativistic spin-orbit coupling in Sr2IrO4 [J]. Physical Review Letters, 2008, 101(7): 076402. doi: 10.1103/PhysRevLett.101.076402 [9] RAU J G, LEE K H, KEE H Y. Spin-orbit physics giving rise to novel phases in correlated systems: iridates and related materials [J]. Condensed Matter Physics, 2015, 7(7). [10] ARITA R, KUNEŠ J, KOZHEVNIKOV A V, et al. Ab initio studies on the interplay between spin-orbit interaction and coulomb correlation in Sr2IrO4 and Ba2IrO4 [J]. Physical Review Letters, 2012, 108(8): 086403. doi: 10.1103/PhysRevLett.108.086403 [11] LI Q, CAO G, OKAMOTO S, et al. Atomically resolved spectroscopic study of Sr2IrO4: experiment and theory [J]. Scientific Reports, 2013: 3. [12] CAO G, SCHLOTTMANN P. The challenge of spin-orbit-tuned ground states in iridates: a key issues review [J]. Reports on Progress in Physics Physical Society, 2018, 81(4): 042502. doi: 10.1088/1361-6633/aaa979 [13] GRETARSSON H, SUNG N H, HOEPPNER M, et al. Two-magnon Raman scattering and Pseudospin-Lattice interactions in Sr2IrO4 and Sr3Ir2O7 [J]. Physical Review Letters, 2016, 116(13): 136401. doi: 10.1103/PhysRevLett.116.136401 [14] CAO G, TERZIC J, ZHAO H D, et al. Electrical control of structural and physical properties via strong spin-orbit interactions in Sr2IrO4 [J]. Physical Review Letters, 2017, 120(1): 017201. [15] LIU H, KHALIULLIN G. Pseudo Jahn-Teller effect and magnetoelastic coupling in spin-orbit mott insulators [J]. Physical Review Letters, 2019, 122(5): 057203. doi: 10.1103/PhysRevLett.122.057203 [16] HASKEL D, FABBRIS G, ZHERNENKOV M, et al. Pressure tuning of the spin-orbit coupled ground state in Sr2IrO4 [J]. Physical Review Letters, 2012, 109(2): 027204. doi: 10.1103/PhysRevLett.109.027204 [17] SAMANTA K, ARDITO F M, SOUZA-NETO N M, et al. First-order structural transition and pressure-induced lattice/phonon anomalies in Sr2IrO4 [J]. Physical Review B, 2018, 98: 094101. doi: 10.1103/PhysRevB.98.094101 [18] CHEN C, ZHOU Y, CHEN X, et al. Persistent insulator: avoidance of metallization at megabar pressures in strongly spin-orbit-coupled Sr2IrO4 [EB/OL]. arXiv: 1910. 10291 [2019-12-05]. [19] CHIJIOKE A D, NELLIS W J, SOLDATOV A, et al. The ruby pressure standard to 150 GPa [J]. Journal of Applied Physics, 2005, 98(11): 094112. [20] AROYO, MOIS ILIA, PEREZ-MATO, et al. Bilbao crystallographic server: I. databases and crystallographic computing programs [J]. Zeitschrift Für Kristallographie, 2006, 221(1): 15. [21] CETIN M F, LEMMENS P, GNEZDILOV V, et al. Crossover from coherent to incoherent scattering in spin-orbit dominated Sr2IrO4 [J]. Physical Review B, 2012, 85(19): 195148. doi: 10.1103/PhysRevB.85.195148 [22] MOON S J, JIN H, CHOI W S, et al. Temperature dependence of the electronic structure of the Jeff = 1/2 mott insulator Sr2IrO4 studied by optical spectroscopy [J]. Physical Review B, 2009, 80(19): 195110. doi: 10.1103/PhysRevB.80.195110 [23] ZHANG J B, YAN D Y, SORB Y A, et al. Lattice frustration in spin-orbit mott insulator Sr3Ir2O7 at high pressure [J]. NPJ Quantum Mater, 2019, 4(23). [24] CRAWFORD M K, SUBRAMANIAN M A, HARLOW R L, et al. Structural and magnetic studies of Sr2IrO4 [J]. Physical Review B, 1994, 49(13): 9198–9201. doi: 10.1103/PhysRevB.49.9198 [25] YE F, CHI S, CHAKOUMAKOS B C, et al. The magnetic and crystal structures of Sr2IrO4: a neutron diffraction study [J]. Physical Review B, 2013, 87(14): 545–579. [26] KIM B J, OHSUMI H, KOMESU T, et al. Phase-sensitive observation of a spin-orbital mott state in Sr2IrO4 [J]. Science, 2009, 323(5919): 1329–1332. doi: 10.1126/science.1167106 -

下载: