2018年 第32卷 第3期
2018, 32(3): 032201.
doi: 10.11858/gywlxb.20170630
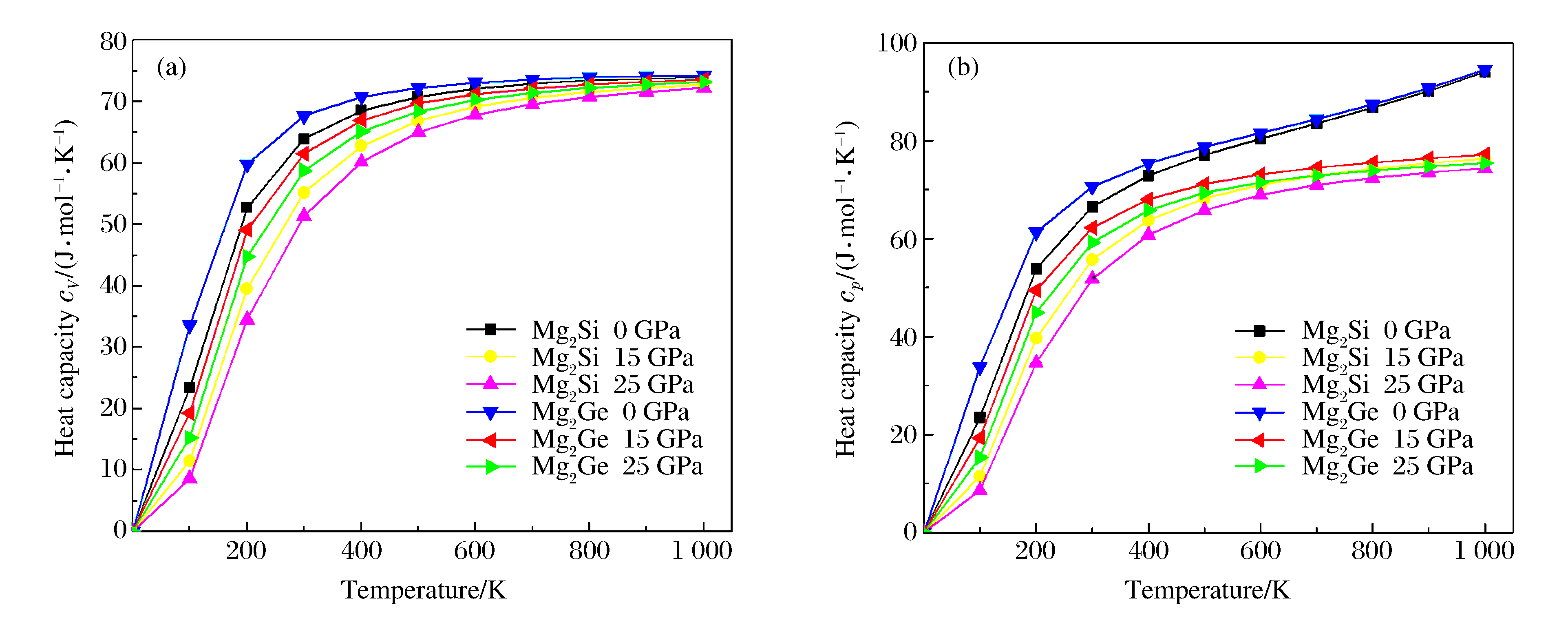
摘要:
2018, 32(3): 032302.
doi: 10.11858/gywlxb.20170696
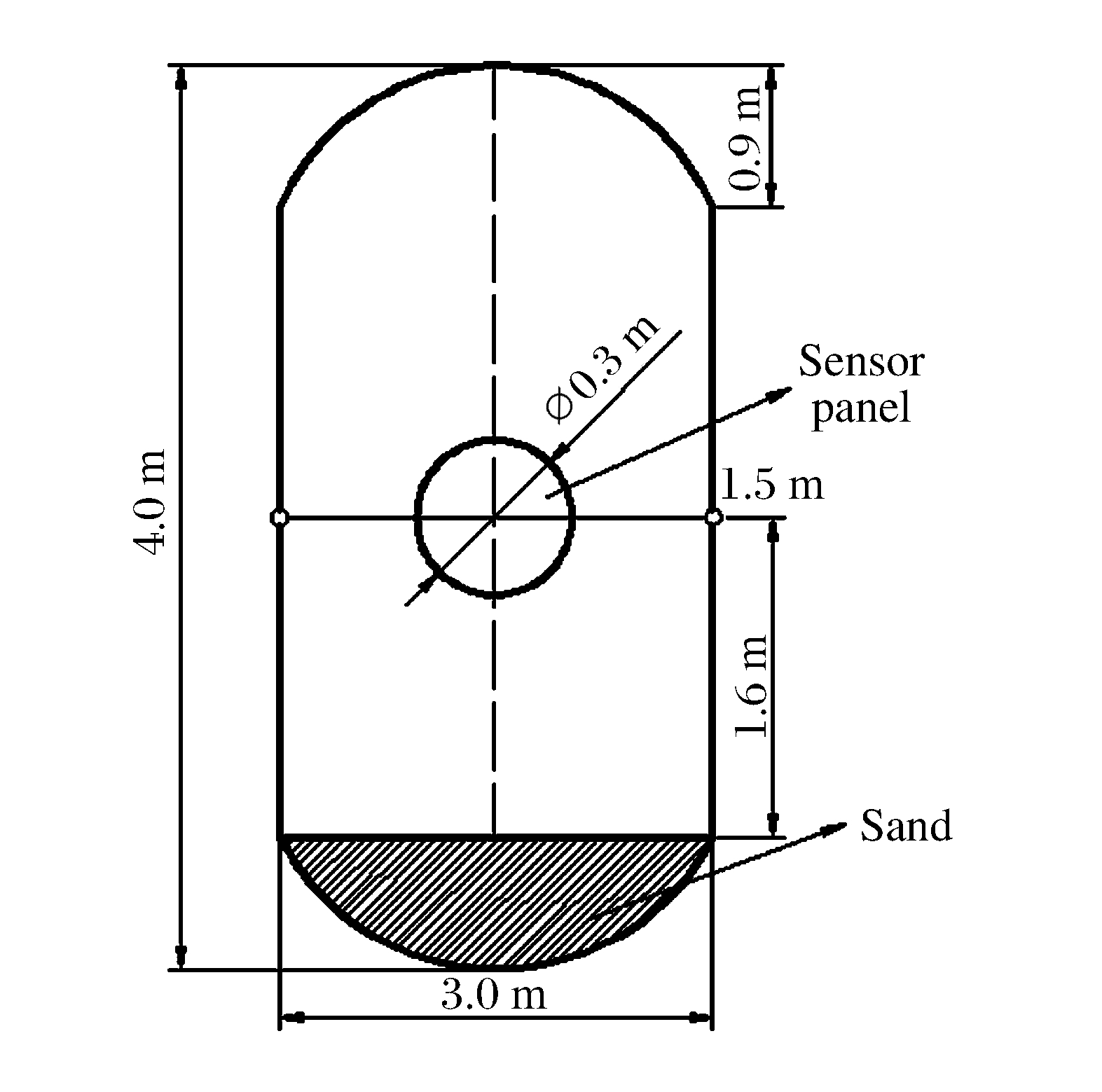
摘要:
2018, 32(3): 033201.
doi: 10.11858/gywlxb.20170634
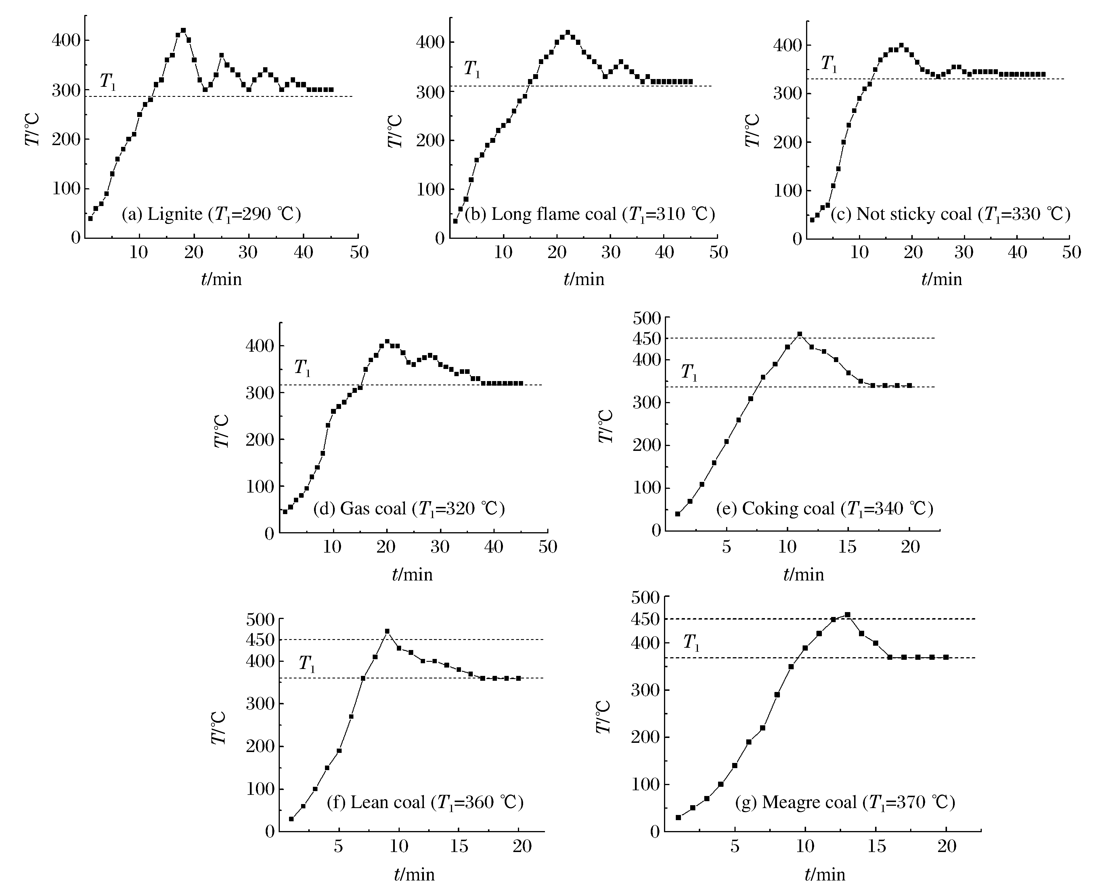
摘要:
2018, 32(3): 033202.
doi: 10.11858/gywlxb.20170669
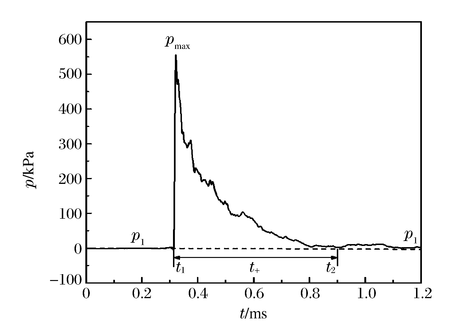
摘要:
2018, 32(3): 034201.
doi: 10.11858/gywlxb.20170682
摘要:
2018, 32(3): 035203.
doi: 10.11858/gywlxb.20170687
摘要:

阅读全文
PDF
引证文献






