Experimental Study of Cu/Diamond Composite Electromagnetic Rail Ablation Characteristics
-
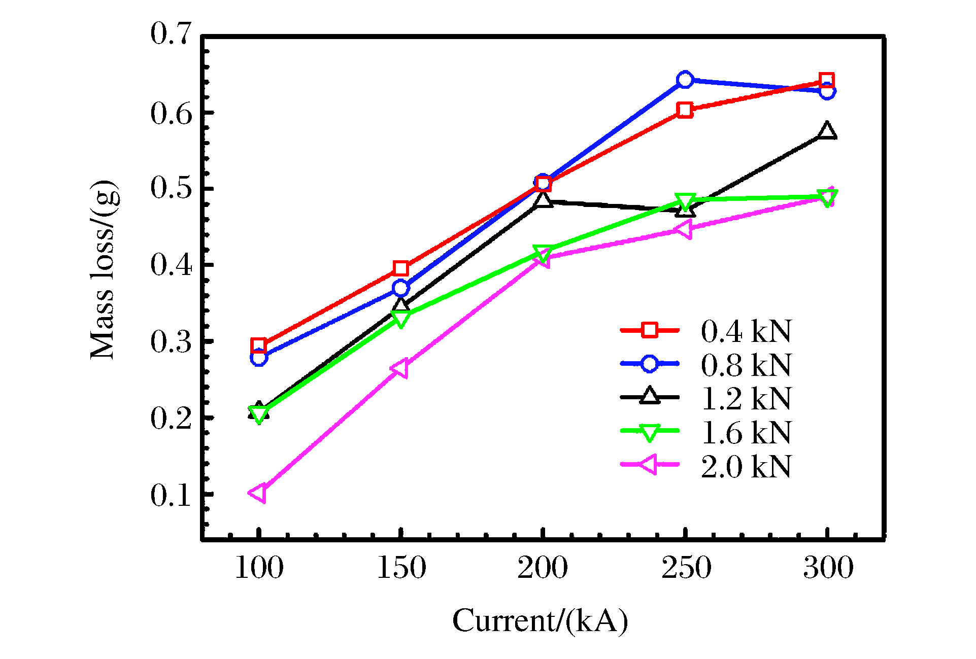
摘要: 通过对电磁轨道发射初期阶段,铜/金刚石复合材料轨道在预紧力0.4~2.0kN、电流100~300kA下的滑动电烧蚀实验分析发现:由于受到焦耳热及电弧热的双重作用,铜/金刚石复合材料的质量损失、烧蚀深度随电流的增大而呈现增加趋势,随预紧力的增加而呈下降趋势;在主烧蚀区域形成凹凸不平的形貌,由于部分金刚石的脱落形成一定数量的微孔,在强交变温度场作用下产生了热应力裂纹;在烧蚀区域的边缘,主要由于熔融液态金属受强电磁场涡流的作用而形成微凸及飞溅形貌;在滑动电接触区域则表现为电枢微凸体与轨道之间摩擦形成的划痕,其磨损机制为磨粒磨损;在铜/金刚石复合材料主烧蚀区的横截面,由于轨道材料的长高比过大而造成散热速率的不同,形成不同尺度的晶粒组织,表面硬度下降较大。Abstract: In the present work we investigated the ablation behavior of the Cu/diamond composite material under the current ranging from 100 to 300kA and the preload ranging from 0.4 to 2.0kN in the initial stage of the electromagnetic rail launch.The analysis reveals that, due to the dual function of the joule heat and electric arc heat, the mass loss and the ablation depth of Cu/diamond composite increase with the increase of the current and decrease with the increase of the preload; in the main ablation area, uneven topography is formed, and the exfoliation of the second phase particles causes a certain number of micro-pores, and thermal stress cracks are produced due to the strong alternating temperature field; micro-bulges and splash at the edge of the main ablation area are attributed to the molten liquid metal affected by the strong eddy current electromagnetic field; in the electrical sliding contact area, micro-scratches are formed due to the friction between the micro-bulges on the armature and the rail, and its wear mechanism is the abrasive wear; in the cross section of the ablation area of Cu/diamond composite, different scales of grains are formed corresponding to the different cooling rates resulting from the rails large length-height ratio, and the surface hardness of Cu/diamond composite undergoes a considerable decrease.
-
Key words:
- electromagnetic rail launch /
- Cu/diamond composite material /
- current /
- preload /
- ablation
-
表 1 电烧蚀实验参数
Table 1. Experimental parametersof electrical ablation
Current/(kA) Preload/(kN) 100 0.4 150 0.8 200 1.2 250 1.6 300 2.0 -
[1] 巩飞, 翁春生.电磁轨道炮滑动电接触的热效应[J].高压物理学报, 2014, 28(1):91-96. http://www.gywlxb.cn/CN/abstract/abstract1676.shtmlGONG F, WENG C S.Thermal effect sliding electrical contact in electromagnetic railgun[J].Chinese Journal of High Pressure Physics, 2014, 28(1):91-96. http://www.gywlxb.cn/CN/abstract/abstract1676.shtml [2] BANSAL D G, STREATOR J L.Behabior of copper-aluminum tribological pair under high current densities[J].IEEE Trans Magn, 2009, 45(1):244-249. doi: 10.1109/TMAG.2008.2008684 [3] YOVANOVICH M M.Four decades of research on thermal contact, gap, and joint resistance in microelectronics[J].IEEE Trans Compon Packag Technol, 2005, 28(2):182-206. doi: 10.1109/TCAPT.2005.848483 [4] 程诚, 关永超, 何勇, 等.磁探针方法测串联增强型固体电枢电磁轨道炮内弹道速度[J].高压物理学报, 2013, 27(6):901-907. http://www.gywlxb.cn/CN/abstract/abstract1655.shtmlCHENG C, GUAN Y C, HE Y, et al.Measurement of solid armature's in-bore velocity using b-dot orobes in series enhanced railgun[J].Chinese Journal of High Pressure Physics, 2013, 27(6):901-907. http://www.gywlxb.cn/CN/abstract/abstract1655.shtml [5] 郭凤仪, 陈忠华.电接触理论及其应用技术[M].北京:中国电力出版社, 2008:49-52.GUO F Y, CHEN Z H.Electrical contact theory and its application technology[M].Beijing:China Electric Power Press, 2008:49-52. [6] 邵文柱.Cp/CuCd电接触材料在电弧作用下的失效行为[J].电工合金, 2000(4):8-22. http://www.cnki.com.cn/Article/CJFDTotal-JGHJ200004002.htmSHAO W Z.Failure behavior of Cp/CuCd electrical contact materials under arc[J].Electrician Alloy, 2000(4):8-22. http://www.cnki.com.cn/Article/CJFDTotal-JGHJ200004002.htm [7] MEGER R A, COOPER K P, JONES H N, et al.Analysis of rail surfaces from a multi-shot railgun[J].IEEE Trans Magn, 2005, 41(1):211-213. doi: 10.1109/TMAG.2004.838923 [8] GEE R M AND PERSAD C.The response of different copper alloys as rail contacts at the breech of an electromagnetic launcher[J].IEEE Trans Magn, 2001, 37(1):263-268. doi: 10.1109/20.911834 [9] PERSAD C AND CASTRO Z.Railgun tribology:characterization and control of multishot wear debris[J].IEEE Trans Plasma Sci, 2007, 43(1):173-177. http://ieeexplore.ieee.org/document/4033098/ [10] HSIEH K T.Numerical study on groove formation of rails for various materials[J].IEEE Trans Magn, 2005, 41(1):380-382. doi: 10.1109/TMAG.2004.839287 [11] WATT T, STEFANI F, CRAWFORD M, et al.Investigation of damage to solid-armature railguns at startup[J].IEEE Trans Magn, 2007, 43(1):214-218. doi: 10.1109/TMAG.2006.887432 [12] 韩锦珠.铜合金离子注入层的组织结构及摩擦特性[D].秦皇岛: 燕山大学, 2011: 9-14. http://cdmd.cnki.com.cn/Article/CDMD-10216-2010089403.htmHAN J Z.Structure and tribological properties of ion implantation layer of copper alloys[D].Qinhuangdao: Yanshan University, 2011: 9-14. http://cdmd.cnki.com.cn/Article/CDMD-10216-2010089403.htm -

下载: