Influence of Venting Structure on the Cook-off Response Intensity of Composition B
-
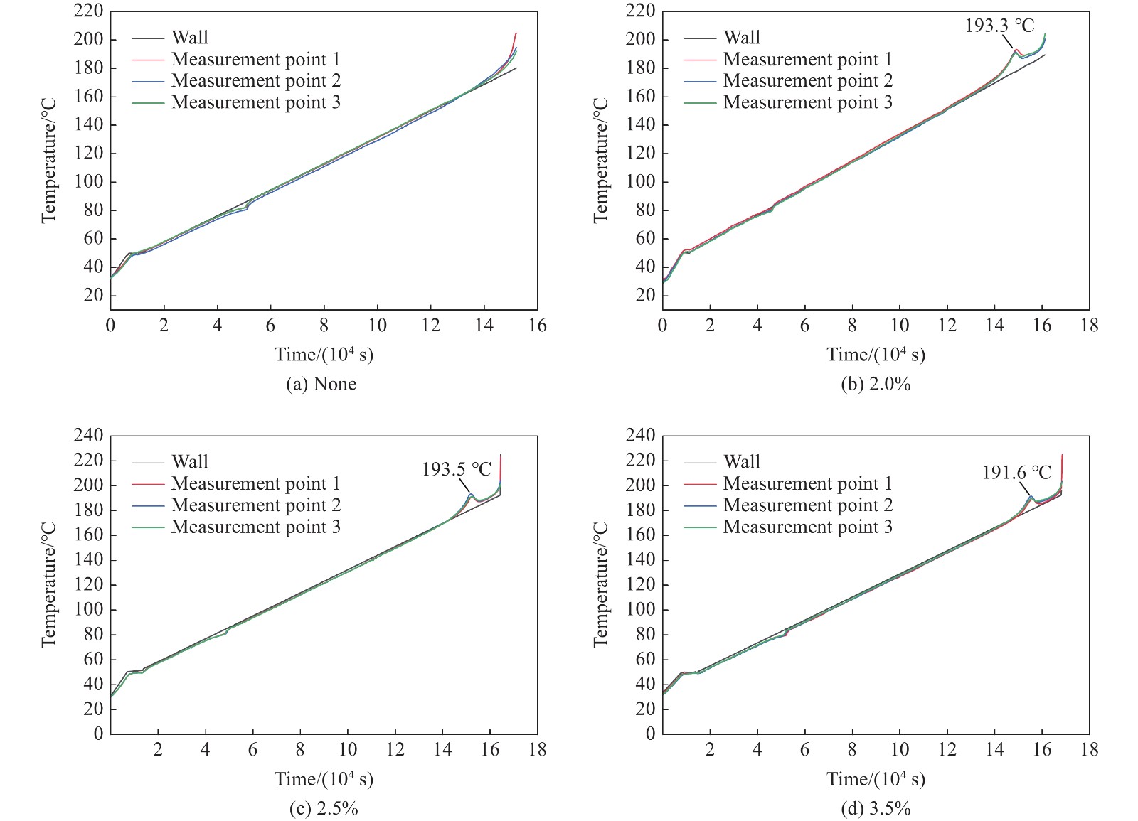
摘要: 为了研究装药在缓释结构作用下的响应特性,设计了弹药烤燃系统及弹体泄压装置,分析了B炸药在热刺激作用下泄压装置对响应烈度的影响,得到了B炸药在泄压结构作用下的升温曲线与响应结果。结果表明,无泄压孔时,装药的响应等级为爆轰反应,装药的响应温度较低,响应时间较短。泄压孔面积为装药面积的2.0%时,装药的响应等级为爆轰反应;泄压孔面积为装药面积的2.5%和3.5%时,装药的响应等级均为燃烧。弹药临近响应时刻冲开泄压孔,降低了炸药内部温度,延长了响应时间。通过数值模拟得到了装药内部温度的分布情况,响应时刻炸药温度呈层状分布,炸药响应点位于炸药顶部。RDX的分解放热是B炸药点火的主要原因。弹药泄压结构可以有效降低弹药响应的剧烈程度,提高装药的热安全性。Abstract: In order to study the response characteristics of ammunition under the venting structure, the cook-off system of ammunition and the venting structure were designed, and the influence of the venting structure on the response intensity of Composition B under the thermal stimulation was studied. The temperature rise curve and response of Composition B with the venting structure were also obtained. The results show that the response level of the ammunition is detonation reaction without venting structure, and the response temperature of the ammunition is relatively low, and the response time is relatively short. When the area of the venting structure is 2.0% of the charge area, the response level of the ammunition is detonation response, and when the area of the venting structure is 2.5% and 3.5% of the charge area, the response level of the ammunition is combustion. When the ammunition approaches the response time, the venting structure is opened, which reduces the internal temperature of the explosive and prolongs the response time. The temperature distribution inside the ammunition is obtained by numerical simulation. The explosive temperature is distributed in layers at the response time, and the response point of explosive is located at the top of the explosive. The decomposition of RDX is the main factor in the ignition of Composition B. The pressure relief structure of ammunition can effectively reduce the response intensity of ammunition and improve the thermal safety of ammunition.
-
Key words:
- slow cook-off /
- venting structure /
- Composition B /
- response characteristics
-
表 1 响应时刻炸药内部各点温度分布
Table 1. Temperature distribution of each point inside the explosive at the response time
d/mm Heating rate/(℃·h−1) Response level Response time/h Temperature/℃ Venting size Wall Point 1 Point 2 Point 3 35 3.3 Detonation 42.2 180.3 204.9 194.7 192.1 None 3.3 Detonation 44.8 189.7 200.6 200.7 204.6 2.0% 3.3 Combustion 45.7 192.5 223.5 204.6 201.4 2.5% 3.3 Combustion 46.8 196.2 225.2 203.8 202.1 3.5% 表 2 炸药和壳体的材料参数及化学反应动力学参数
Table 2. Material parameters and chemical reaction kinetic parameters of explosives and shells
Material $ \;\rho $/($ \rm kg\cdot {m}^{-3} $) C/$ (\rm J\cdot {kg}^{-1}\cdot {K}^{-1}) $ i $Q/\rm(MJ\cdot {kg}^{-1} )$ $E/\rm (MJ\cdot {mol}^{-1} )$ $Z/{\rm s}^{-1}$ RDX 1 640 1 130 1 0.268 0.204 6.40 × 1017 2 −8.030 0.189 4.74 × 1017 3 −65.600 0.143 9.54 × 1014 TNT 1 510 1 611 4 0.126 0.195 1.59 × 1015 5 −0.340 0.160 1.96 × 1012 6 −0.340 0.147 2.39 × 1011 Steel 8 030 502.48 表 3 试验与仿真结果
Table 3. Experimental and simulation results
Method Temperature/℃ Wall Point 1 Point 2 Point 3 Test 180.3 204.9 194.7 192.1 Simulation 186.5 202.3 197.6 192.9 Relative error 3.4% −1.3% 1.5% 0.4% -
[1] 刘子德, 智小琦, 王帅, 等. 几何尺寸对DNAN基熔铸炸药慢烤响应特性的影响 [J]. 火炸药学报, 2019, 42(1): 63–68.LIU Z D, ZHI X Q, WANG S, et al. Effect of geometric dimensions on slow cook off response characteristics of DNAN-based melt-casting explosive [J]. Chinese Journal of Explosives & Propellants, 2019, 42(1): 63–68. [2] 邓海, 沈飞, 梁争峰, 等. 不同约束条件下B炸药的慢烤响应特性 [J]. 火炸药学报, 2018, 41(5): 465–470.DENG H, SHEN F, LIANG Z F, et al. Slow cook off response characteristics of composition of Composition B under different constraints [J]. Chinese Journal of Explosives & Propellants, 2018, 41(5): 465–470. [3] 代晓淦, 黄毅民, 吕子剑, 等. 不同升温速率热作用下PBX-2炸药的响应规律 [J]. 含能材料, 2010, 18(3): 282–285. doi: 10.3969/j.issn.1006-9941.2010.03.010DAI X G, HUANG Y M, LÜ Z J, et al. Rection behavior for PBX-2 explosive at different heating rate [J]. Chinese Journal of Energetic Materials, 2010, 18(3): 282–285. doi: 10.3969/j.issn.1006-9941.2010.03.010 [4] 戴湘晖, 段建, 沈子楷, 等. 侵彻弹体慢速烤燃响应特性实验研究 [J]. 兵工学报, 2020, 41(2): 291–297.DAI X H, DUAN J, SHEN Z K, et al. Experiment of slow cook-off response characteristics of penetrator [J]. Acta Armamentarii, 2020, 41(2): 291–297. [5] 刘子德, 智小琦, 周捷, 等. 药量和升温速率对DNAN基熔铸炸药烤燃特性的影响 [J]. 爆炸与冲击, 2019, 39(1): 20–24.LIU Z D, ZHI X Q, ZHOU J, et al. Influence of explosive mass and heating rate on cook-off response characteristics of DNAN based casting explosive [J]. Explosion and Shock Waves, 2019, 39(1): 20–24. [6] KELLEY S. Venting techniques for penetrator warheads [C]//Insensitive Munitions & Energetic Materials Technology Symposium. Munich, Germany: National Defense Industrial Association & Insensitive Munitions European Manufacturers Group, 2010. [7] MADSEN T, DEFISHER S, BAKER E L, et al. Explosive venting technology for cook-off response mitigation: ARMET-TR-10003 [R]. Picatinny Arsenal, NJ: Munitions Engineering Technology Center, 2010. [8] 沈飞, 王胜强, 王辉. HMX基含铝炸药装药慢烤缓释结构设计及验证 [J]. 含能材料, 2019, 27(10): 861–866. doi: 10.11943/CJEM2018273SHEN F, WANG S Q, WANG H. Slow release structure design and verification of HMX-based aluminized explosive charge under slow cook-off condition [J]. Chinese Journal of Energetic Materials, 2019, 27(10): 861–866. doi: 10.11943/CJEM2018273 [9] GRAHAM K J. Mitigation of fuel fire threat to large rocket motors by venting [C]//Insensitive Munitions & Energetic Materials Symposium. Munich, Germany: National Defense Industrial Association & Insensitive Munitions European Manufacturers Group, 2010. [10] KINNEY G F, SEWELL R G S.Venting of explosions: NWC-TM 2448 [R]. China Lake, CA: Naval Weapons Center, 1974. [11] 任玉新, 陈海昕. 计算流体力学基础[M]. 北京: 清华大学出版社, 2006.REN Y X, CHEN H X. Fundamentals of computational fluid dynamics [M]. Beijing: Tsinghua University Press, 2006. [12] MCGUIRE R R, TARVER C M. Chemical-decomposition models for the thermal explosion of confined HMX, TATB, RDX, and TNT explosives [C]//7th International Symposium on Detonation. Annapolis, Maryland, US: Office of Naval Research, 1981. [13] 陈朗, 王沛, 冯长根. 考虑相变的炸药烤燃数值模拟计算 [J]. 含能材料, 2009, 17(5): 568–573. doi: 10.3969/j.issn.1006-9941.2009.05.017CHEN L, WANG P, FENG C G. Numerical simulation of cook-off about phase transition of explosive [J]. Chinese Journal of Energetic Materials, 2009, 17(5): 568–573. doi: 10.3969/j.issn.1006-9941.2009.05.017 [14] CHEN L, MA X, LU F, et al. Investigation of the cook-off processes of HMX-based mixed explosives [J]. Central European Journal of Energetic Materials, 2014, 11(2): 199–218. [15] MACOSKO C W. Rheology principles, measurements and applications [M]. New York: VCH, 1994: 92–98. [16] 周捷, 智小琦, 王帅, 等. B炸药慢速烤燃过程的流变特性 [J]. 爆炸与冲击, 2020, 40(5): 052301.ZHOU J, ZHI X Q, WANG S, et al. Rheological properties of Composition B in slow cook-off process [J]. Explosion and Shock Waves, 2020, 40(5): 052301. [17] 蒲翰涛, 王星, 赵寒月, 等. RDX基PBX药柱烤燃过程的数值模拟 [J]. 含能材料, 2016, 24(10): 985–989. doi: 10.11943/j.issn.1006-9941.2016.10.011PU H T, WANG X, ZHAO H Y, et al. Numerical simulation the cook-off of RDX-based PBX cylinder [J]. Chinese Journal of Energetic Materials, 2016, 24(10): 985–989. doi: 10.11943/j.issn.1006-9941.2016.10.011 [18] MCCLELLAND M A, MAIENSCHEIN J L, REAUGH J E, et al. ALE3D model predictions and experimental analysis of the cook-off response of Comp B [C]//Joint Army Navy NASA Air Force Meeting. Colorado Springs, CO, 2003: 51–64. -

下载: