Improvement of Emulsification Performance of Quinoa Protein by Ultra-High Pressure Treatment
-
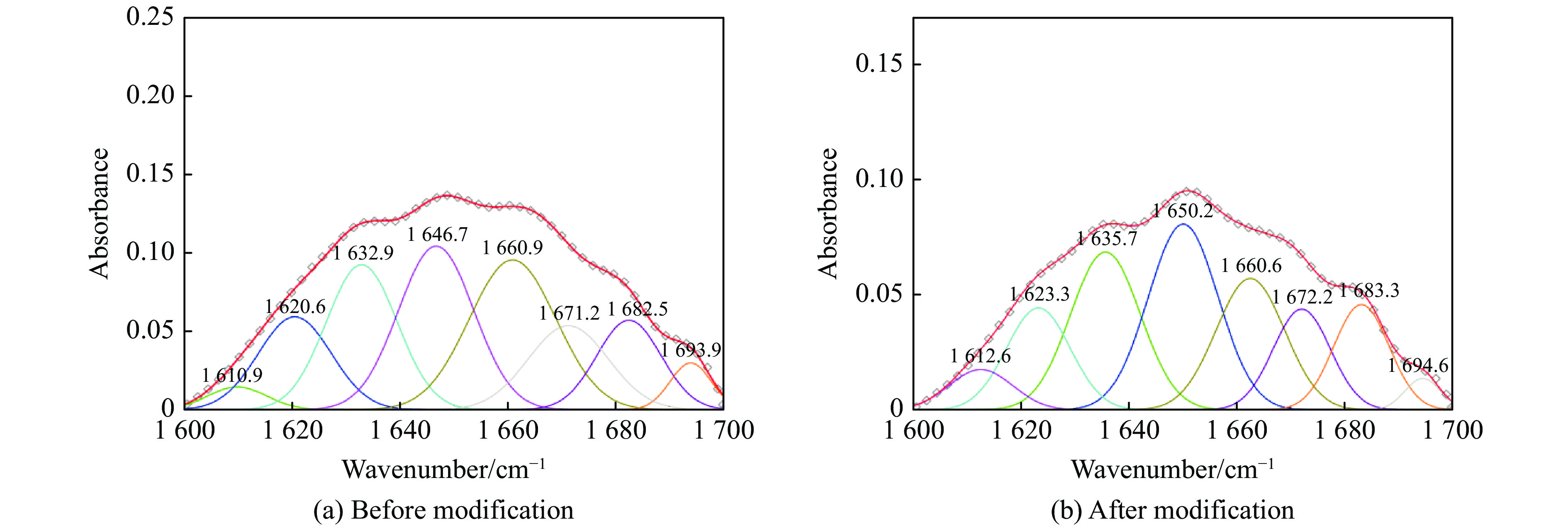
摘要: 利用超高压处理藜麦蛋白,研究超高压保压压力、超高压保压时间及蛋白质量分数对藜麦蛋白乳化性的影响。采用响应面法优化超高压处理条件,得到最佳工艺条件,并利用傅里叶红外光谱、粒度仪、X射线衍射(XRD)等表征方法分析乳液蛋白质的表面性质及结构特征。结果表明:保压压力为235 MPa、保压时间为5.2 min、蛋白质量分数为0.34%时,乳化指数为119 m2/g。同时,由傅里叶红外光谱分析蛋白二级结构可知,变性后藜麦蛋白的α-螺旋结构含量降低,β-转角结构含量增加,分子无序性增加,蛋白乳化性提高。XRD分析发现,改性后蛋白在2
$\theta $ = 10°附近的峰强度明显减小,说明α-螺旋结构含量降低。改性后乳液蛋白粒度减小,其乳化性提升。因此,适当的超高压处理可以改善藜麦蛋白的乳化性。Abstract: In our study, ultra-high pressure was used to process quinoa protein, and how to exert influence on the emulsification of quinoa protein was investigated in terms of the ultra-high pressure holding pressure and time, and the protein content as well. Via the response surface method, the ultra-high pressure processing were optimized and the best optimal process conditions were obtained. Then the surface properties and structural characteristics of the emulsion protein were analyzed by means of the Fourier infrared spectroscopy, particle size analyzer, X-ray diffraction(XRD) and other characterization methods. The results show that: when the holding pressure stays at 235 MPa for 5.2 min, and the protein content keeps 0.34%, the emulsification index is 119 m2/g; at the same time, the secondary structure of the protein can be seen from the Fourier infrared spectroscopy. There is a decrease in the structure content but increase on both the β-turn structure content and the molecular disorder, and the protein emulsification is improved. Analyzing the modified protein by XRD, it can be seen that the strength is significantly reduced at a peak near 2$\theta $ = 10° and the content of α-helical structure gets reduced. After modification, the particle size of the emulsion protein is reduced, while its emulsification is improved. Thus, it can come to the conclusion that a proper ultra-high pressure treatment can lead to an improvement of the quinoa protein emulsification.-
Key words:
- ultra-high pressure /
- quinoa protein /
- emulsification /
- response surface method
-
表 1 响应面分析法的因素-水平表
Table 1. Factors and levels of response surface method
Levels Factors p/MPa t/min M/% −1 200 3 0.2 0 250 6 0.4 1 300 9 0.6 表 2 响应面分析方案及实验结果
Table 2. Experimental design and results of response surface method
Test No. Levels aEAI/(m2·g−1) p t M 1 1 1 0 91 2 0 1 −1 94 3 0 0 0 121 4 0 −1 1 80 5 1 −1 0 102 6 0 0 0 112 7 −1 −1 0 111 8 0 0 0 125 9 1 0 1 69 10 −1 0 1 82 11 0 0 0 120 12 −1 0 −1 109 13 0 1 1 71 14 1 0 −1 99 15 0 0 0 128 16 −1 1 0 105 17 0 −1 −1 110 表 3 线性回归分析结果
Table 3. Results of linear regression analysis
Source of variation Quadratic sum Mean square Degree of freedom F P Model** 5162.73 573.64 9 25.61 0.0002 p* 264.50 264.50 1 11.81 0.0109 t* 220.50 220.50 1 9.84 0.0164 M** 1512.50 1512.50 1 67.52 < 0.0001 pt 6.25 6.25 1 0.28 0.6137 pM 2.25 2.25 1 0.10 0.7605 tM 12.25 12.25 1 0.55 0.4837 p2** 339.16 339.16 1 15.14 0.0060 t2** 418.95 418.95 1 18.70 0.0035 M2** 2126.84 2126.84 1 94.95 < 0.0001 Residual 156.80 22.40 7 Lack of fit 10.00 3.33 3 0.091 0.9613 Pure error 146.80 36.70 4 Cor total 5319.53 16 表 4 藜麦蛋白改性前、后蛋白质二级结构的含量
Table 4. Secondary structure content of quinoa protein before and after modification
Protein Content/% β-turn Random coil α-helix β-sheet Original protein 31.66 21.27 22.38 24.69 Modified protein 36.63 23.76 16.46 25.15 -
[1] ZURITA-SILVA A, FUENTES F, ZAMORA P, et al. Breeding quinoa (Chenopodium quinoa willd.): potential and perspectives [J]. Molecular Breeding, 2014, 34(1): 13–30. doi: 10.1007/s11032-014-0023-5 [2] OSHODI A A, OGUNGBENLE H N, OLADIMEJI M O, et al. Chemical composition, nutritionally valuable minerals and functional properties of benniseed (Sesamum radiatum), pearl millet (Pennisetum typhoides) and quinoa (Chenopodium quinoa) flours [J]. International Journal of Food Sciences and Nutrition, 1999, 50(5): 325–331. doi: 10.1080/096374899101058 [3] GALLEGO VILLA D Y, RUSSO L, KERBAB K, et al. Chemical and nutritional characterization of Chenopodium pallidicaule (cañihua) and Chenopodium quinoa (quinoa) seeds [J]. Emirates Journal of Food and Agriculture, 2014, 26(7): 609–615. doi: 10.9755/ejfa.v26i7.18187 [4] 王黎明, 马宁, 李颂, 等. 藜麦的营养价值及其应用前景 [J]. 食品工业科技, 2014, 35(1): 381–384, 389.WANG L M, MA N, LI S, et al. Nutritional properties of quinoa and its application prospects [J]. Science and Technology of Food Industry, 2014, 35(1): 381–384, 389. [5] KOZIOŁ M J. Chemical composition and nutritional evaluation of quinoa (Chenopodium quinoa Willd.) [J]. Journal of Food Composition and Analysis, 1992, 5(1): 35–68. doi: 10.1016/0889-1575(92)90006-6 [6] REPO-CARRASCO R, ESPINOZA C, JACOBSEN S E. Nutritional value and use of the andean crops quinoa (Chenopodium quinoa) and kañiwa (Chenopodium pallidicaule) [J]. Food Reviews International, 2003, 19(1/2): 179–189. doi: 10.1081/FRI-120018884 [7] CAPRIOTTI A L, CAVALIERE C, PIOVESANA S, et al. Characterization of quinoa seed proteome combining different protein precipitation techniques: improvement of knowledge of nonmodel plant proteomics [J]. Journal of Separation Science, 2015, 38(6): 1017–1025. doi: 10.1002/jssc.201401319 [8] 王晨静, 赵习武, 陆国权, 等. 藜麦特性及开发利用研究进展 [J]. 浙江农林大学学报, 2014, 31(2): 296–301. doi: 10.11833/j.issn.2095-0756.2014.02.020WANG C J, ZHAO X W, LU G Q, et al. A review of characteristics and utilization of Chenopodium quinoa [J]. Journal of Zhejiang A & F University, 2014, 31(2): 296–301. doi: 10.11833/j.issn.2095-0756.2014.02.020 [9] HYUN D H, LEE M H, HALLIWELL B, et al. Proteasomal inhibition causes the formation of protein aggregates containing a wide range of proteins, including nitrated proteins [J]. Journal of Neurochemistry, 2003, 86(2): 363–373. doi: 10.1046/j.1471-4159.2003.01841.x [10] 王龙飞, 王新伟, 赵仁勇. 藜麦蛋白的特点、性质及提取的研究进展 [J]. 食品工业, 2017, 38(7): 255–258.WANG L F, WANG X W, ZHAO R Y. A review of characteristic, properties and extraction of quinoa protein [J]. The Food Industry, 2017, 38(7): 255–258. [11] JAMBRAK A R, MASON T J, LELAS V, et al. Effect of ultrasound treatment on solubility and foaming properties of whey protein suspensions [J]. Journal of Food Engineering, 2008, 86(2): 281–287. doi: 10.1016/j.jfoodeng.2007.10.004 [12] 张海芳, 李艳, 韩育梅, 等. 酶法改性对马铃薯渣膳食纤维单糖组分及理化性质的影响 [J]. 食品研究与开发, 2020, 41(1): 60–66. doi: 10.12161/j.issn.1005-6521.2020.01.010ZHANG H F, LI Y, HAN Y M, et al. Effects of different enzymatic modifications on monosaccharide composition and physicochemical properties of dietary fiber from potato pulp [J]. Food Research and Development, 2020, 41(1): 60–66. doi: 10.12161/j.issn.1005-6521.2020.01.010 [13] ZHONG Q, JIN M. Enhanced functionalities of whey proteins treated with supercritical carbon dioxide [J]. Journal of Dairy Science, 2008, 91(2): 490–499. doi: 10.3168/jds.2007-0663 [14] OEY I, LILLE M, VAN LOEY A, et al. Effect of high-pressure processing on colour, texture and flavour of fruit- and vegetable-based food products: a review [J]. Trends in Food Science & Technology, 2008, 19(6): 320–328. doi: 10.1016/j.jpgs.2008.04.001 [15] 易建勇, 董鹏, 王永涛, 等. 应用SRCD和FTIR分析超高压处理对蘑菇多酚氧化酶二级结构的影响 [J]. 光谱学与光谱分析, 2012, 32(2): 317–323. doi: 10.3964/j.issn.1000-0593(2012)02-0317-07YI J Y, DONG P, WANG Y T, et al. Study on the effect of high hydrostatic pressure treatment on the secondary structure of mushroom polyphenoloxidase by SRCD and FTIR [J]. Spectroscopy and Spectral Analysis, 2012, 32(2): 317–323. doi: 10.3964/j.issn.1000-0593(2012)02-0317-07 [16] 王硕, 黄薇, 王金荣, 等. 食品非热加工技术——超高压在蛋白质和淀粉改性中的应用 [J]. 中国食品学报, 2015, 15(6): 1–13. doi: 10.16429/j.1009-7848.2015.06.001WANG S, HUANG W, WANG J R, et al. Non-thermal processing technologies of food-the application of ultrahigh pressure in protein and starch modification [J]. Journal of Chinese Institute of Food Science and Technology, 2015, 15(6): 1–13. doi: 10.16429/j.1009-7848.2015.06.001 [17] 刘坚, 江波, 张涛, 等. 超高压对鹰嘴豆分离蛋白功能性质的影响 [J]. 食品与发酵工业, 2006, 32(12): 64–68. doi: 10.3321/j.issn:0253-990X.2006.12.015LIU J, JIANG B, ZHANG T, et al. Effect of ultra high pressure on the functional properties of chickpea protein isolate [J]. Food and Fermentation Industries, 2006, 32(12): 64–68. doi: 10.3321/j.issn:0253-990X.2006.12.015 [18] JIANG J, CHEN J, XIONG Y L. Structural and emulsifying properties of soy protein isolate subjected to acid and alkaline pH-shifting processes [J]. Journal of Agricultural and Food Chemistry, 2009, 57(16): 7576–7583. doi: 10.1021/jf901585n [19] SUREWICZ W K, MANTSCH H H. New insight into protein secondary structure from resolution-enhanced infrared spectra [J]. Biochimica et Biophysica Acta (BBA)-Protein Structure and Molecular Enzymology, 1988, 952: 115–130. doi: 10.1016/0167-4838(88)90107-0 [20] 胡淼, 赵城彬, 李杨, 等. 糖基化反应对绿豆分离蛋白空间结构及乳液性质的影响 [J]. 中国食品学报, 2018, 18(11): 50–56.HU M, ZHAO C B, LI Y, et al. Effect of glycation reaction on spatial structure conformation and emulsion properties of mung bean protein isolate [J]. Journal of Chinese Institute of Food Science and Technology, 2018, 18(11): 50–56. [21] 李仁杰, 廖小军, 胡小松, 等. 超高压对蛋白质的影响 [J]. 高压物理学报, 2014, 28(4): 498–506. doi: 10.11858/gywlxb.2014.04.017LI R J, LIAO X J, HU X S, et al. Effects of high hydrostatic pressure on proteins [J]. Chinese Journal of High Pressure Physics, 2014, 28(4): 498–506. doi: 10.11858/gywlxb.2014.04.017 [22] 李明月, 杜钰, 姚晓玲, 等. 超高压处理对蛋白质功能特性的影响 [J]. 食品科技, 2018, 43(1): 50–54.LI M Y, DU Y, YAO X L, et al. Effects of ultrahigh pressure processing on protein functional properties [J]. Food Science and Technology, 2018, 43(1): 50–54. [23] 王岁楼, 张国超. 超高压对小麦蛋白乳化性和乳化稳定性的影响 [J]. 食品与机械, 2008, 24(2): 9–11.WANG S L, ZHANG G C. Effects of ultra-high pressure on the emulsification activity and stability of wheat protein [J]. Food & Machinery, 2008, 24(2): 9–11. [24] 袁道强, 郭书爱. 超高压对大豆分离蛋白乳化性影响 [J]. 粮食与油脂, 2009(12): 23–25. doi: 10.3969/j.issn.1008-9578.2009.12.008YUAN D Q, GUO S A. Effects of ultra-high pressure on emulsifying properties of soy protein isolated [J]. Journal of Cereals & Oils, 2009(12): 23–25. doi: 10.3969/j.issn.1008-9578.2009.12.008 [25] 纵伟, 陈怡平. 超高压对花生分离蛋白乳化性的影响 [J]. 中国油脂, 2008, 33(3): 26–28. doi: 10.3321/j.issn:1003-7969.2008.03.007ZONG W, CHEN Y P. Effect of ultra high pressure on the emulsifying ability of peanut protein isolate [J]. China Oils and Fats, 2008, 33(3): 26–28. doi: 10.3321/j.issn:1003-7969.2008.03.007 [26] FLOURY J, DESRUMAUX A, LEGRAND J. Effect of ultra-high-pressure homogenization on structure and on rheological properties of soy protein-stabilized emulsions [J]. Journal of Food Science, 2002, 67(9): 3388–3395. doi: 10.1111/j.1365-2621.2002.tb09595.x [27] HASSAN POUR A, SAFIEDDIN ARDEBILI S M, SHEIKHDAVOODI M J. Multi-objective optimization of diesel engine performance and emissions fueled with diesel-biodiesel-fusel oil blends using response surface method [J]. Environmental Science and Pollution Research, 2018, 25(35): 35429–35439. doi: 10.1007/s11356-018-3459-z [28] 刘龙. 牦牛乳清蛋白泡沫分离及功能特性改善研究[D]. 青海: 青海师范大学, 2018. [29] 汪超, 李阜烁, 林文珍, 等. 响应面法优化酪蛋白源多肽制备工艺 [J]. 中国乳品工业, 2018, 46(12): 4–8. doi: 10.3969/j.issn.1001-2230.2018.12.001WANG C, LI F S, LIN W Z, et al. Optimization of preparing casein derived peptides by response surface methodology [J]. China Dairy Industry, 2018, 46(12): 4–8. doi: 10.3969/j.issn.1001-2230.2018.12.001 [30] BARTH A. Infrared spectroscopy of proteins [J]. Biochimica et Biophysica Acta (BBA)-Bioenergetics, 2007, 1767(9): 1073–1101. doi: 10.1016/j.bbabio.2007.06.004 [31] CHOI S M, MA C Y. Structural characterization of globulin from common buckwheat (Fagopyrum esculentum Moench) using circular dichroism and Raman spectroscopy [J]. Food Chemistry, 2007, 102(1): 150–160. doi: 10.1016/j.foodchem.2006.05.011 [32] 赵贵川. 超高压处理对米渣蛋白水解物抗氧化活性的影响[D]. 长沙: 中南林业科技大学, 2016. [33] 李超, 蒲彪, 罗松明, 等. pH和NaCl浓度对花椒籽仁分离蛋白乳化性的影响 [J]. 食品与发酵工业, 2017, 43(6): 92–97. doi: 10.13995/j.cnki.11-1802/ts.201706015LI C, PU B, LUO S M, et al. Emulsifing properties of Zanthoxylum bungeanum Maxim seed kernel protein isolate: effect of pH and NaCl concentration [J]. Food and Fermentation Industries, 2017, 43(6): 92–97. doi: 10.13995/j.cnki.11-1802/ts.201706015 [34] BENDIT E G. A quantitative X-ray diffraction study of the α-β transformation in wool keratin [J]. Textile Research Journal, 1960, 30(8): 547–555. doi: 10.1177/004051756003000801 [35] ZHAO X Y, ZHU H T, ZHANG B W, et al. XRD, SEM, and XPS analysis of soybean protein powders obtained through extraction involving reverse micelles [J]. Journal of the American Oil Chemists’ Society, 2015, 92(7): 975–983. doi: 10.1007/s11746-015-2657-9 -



下载: