Hemispherical and Flat Head Cylindrical Specimen Taylor Impact
-
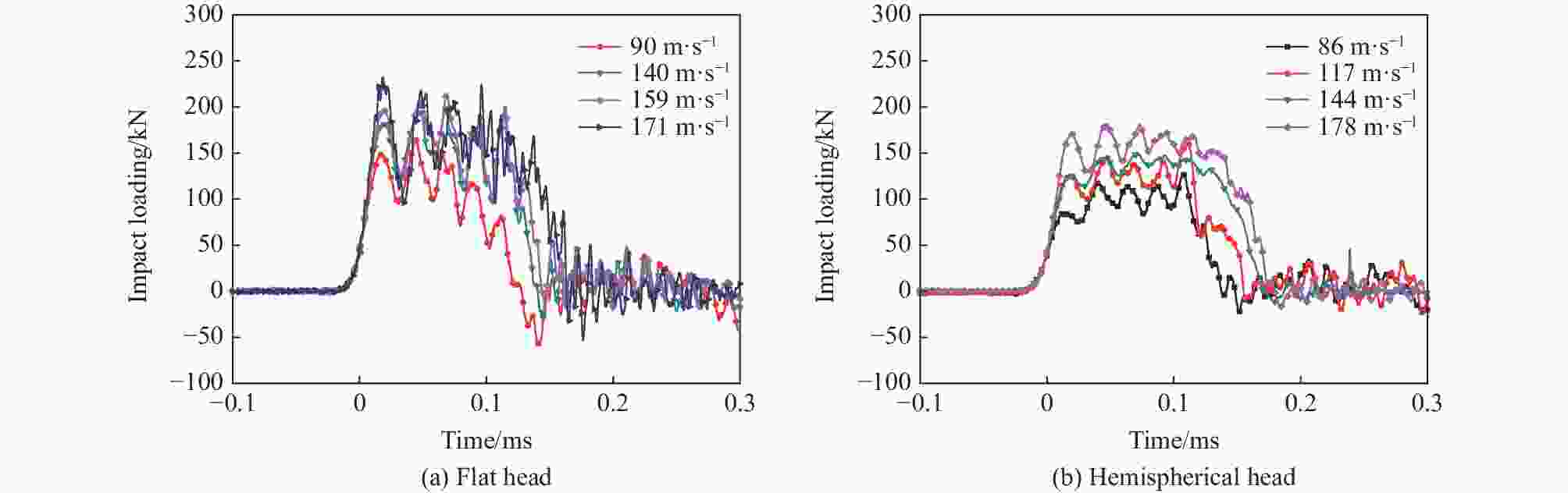
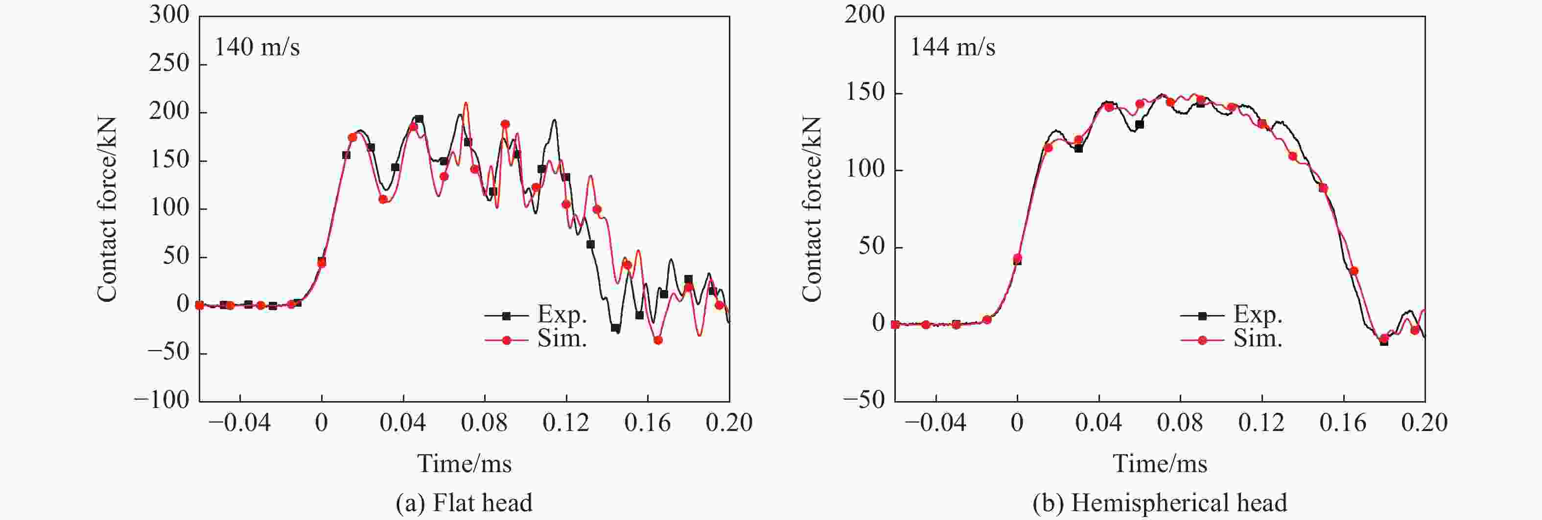
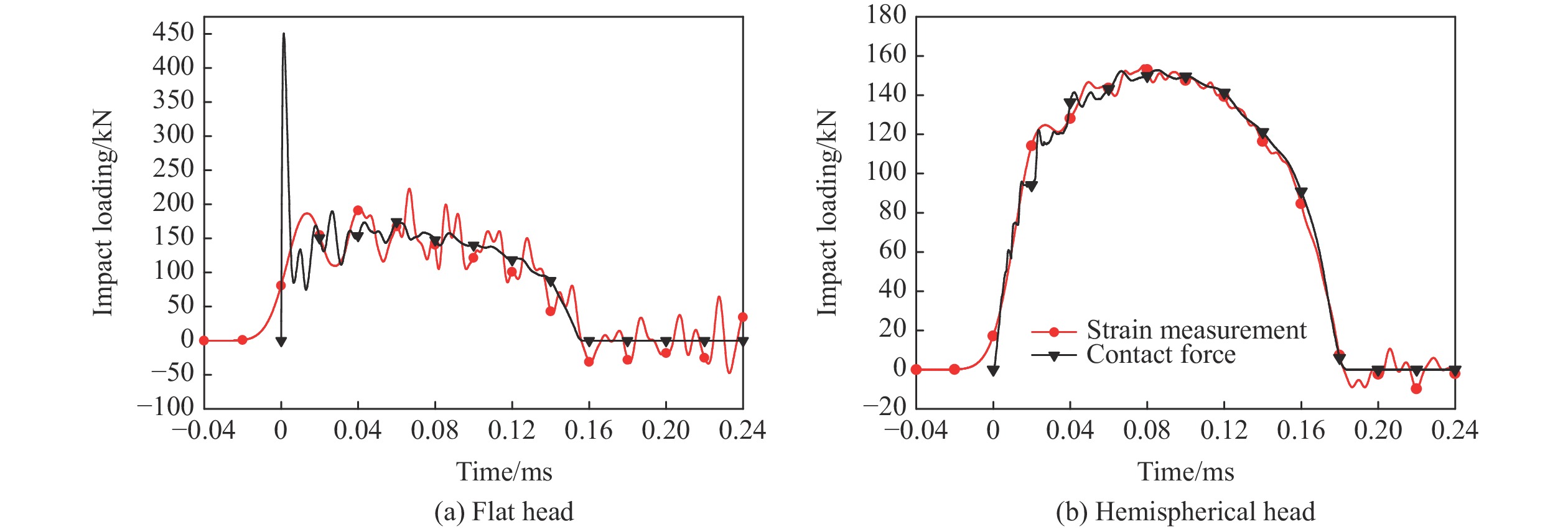
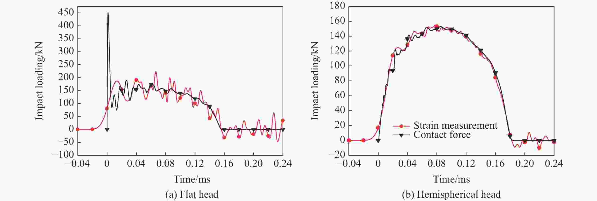
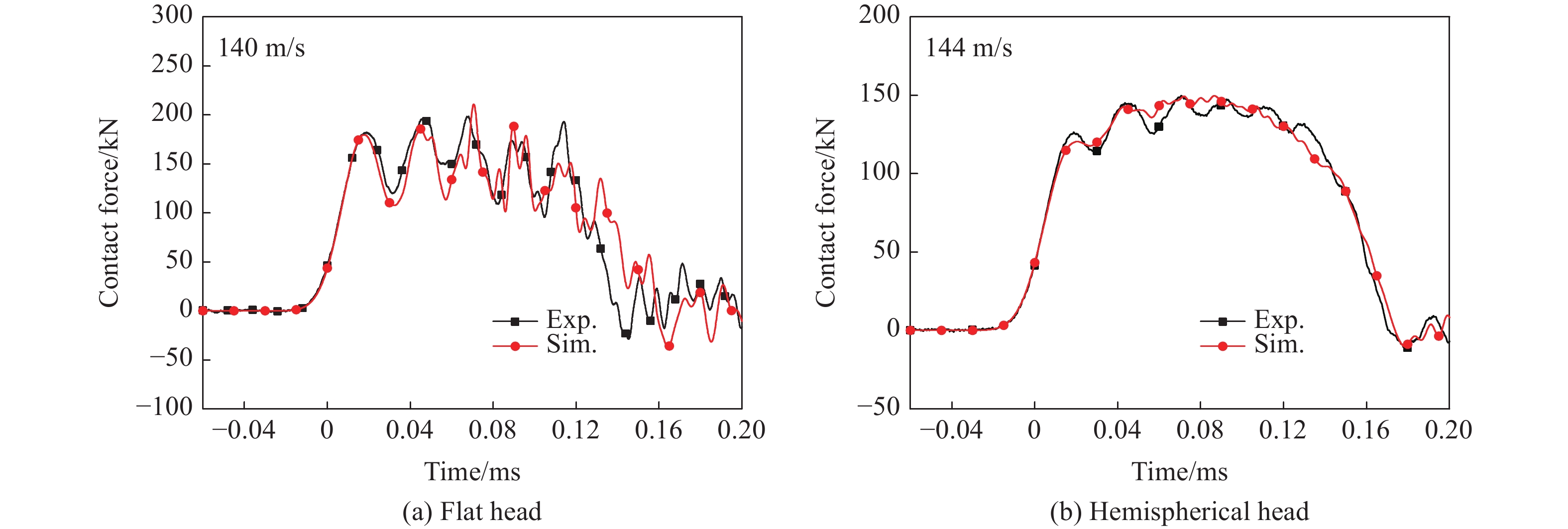
摘要: 为研究不同头型对泰勒(Taylor)撞击载荷的影响,在材料静动态力学性能实验和Taylor撞击实验的基础上进行数值模拟,分析试件在撞击过程中的接触力、速度和外形尺寸等参量的变化历程。结果表明:在相同的撞击速度下,半球头试件的塑性变形程度更大;半球头试件的撞击载荷上升沿变缓,载荷脉冲时间增长,而两种试件的载荷平台段幅值相当。根据实验和数值模拟结果,进一步分析了霍普金森杆测试Taylor撞击载荷历程的适用性。Abstract: In order to understand the impact loading of Taylor impact process with head shape changes, numerical simulation studies were carried out on the basis of static and dynamic mechanical performance experiments and Taylor impact experiments, and the contact force, velocity and dimensions of the specimen during the impact process were studied. The change history of the parameters is analyzed. The results show that: under the same impact speed, the plastic deformation of the hemispherical head specimen is greater; the impact load of the hemispherical head specimen has a slower rising edge and the load pulse time increases, and the amplitude of the load platform section of the two specimens is almost the same. According to the results of experiments and numerical simulations, the applicability of Hopkinson bar measuring Taylor impact load history was further analyzed and discussed.
-
Key words:
- Taylor impact /
- hemispherical head /
- impact load /
- strain measuring
-
表 1 材料参数
Table 1. Material parameters
Material $\;\rho $/(g·cm−3) E/GPa $\;\mu $ $\dot \varepsilon_{\rm{s} }$/s−1 cp/[J·(kg·℃)−1] A/MPa 3A21 2.73 70 0.32 0.001 880 90 7A04 2.85 72 0.31 Material B/MPa C n m Tm/℃ Tt/℃ 3A21 216 0.01 0.31 0.8 600 25 -
[1] FIELD J E, WALLEY S M, PROUD W G, et al. Review of experimental techniques for high rate deformation and shock studies [J]. International Journal of Impact Engineering, 2004, 30(7): 725–775. doi: 10.1016/j.ijimpeng.2004.03.005 [2] TAYLOR G I. The use of flat-ended projectiles for determining dynamic yield stress I. theoretical considerations [J]. Proceedings of the Royal Society of London. Series A, Mathematical and Physical Sciences, 1948, 194(1038): 289–299. doi: 10.1098/rspa.1948.0081 [3] LEE E H, TUPPER S J. Analysis of plastic deformation in a steel cylinder striking a rigid target [J]. Journal of Applied Mechanics, 1954, 21(1): 63–70. [4] HAWKYARD J B. A theory for the mushrooming of flat-ended projectiles impinging on a flat rigid anvil, using energy considerations [J]. International Journal of Mechanical Sciences, 1969, 11(3): 313–333. doi: 10.1016/0020-7403(69)90049-6 [5] 钱伟长. 穿甲力学[M]. 北京: 国防工业出版社, 1984. [6] JONES S E, GILLIS P P, FOSTER J C JR, et al. A one-dimensional, two-phase flow model for taylor impact specimens [J]. Journal of Engineering Materials and Technology, 1991, 113(2): 228–235. doi: 10.1115/1.2903397 [7] JONES S E, MAUDLIN P J, FOSTER J C JR. An engineering analysis of plastic wave propagation in the Taylor test [J]. International Journal of Impact Engineering, 1997, 19(2): 95–106. doi: 10.1016/S0734-743X(96)00020-6 [8] JONES S E, DRINKARD J A, RULE W K. An elementary theory for the Taylor impact test [J]. International Journal of Impact Engineering, 1998, 21(1/2): 1–13. doi: 10.1016/S0734-743X(97)00036-5 [9] ZHANG W, XIAO X K, WEI G, et al. Evaluation of five fracture models in Taylor impact fracture [J]. AIP Conference Proceedings, 2012, 1426(1): 1125–1128. doi: 10.1063/1.3686477 [10] ROHR I, NAHME H, THOMA K. Material characterization and constitutive modelling of ductile high strength steel for a wide range of strain rates [J]. International Journal of Impact Engineering, 2005, 31(4): 401–433. doi: 10.1016/j.ijimpeng.2004.02.005 [11] KLEISER G, REVIL-BAUDARD B, PASILIAO C L. High strain-rate plastic deformation of molybdenum: experimental investigation, constitutive modeling and validation using impact tests [J]. International Journal of Impact Engineering, 2016, 96: 116–128. doi: 10.1016/j.ijimpeng.2016.05.019 [12] ABED F, JANKOWIAK T, RUSINEK A. Verification of a Thermoviscoplastic constitutive relation for brass material using Taylor’s test [J]. Journal of Engineering Materials and Technology, 2015, 137(4): 041005. doi: 10.1115/1.4030804 [13] MA S, ZHANG X, QIU X M. Comparison study of MPM and SPH in modeling hypervelocity impact problems [J]. International Journal of Impact Engineering, 2009, 36(2): 272–282. doi: 10.1016/j.ijimpeng.2008.07.001 [14] TURGUTLU A, AL-HASASNI S T S, AKYURT M. Impact deformation of polymeric projectiles [J]. International Journal of Impact Engineering, 1996, 18(2): 119–127. doi: 10.1016/0734-743X(95)00033-7 [15] 胡文军. 聚合物弹丸的碰撞行为研究 [D]. 重庆: 重庆大学, 2008.HU W J. Study on impact behavior of polymeric projectiles [D]. Chongqing: Chongqing University, 2008. [16] LOPATNIKOV S L, GAMA B A, HAQUE M J, et al. Dynamics of metal foam deformation during Taylor cylinder–Hopkinson bar impact experiment [J]. Composite Structures, 2003, 61(1/2): 61–71. doi: 10.1016/S0263-8223(03)00039-4 [17] RADFORD D D, DESHPANDE V S, FLECK N A. The use of metal foam projectiles to simulate shock loading on a structure [J]. International Journal of Impact Engineering, 2005, 31(9): 1152–1171. doi: 10.1016/j.ijimpeng.2004.07.012 [18] 《工程材料实用手册》编辑委员会. 工程材料实用手册: 第3卷-铝合金 镁合金[M]. 北京: 中国标准出版社, 2002. [19] 朱珏. 混凝土类材料冲击本构特性的SHPB技术及Lagrange反解法的研究[D]. 合肥: 中国科学技术大学, 2006.ZHU J. On SHPB Technique and Lagrangian analysis used for studying the impact response of concrete-like materials [D]. Hefei: University of Science and Technology of China, 2006. [20] 刘孝敏, 胡时胜. 大直径SHPB弥散效应的二维数值分析 [J]. 实验力学, 2000, 15(4): 371–376. doi: 10.3969/j.issn.1001-4888.2000.04.003LIU X M, HU S S. Two-dimensional numerical analysis for the dispersion of stress waves in large-diameter-SHPB [J]. Journal of Experimental Mechanics, 2000, 15(4): 371–376. doi: 10.3969/j.issn.1001-4888.2000.04.003 -

下载:

