Experiment and Simulation of Carbon Dioxide Hydrate Formation Mechanism under High Pressure
-
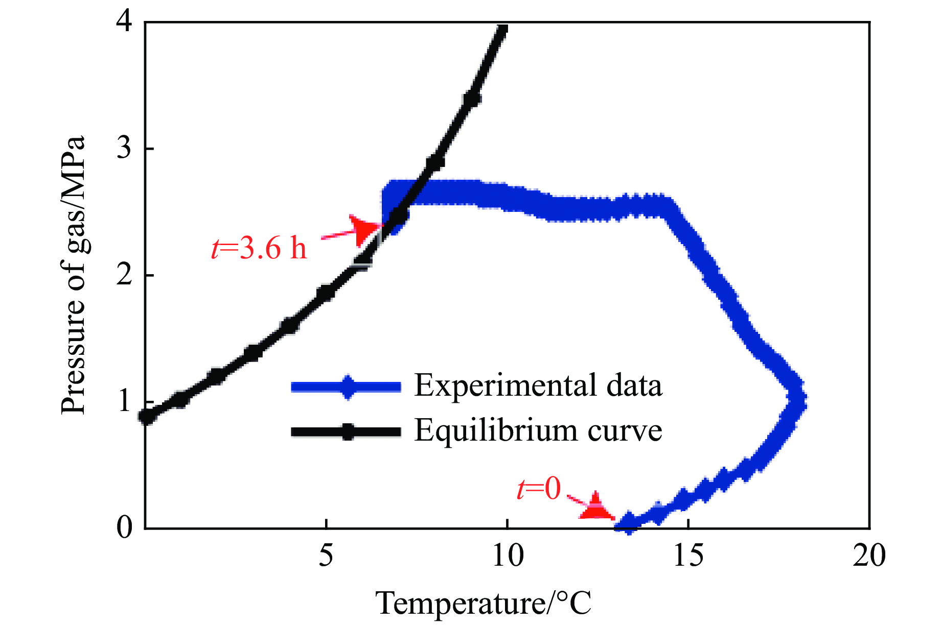
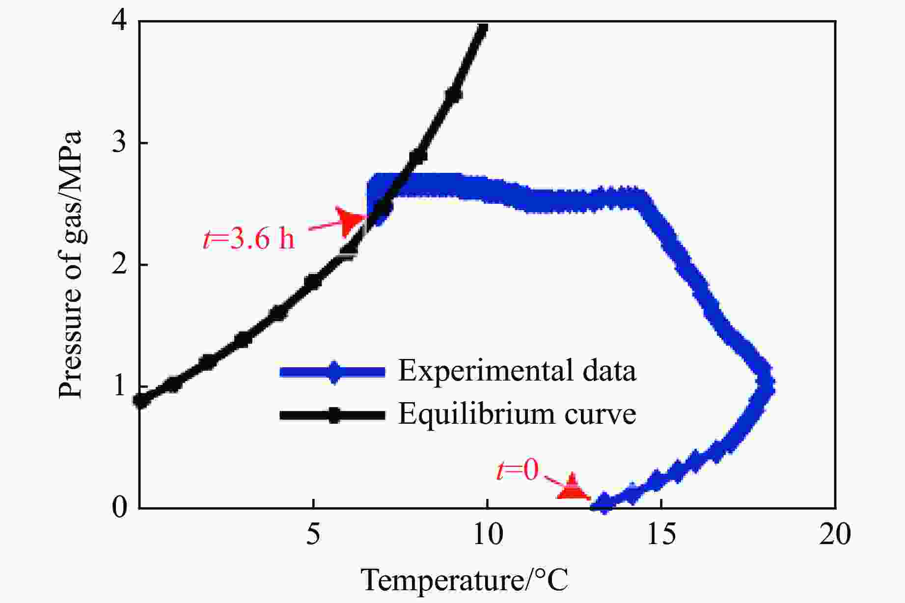
摘要: 温室气体CO2的捕捉和储存对减缓温室效应具有重大意义。CO2水合物法储存CO2具有效率高、储量大、易运输等优点。为了更高效制备CO2水合物,对其生成机理进行实验和模拟研究。通过建立水合物生成的热力学模型,对水合物生成条件进行预测,利用高压静态釜式反应容器开展水合物生成实验,通过温度压力数据验证模型的准确性。在选取化学势能差作为水合物生成驱动力的基础上建立气体消耗速率模型,并与实验结果对比,结果表明:模型的预测值与实验值相对吻合。在低于水合物相平衡温度的条件下,升高容器的内反应压力可以促进气-液质量交换过程,提高生成效率。在生成过程中测得不同位置的电阻率变化数据,发现容器内的电阻率随固态水合物的生成而升高,并且首先在容器上部靠近壁面处结晶、团聚。Abstract: The capturing and storage of green-house gas carbon dioxide are greatly significant to alleviation of green-house effect. The storage method producing carbon dioxide hydrate has advantages of high efficiency, large amount of storage, and easily transporting, etc. In order to provide suggestions for producing CO2 hydrate, experimental and modelling study of CO2 hydrate formation mechanism were initiated in this study. Hydrate formation thermodynamic model was established to give a prediction of temperature and pressure conditions for CO2 hydrate formation and made verification through the experimental data obtained by high-pressure constant reactor system. Hydrate formation kinetic model was built on the assumption that the chemical potential difference serves as the formation drive force. Compared with the experimental results, the model predicted results are agreed in tolerant discrepancy. Moreover, the pressure influence of reactor on CO2 hydrate formation rate was also analyzed. It is indicated that the escalation of pressure can stimulate the formation drive force under lower equilibrium temperature, prompting the gas-liquid mass transferring and production efficiency. Based on the change of electrical resistance ratio obtained from experimental record, CO2 hydrates firstly nucleate and agglomerate at top area of the reactor, additionally close to the wall.
-
表 1 多项式的各系数值
Table 1. Constants of the equations
a b c d e f g h j 7913.0 −206.9 −158.6 −728.6 25.0 −11.4 17.6 −42.2 21.4 -
[1] RODHE H. A comparison of the contribution of various gases to the greenhouse effect [J]. Science, 1990, 248(4960): 1217–1219. doi: 10.1126/science.248.4960.1217 [2] BACHU S, BONIJOLY D, BRADSHAW J, et al. CO2 storage capacity estimation: methodology and gaps [J]. International Journal of Greenhouse Gas Control, 2007, 4: 430–443. [3] LIU Y, WANG P, YANG M, et al. CO2 sequestration in depleted methane hydrate sandy reservoirs [J]. Journal of Natural Gas Science Engineering, 2018, 49: 428–434. doi: 10.1016/j.jngse.2017.10.023 [4] LI Q, FAN S, CHEN Q, et al. Experimental and process simulation of hydrate-based CO2 capture from biogas [J]. Journal of Natural Gas Science Engineering, 2019, 72: 103008. doi: 10.1016/j.jngse.2019.103008 [5] SLOANJR E D, KOH C. Clathrate hydrates of natural gases [M]. CRC Press, 2007. [6] SONG Y, WANG S, JIANG L, et al. Hydrate phase equilibrium for CH4-CO2-H2O system in porous media [J]. The Canadian Journal of Chemical Engineering, 2016, 94(8): 1592–1598. doi: 10.1002/cjce.22529 [7] 王金宝, 郭绪强, 陈光进, 等. 二氧化碳置换法开发天然气水合物的实验研究 [J]. 高校化学工程学报, 2007, 21(4): 173–177.WANG J B, GUO X Q, CHEN G J, et al. Experimental research on methane recovery from natural gas hydrate by carbon dioxide replacement [J]. Journal of Chemical Engineering of Chinese Universities, 2007, 21(4): 173–177. [8] FEYZI V, MOHEBBI V. Experimental study and modeling of the kinetics of carbon-dioxide hydrate formation and dissociation: a mass transfer limited kinetic approach [J]. Journal of Natural Gas Science and Engineering, 2020, 77: 103273. doi: 10.1016/j.jngse.2020.103273 [9] HERRI J M, BOUCHEMOUA A, KWATERSKI M, et al. Enhanced selectivity of the separation of CO2 from N2 during crystallization of semi-clathrates from quaternary ammonium solutions [J]. Oil & Gas Science and Technology, 2014, 69(5): 947–968. [10] ZHOU S, YAN H, SU D, et al. Investigation on the kinetics of carbon dioxide hydrate formation using flow loop testing [J]. Journal of Natural Gas Science Engineering, 2018, 49: 385–392. doi: 10.1016/j.jngse.2017.10.022 [11] WAALS J H V D, PLATTEEUW J C. Clathrate solutions [M]. Advances in Chemical Physics. John Wiley Business Services Ltd, 2007. [12] PARRISH W R, PRAUSNITZ J M. Dissociation pressures of gas hydrates formed by gas mixtures [J]. Industrial & Engineering Chemistry Process Design and Development, 1972, 22(1): 26–35. [13] CHEN G J, GUO T M. Thermodynamic modeling of hydrate formation based on new concepts [J]. Fluid Phase Equilibrium, 1996, 122(1/2): 43–65. [14] CHEN G J, GUO T M. A new approach to gas hydrate modelling [J]. Chemical Engineering, 2000, 71(2): 145–151. [15] 陈光进, 马庆兰, 郭天民. 气体水合物生成机理和热力学模型的建立 [J]. 化工学报, 2000, 21(5): 626–631. doi: 10.3321/j.issn:0438-1157.2000.05.010CHEN G J, MA Q L, GUO T M. A new mechanism for hydrate formation and development of thermodynamic model [J]. Journal of Chemical Industry and Engineering, 2000, 21(5): 626–631. doi: 10.3321/j.issn:0438-1157.2000.05.010 [16] YIN Z, KHURANA M, TAN H K, et al. A review of gas hydrate growth kinetic models [J]. Chemical Engineering, 2018, 342: 9–29. doi: 10.1016/j.cej.2018.01.120 [17] SKOVBORG P, RASMUSSEN P. A mass transport limited model for the growth of methane and ethane gas hydrates [J]. Chemical Engineering Science, 1994, 49(8): 1131–1143. doi: 10.1016/0009-2509(94)85085-2 [18] MOHEBBI V, NADERIFAR A, BEHBAHANI R, et al. A mass transfer study of methane and ethane during hydrate formation [J]. Petroleum Science Technology, 2014, 32(12): 1418–1425. doi: 10.1080/10916466.2012.656872 [19] MOHEBBI V, BEHBAHANI R M, NADERIFAR A. A new approach for modeling of multicomponent gas hydrate formation [J]. Korean Journal of Chemical Engineering, 2017, 34(3): 1–11. [20] 李彦龙, 陈强, 吴能友, 等. 电阻率层析成像技术在岩芯尺度水合物可视化探测中的应用 [J]. 地质论评, 2020, 66(S1): 84–86.LI Y L, CHEN Q, WU N Y, et al. Core-scale application of electrical resistivity tomography technology on visual detection of natural gas hydrate [J]. Geological Review, 2020, 66(S1): 84–86. -

下载: