Numerical Study of Damage Effect for High-Piled Wharf Subjected to Underwater Explosion
-
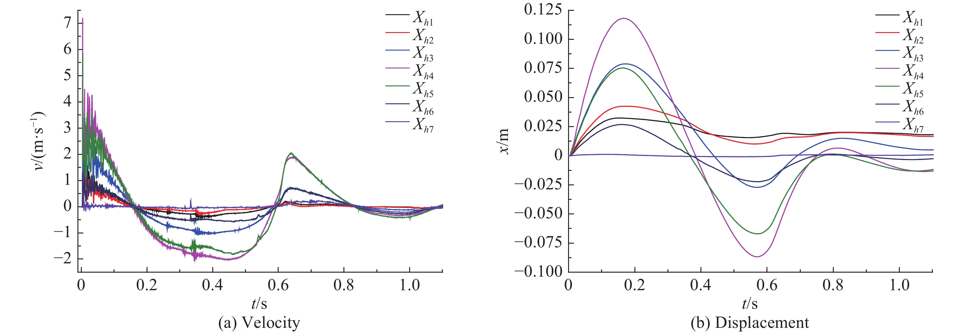
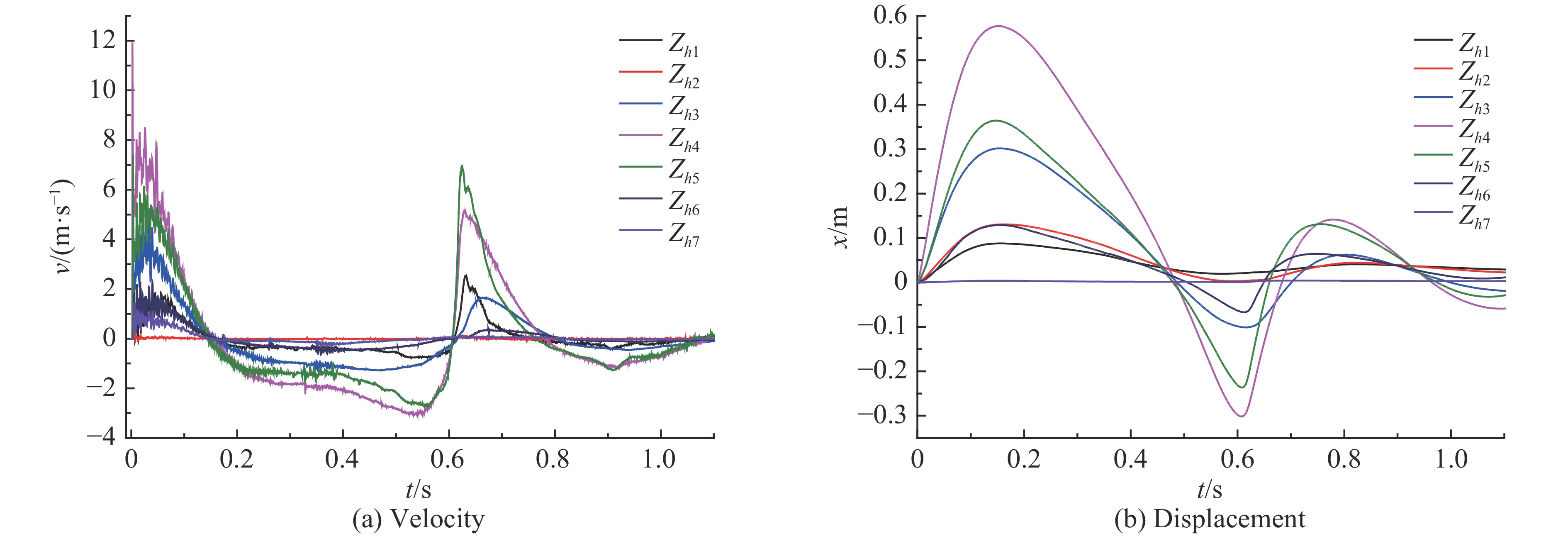
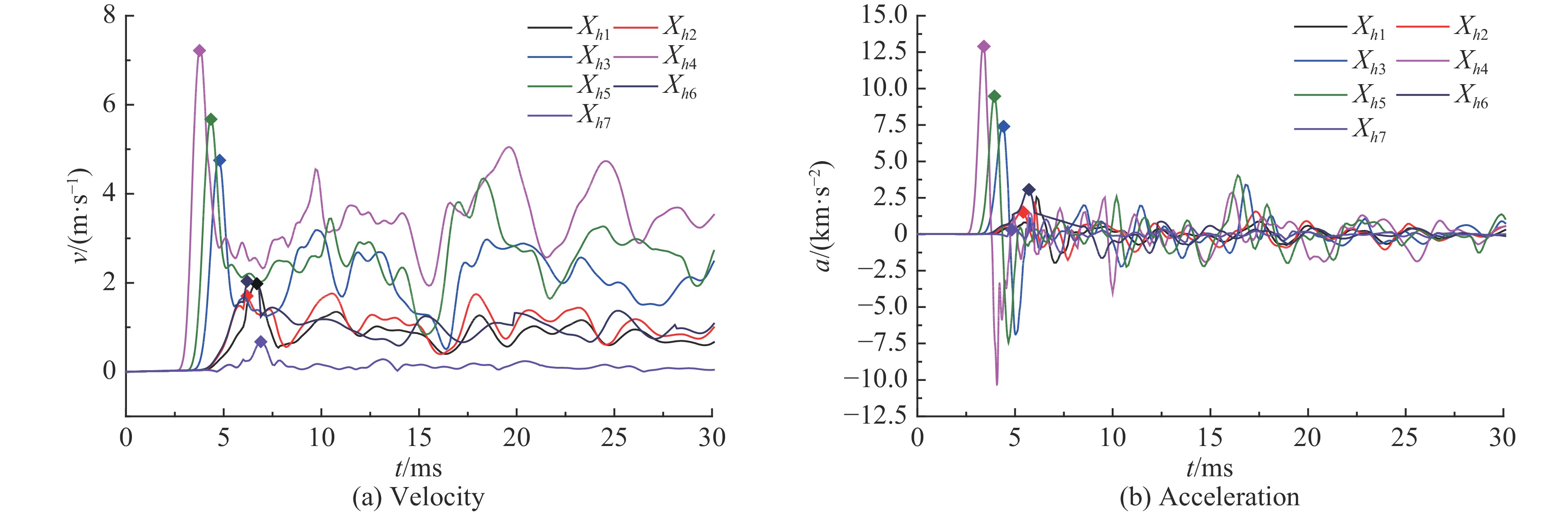
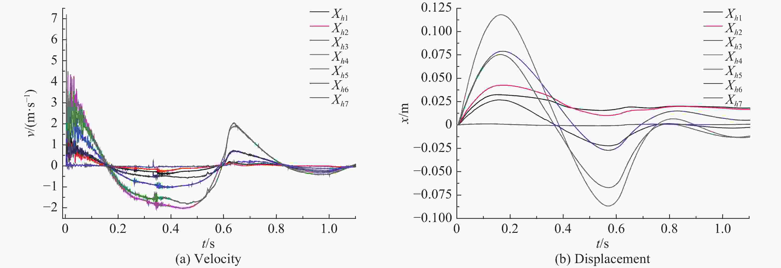
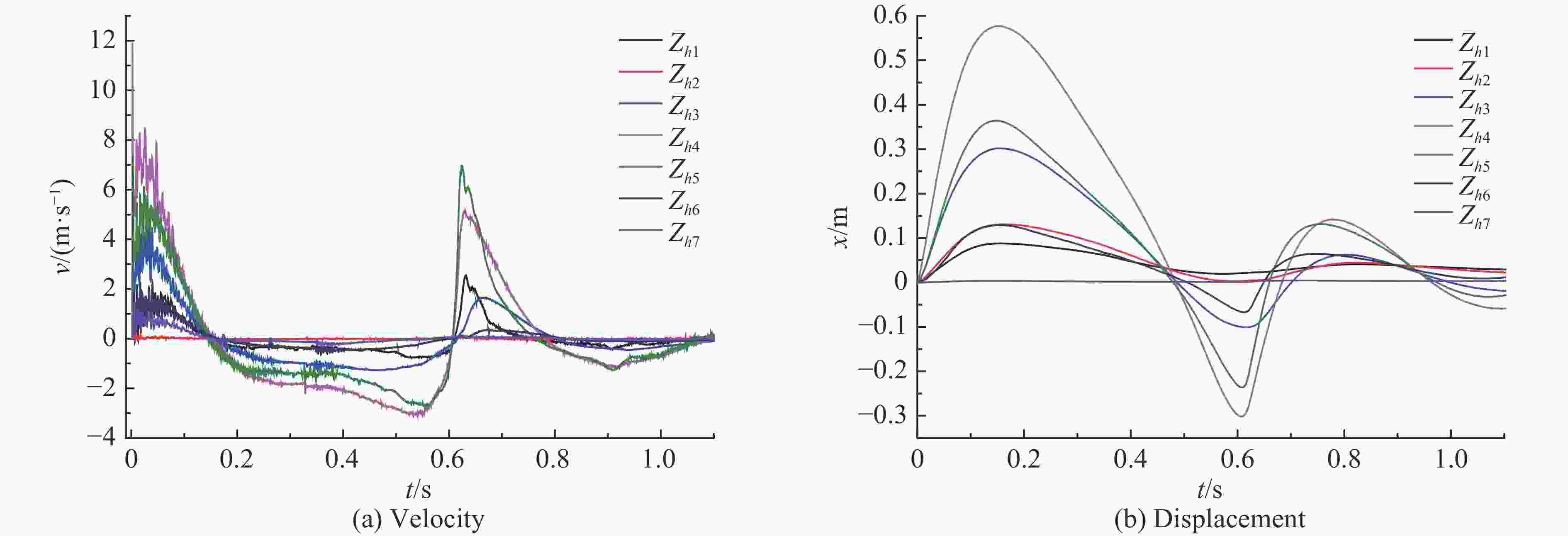
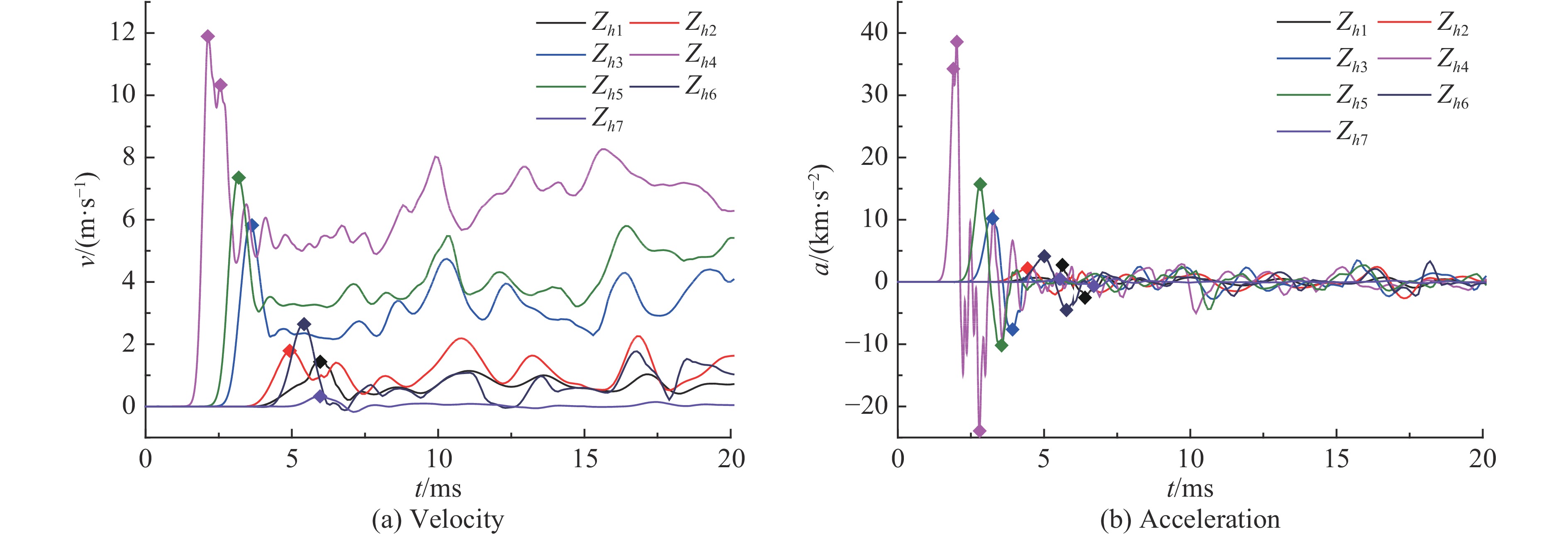
摘要: 为研究水下爆炸对高桩码头的毁伤作用,建立高桩码头全耦合模型,从冲击波传播和气泡脉动两个阶段,通过LS-DYNA程序对水下爆炸作用下高桩码头的毁伤过程进行研究,探讨了水下爆炸作用下高桩码头动态响应和破坏机理,分析了炸药当量对高桩码头毁伤现象的影响,通过高桩码头剩余承载力评估了不同炸药当量的毁伤效应。结果表明:高桩码头毁伤积累主要在气泡第1次膨胀阶段快速发展,在气泡第1次脉动结束后毁伤基本形成;桩基随气泡脉动产生周期性往复变形,桩基顶部和中部为抗爆性能最薄弱部位,桩基浅水区的毁伤程度大于深水区,码头面板和横、纵梁毁伤较弱;随着炸药当量增加,炸药近场桩基发生弯剪破坏,码头横、纵梁连接处以及码头面板相继出现不同程度损伤。Abstract: In order to study the damage effect of underwater explosion on high-piled wharf, a coupling model of high-piled wharf is established. The damage process of high-piled wharf under underwater explosion is analyzed during shock wave propagation and bubble pulse based on LS-DYNA. The dynamic response and failure mechanism of high-piled wharf and the influence of explosive charge are discussed. The residual loading capacity of high-piled wharf is evaluated. The results show that the damage accumulation of high-piled wharf is mainly developed in the first bubble expansion and the damage is basically formed after the first bubble pulse. The piles have periodic reciprocating deformation due to the bubble pulse, and the top and middle of piles are the weakest parts for anti-explosion performance. The damage effect in the upstream of piles is greater than that in downstream, and the damage of wharf panel and beam is weak. With the increase of explosive charge, the piles near explosive are damaged by bending and shearing, the connection of transverse and longitudinal beams and wharf panel are damaged.
-
Key words:
- underwater explosion /
- high-piled wharf /
- bubble pulse /
- dynamic response /
- damage effect
-
表 1 材料参数
Table 1. Material parameters
Material ρ/(kg·m−3) C0, C1 C2, C3 C4 C5 C6 E/(J·kg−1) Air 1.29 0 0 0.4 0.4 0 2.5×105 Material ρ/(kg·m−3) c S1 S2 S3 Γ Water 1 000 1 480 2.56 −1.986 0.226 8 0.5 Material ρ/(kg·m−3) A B ω R1 R2 E0/(GJ·m−3) Explosive 1 630 3.74 × 1011 7.33 × 109 0.3 4.15 0.95 7 Material ρ/(kg·m−3) E/MPa G/MPa Soil 1 800 16 8 表 2 数值模拟与理论结果比较
Table 2. Comparison of the numerical and theoretical results
Method pmax-free /MPa pmax-straight/MPa pmax-oblique/MPa Bubble 2 m 4 m 6 m 8 m Blast face Back blast face Blast face Back blast face T/s Rm /m Theoretical 144.15 65.86 41.65 30.09 68.09 57.90 33.83 31.11 0.88 6.07 Numerical 153.21 68.21 42.27 27.34 72.35 21.76 33.84 16.06 0.62 5.29 Error/% 6.29 3.57 1.49 9.14 6.25 −62.42 0.03 −48.38 −29.55 −12.85 表 3 高桩码头毁伤评估
Table 3. Damage assessment of high-piled wharf
W/kg F xmax/cm txmax/s Damage phenomenon D Damage
level61.29 1.14 29.4 0.12 The middle and top part of the pile are slightly damaged.
The bottom of the pile is slightly damaged.
The connection of beams and piles is slightly damaged.
The longitudinal beam and the wharf panel are not damaged.0.06 Slight 117.45 1.42 57.7 0.15 The middle part and the blasting face in top part of pile are damaged, and the reinforcement is exposed.
The bottom of the pile is slightly damaged.
The connection of beams and piles is slightly damaged.0.49 Moderate 272.70 1.88 113.9 0.25 The concrete at the top and middle of the pile are completely damaged, and the reinforcement is exposed.
the bottom of the pile, longitudinal beam, transverse beamand panel are all damaged.
The connection of beams and piles is damaged.0.76 Severe -
[1] 刘美山, 吴新霞, 张恒伟, 等. 混凝土水下爆破炸药单耗试验分析 [J]. 爆破, 2007, 24(1): 10–13. doi: 10.3963/j.issn.1001-487X.2007.01.003LIU M S, WU X X, ZHANG H W, et al. Experimental analysis on specific charge of underwater explosion of concrete [J]. Blasting, 2007, 24(1): 10–13. doi: 10.3963/j.issn.1001-487X.2007.01.003 [2] 李裕春, 程克明, 沈蔚, 等. 水中冲击波对混凝土结构破坏的实验研究 [J]. 材料工程, 2008, 307(12): 22–26.LI Y C, CHENG K M, SHEN W, et al. Damage analysis of concrete structure by underwater shock [J]. Engineering of Material, 2008, 307(12): 22–26. [3] 赵根, 刘美山. 水中爆炸水击波及其多次脉动的观测与分析 [J]. 长江科学院院报, 2003, 20(Suppl): 56–57.ZHAO G, LIU M S. Observation and analysis on shock wave and multiple pulsating caused by underwater blasting [J]. Journal of Yangtze River Scientific Research Institute, 2003, 20(Suppl): 56–57. [4] GEORGIN J F, REYNOUARD J M. Modeling of structures subjected to impact: concrete behavior under high strain rate [J]. Cement and Concrete Composites, 2003, 25(1): 131–143. doi: 10.1016/S0958-9465(01)00060-9 [5] 李建阳, 李永池, 高光发. 混凝土水下径向不耦合爆破特性研究 [J]. 工程爆破, 2010, 16(1): 1–5. doi: 10.3969/j.issn.1006-7051.2010.01.001LI J Y, LI Y C, GAO G F. Study on blasting characteristics of underwater concrete with radial decoupling charge [J]. Engineering Blasting, 2010, 16(1): 1–5. doi: 10.3969/j.issn.1006-7051.2010.01.001 [6] 张社荣, 王高辉, 王超, 等. 水下爆炸冲击荷载作用下混凝土重力坝的破坏模式 [J]. 爆炸与冲击, 2012, 32(5): 501–507. doi: 10.3969/j.issn.1001-1455.2012.05.009ZHANG S R, WANG G H, WANG C, et al. Failure mode analysis of concrete gravity dam subjected to underwater explosion [J]. Explosion and Shock Waves, 2012, 32(5): 501–507. doi: 10.3969/j.issn.1001-1455.2012.05.009 [7] 王高辉, 张社荣, 卢文波, 等. 水下爆炸冲击荷载下混凝土重力坝的破坏效应 [J]. 水利学报, 2015, 46(6): 723–731.WANG G H, ZHANG S R, LU W B, et al. Damage effects of concrete gravity dams subjected to underwater explosion [J]. Journal of Hydraulic Engineering, 2015, 46(6): 723–731. [8] 闫秋实, 宁素瑜, 杜修力, 等. 水中近场爆炸作用下钢筋混凝土桩毁伤效应研究 [J]. 北京工业大学学报, 2019, 45(2): 55–61.YAN Q S, NING S Y, DU X L, et al. Damage effect for a typical reinforced concrete pile under the near field explosion in water [J]. Journal of Beijing University of Technology, 2019, 45(2): 55–61. [9] 刘靖晗, 唐廷, 韦灼彬, 等. 刚性柱附近浅水爆炸荷载特性研究 [J]. 高压物理学报, 2019, 33(5): 055104. doi: 10.11858/gywlxb.20180704LIU J H, TANG T, WEI Z B, et al. Pressure characteristics of shallow water explosion near the rigid column [J]. Chinese Journal of High Pressure Physics, 2019, 33(5): 055104. doi: 10.11858/gywlxb.20180704 [10] WANG G, WANG Y, LU W, et al. On the determination of the mesh size for numerical simulations of shock wave propagation in near field underwater explosion [J]. Applied Ocean Research, 2016, 38(59): 1–9. [11] TU Z, LU Y. Evaluation of typical concrete material models used in hydrocodes for high dynamic response simulations [J]. International Journal of Impact Engineering, 2009, 36(1): 132–146. doi: 10.1016/j.ijimpeng.2007.12.010 [12] MALVAR L J, ROSS C A. Review of strain rate effects for concrete in tension [J]. ACI Materials Journal, 1998, 95(6): 735–739. [13] BISCHOFF P H, PERRY S H. Compressive behaviour of concrete at high strain rates [J]. Materials and Structures, 1991, 24(6): 425–450. doi: 10.1007/BF02472016 [14] 董琪, 韦灼彬, 唐廷, 等. 爆炸深度对浅水爆炸气泡脉动的影响 [J]. 高压物理学报, 2018, 32(2): 024102. doi: 10.11858/gywlxb.20170580DONG Q, WEI Z B, TANG T, et al. Influence of explosion depth on bubble pulsation in shallow water explosion [J]. Chinese Journal of High Pressure Physics, 2018, 32(2): 024102. doi: 10.11858/gywlxb.20170580 [15] COLE R H. Underwater explosions [M]. Princeton, New Jersey: Princeton University Press, 1948: 118–127. [16] 张阿漫, 王诗平, 白兆宏, 等. 不同环境下气泡脉动特性实验研究 [J]. 力学学报, 2011, 43(1): 71–83. doi: 10.6052/0459-1879-2011-1-lxxb2010-278ZHANG A M, WANG S P, BAI Z H, et al. Experimental study on bubble pulse features under different circumstances [J]. Chinese Journal of Theoretical and Applied Mechanics, 2011, 43(1): 71–83. doi: 10.6052/0459-1879-2011-1-lxxb2010-278 [17] 师燕超. 爆炸荷载作用下钢筋混凝土结构的动态响应行为与损伤破坏机理 [D]. 天津: 天津大学, 2009.SHI Y C. Dynamic response and damage mechanism of reinforced concrete structures under blast loading [D]. Tianjin: Tianjin University, 2009. -

下载: